
很早就想写这篇博客,一直四处奔波忙碌,没有时间坐下来跟大家分享一些美国原木检尺方面的一些小“陷阱”,我们在购买或销售原木时需要额外注意的一点,那就是千板尺的不同计算方法带来的误差。
在美国和加拿大总共有超过95种不同的检尺方法,注意,不是9种也不是5种,而是95种,而这95种检尺方法,又有大约185种不同的叫法。不过大家不要被这个庞大的数字吓住。随着时间的流逝,只有三种最常用的检尺方法被经常使用,那就是Doyle检尺方式,Scribner检尺方式和International检尺方式。下面我们就来具体讲解一下这几个检尺方法算出来的千板尺有什么不同。
首先我们得知道一个板尺的木材体积是多少。根据定义一块厚一英寸的木板,如果它的面积是一平方英尺(1英尺=12英寸),那么这块模板的体积就是一个板尺。知道了板尺的定义,那下面我们就来讨论下以上三个检尺方式是如何把原木的板尺数算出来的。

检尺方法一:
Doyle检尺方法是三种方法中使用最为广泛的检尺方式,我们公司平时售往全球各地的原木都是按照这种方法检尺。Doyle检尺方法是由Edward Doyle在1825年提出的。首先假设一个小头直径为D(单位:英寸),长度为L(单位:英尺)的原木的体积等同于一个横截面为边长(D-4)的正方形,长度为L的长方体的体积,如下图所示。

如果我们从右面这个角度看这个这个长方体,把它看成一块横截面为A,厚度为(D-4)的木板,那么这块木板的板尺数按照板尺的定义就是:

(D-4)/12是把横截面A的宽从英寸转换成英尺。(D-4)/12xL就是A的面积,单位平方英尺。厚度为D-4,单位英寸。因此上述公式就是这块长方柱体的板尺数。然而,把原木锯成板材的过程会有材积的损失(木屑)和缩减(烘干),Doyle假设这个损失是25%。因此根据Doyle检尺方法,原木的板尺数就是:

检尺方法二:
第二个比较常见的检尺方法是Scribner检尺方法,是由J. M. Scribner在1846年创立。该方法起初为图表格式,每个长度和直径对应的原木板尺数按照经验数据给出,计算原木板尺数时查找该表获得对应的板尺数。后来Bruce and Schumacher在1950年用回归方法拟合了该表,得到了该表的计算公式:

Scribner检尺方法有一个衍生方法,叫做Scribner Decimal C检尺方法,这个方法就是省略算得的板尺数的个位数。比如用Scribner公式计算出来的板尺数时396,那么按照Scribner Decimal C检尺方法,该原木的板尺数为390板尺。
Scribner检尺方法应用还是比较广泛的,尤其是五大湖地区,如密歇根州,威斯康辛州,还有美国西部地区比较常见。
检尺方法三:
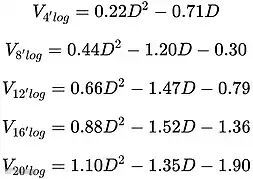
International检尺方法由Judson F. Clark在1900年为加拿大安大略省工作时创立的,该检尺方法或许时迄今为止最为准确的检尺方法,然而应用却不太广泛。该检尺方法是按照仔细的研究分析,计算在原木到板材的加工过程造成的损失,而且考虑了原木小头和大头直径的差异得到的。该方法假设一个4英尺长的原木小头直径和大头直径相差0.5英寸,而且假设板材切口厚度为1/8英寸,因此该检尺方法也叫做International 1/8-inch Kerf Rule。具体计算公式如下:

计算结果约到最近的5板尺数。Grosenbaugh在1952年把这个计算公式整合成了一个单一公式以方便使用:

由此可见,在美国购买原木,虽然你买入的价格都是$/千板尺,但不同的检尺方法算出来的千板尺数并不一样,因此您在询价的时候,一定要问清楚是什么检尺方法。
![]()
您若有融资需求 请点击阅读原文了解更多……






