▲ 点击上方蓝字,关注PKPM绿色建筑!
点击【阅读原文】,进入构力学堂
了解更多“热环境”相关内容
室外热环境的影响和改善措施
随着社会的发展,城市热岛效应日益明显,一方面使城镇室外热环境更加恶劣,此外还会大大增加室内空调等设备的功耗。因此,优化室外热环境问题对于提高城镇居民的居住环境质量和降低建筑能耗都具有重大意义。在我国《绿色建筑评价标准》GB/T 50378-2019中对建筑室外热环境(8.1.2条),作为控制项的强制指标来要求。
优化室外热环境的措施,主要包含以下几种:
1) 合理规划建筑组团布局,保持良好的室外通风状况,减少气流对区域微环境和建筑本身的不利影响;
2) 合理选择下垫面材料、有效配置绿化及水景,提高夏季室外热舒适度,降低热岛强度;
3) 通过绿地来达到组团内保水、调节气候、吸收雨水、降低污染、隔绝噪音的影响;
4) 通过建设湿地系统,调节气候、改善区域生态环境,保持生物多样性。
图1 住区环境效果图
绿色建筑设置中住区热环境的设计要点
绿色建筑控制项:8.1.2条 室外热环境应满足国家现行有关标准的要求。
2.1 规定性设计指标
主要内容:室外热环境要符合《城市居住区热环境设计标准》 JGJ 286 的标准要求。当规定性设计不满足要求的时候,进行评价性设计计算。《城市居住区热环境设计标准》 JGJ 286-2013中第3章基本规定中标明建筑热环境设计方式需遵循以下条文规定要求:
——当规定性设计不满足本标准第4.1.4条、第4.2.3条、第4.3.1 条、第4.4.2 条之一时,应进行评价性设计。
——采用评价性设计的居住区应符合本标准第4.1.1条、第4.2.1条的规定。
所有规定性指标内容和判定方式归纳如下表:
4.1.1平均迎风面积比,强制性条文,必须满足要求,不满足不能进行评价性设计;
4.2.1夏季户外遮阳覆盖率,强制性条文,必须满足要求,不满足不能进行评价性设计。
以下4条指标:规定性指标不满足时,可进行评价性设计:
4.1.4 在Ⅲ、Ⅳ、Ⅴ建筑气候区,当夏季主导风向上的建筑物迎风面宽度不超过80m时,该建筑底层的通风架空率不应小于10%。(底层通风架空率)
4.2.3 绿化遮阳体的叶面积指数不应小于3.0(叶面积指数)
4.3.1 居住区户外活动场地和人行道路地面应有雨水渗透与蒸发能力,渗透与蒸发指标不应低于标准的规定。(蒸发与渗透)
4.4.2 居住区内建筑屋面的绿化面积不应低于可绿化屋面面积的50%。(绿化屋顶面积)
2.2 评价性设计指标
3.3.1 当进行评价性设计时,应采用逐时湿球黑球温度和平均热岛强度作为居住区热环境的设计指标,设计指标应符合下列规定:
1、居住区夏季逐时湿球黑球温度不应大于33℃;
2、居住区夏季平均热岛强度不应大于1.5℃。
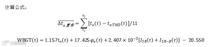
湿球黑球温度(WBGT):是指自然湿球温度、干球温度和黑球温度的函数。(软件中采用WBGT简化计算公式,计算逐时湿球黑球温度)
平均热岛强度:是居住区设计的逐时空气温度与同时刻当地典型气象日空气干球温度的差值(℃)。
热环境计算中的优化措施
表1 室外热环境优化措施






