▲ 点击上方蓝字,关注PKPM绿色建筑!
我国最早提出采用二维平均传热系数计算墙体热工的节能标准是《黑龙江省居住建筑节能65%设计标准》DB23/1270-2008,为有效降低一维传热的误差,更加准确地分析墙体传热,该标准提出了30余种墙体与门窗洞口、屋顶、楼板等节点做法及对应保温厚度的线传热系数,在我国率先引用了与国际ISO标准相一致的计算方法。
随后《严寒和寒冷地区居住建筑节能设计标准》JGJ26-2010和之后我国北方各省市新修订的居住建筑节能设计标准引入了线传热系数的概念,在建筑中,常见的热桥部位大多都是呈线性的。例如砌体结构的构造柱、圈梁、窗洞口边缘、檐口等,线传热系数就是基于二维传热分析,用来表征热桥断面的传热状况的参数。
我国《绿色建筑评价标准》GB/T50378-2014、《公共建筑节能设计标准》GB50189-2015和《民用建筑热工设计规范》GB50176-2016中均指出,在进行墙体热工设计和结露计算时,均应采用二维线性传热系数算法。
但是少数节点当中,线传热系数却出现了负值的情况。可以从以下两个方面解释:

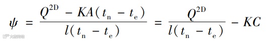
其中Ψ—热桥线传热系数,W(m·K);
Q2D—二维传热计算得出的流过一块包含热桥的墙体的热流(W),该块墙体的构造沿着热桥的长度方向必须是均匀的,热流可以根据其横截面或纵截面通过二维传热系数计算得到,W
tn—墙体室内侧计算温度,℃
te—墙体室外侧计算温度,℃
l—计算Q2D的那块矩形的一条边的长度,一般取1m;
K—墙体主断面的传热系数,W(m·K);
C—计算Q2D的那块矩形的一条边的长度,可取C≥1m;
对于冬季情况,
为正数,KC为正数,因此可能存在差值为负数的情况。特别是在墙角-墙角节点位置,可能会出现热流从室外往室内传递的情况。
如黑龙江省居住建筑节能65%设计标准中,外墙-墙角部位可能会出现二维传热系数为负值的情况。

图1 二维节点线性传热系数
外墙-内墙、外墙-外墙、外墙与楼板等典型节点,在外保温体系下线传热系数约等于0或出现负值,表明此部位没有热桥线传热系数引起的流失热量,热稳定性相对较好。

图2 Ptemp墙角节点示例
PKPM绿色建筑
|构筑未来 力创卓越|
关注我们▼

长按二维码

