液压系统常常需要调节液压缸或液压马达的运动速度,以适应主机的工作循环需要。液压缸的速度决定于泵的排量和输入流量。
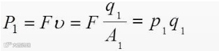
液压缸的速度为:v=q/A
q-为输入液压缸的流量,A-液压缸的有效面积。
由上式可以看出,在截面积不变的情况下,流量越大速度越快;在流量不变的情况下,截面积越小速度越快。
要控制缸的速度,可以通过改变流入流量来实现,也可以通过改变排量来实现,通常通过流量来调节。
目前常用的调速回路主要有节流调速回路、容积调速回路、容积节流调速回路(联合调速)几种。
节流调速回路:采用定量泵供油,通过改变回路中节流面积的大小来控制流量,以调节其速度,有进油路节流调速、回油路节流调速、旁油路节流调速三种基本形式。
设节流口为薄壁小孔,节流口压力流量方程中m=w
注意:进油节流调速回路正常工作的条件:泵的出口压力为溢流阀的调定压力并保持定值。
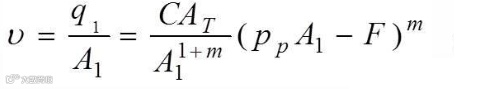
当不考虑泄漏和压缩时,活塞运动速度为:v=q1/A1 (1)
式中,F--外负载力,P2--液压缸回油腔压力,P2≈0
(2)
m--为节流阀的指数,当为薄壁孔口时,m=0.5。
式(2)为进油路节流调速回路的速度负载特性方程。以v为纵坐标,F为横坐标,将式(2)按不同节流阀通流面积AT作图,可得一组抛物线,称为进油路节流调速回路的速度负载特性曲线。公众号:solidworks非标机械设计
(2)功率特性


回路的功率损失为:


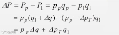
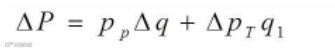
式中,Δq--溢流阀的溢流量,Δq=qp-q1。
进油路节流调速回路的功率损失由两部分组成:
溢流功率损失ΔP1=PqΔq和节流功率损失ΔP2=ΔPTq1。

2.回油路节流调速回路
速度表达式为:

采用同样的分析方法可以得到与进油路节流调速回路相似的速度负载特性。
(1)承受负值负载的能力:回油节流调速能承受一定的负值负载;
(2)运动平稳性:回油节流调速回路运动平稳性好;
(3)油液发热对回路的影响:进油节流调速的油液发热会使缸的内外泄漏增加;
(4)启动性能:回油节流调速回路中重新启动时背压不能立即建立,会引起瞬间工作机构的前冲现象。
(5)进油节流调速回路容易实现压力控制:工作部件运动碰到死挡铁后,液压缸进油腔压力上升至溢流阀调定压力,压力继电器发出信号,可控制下一步动作。
进油路、回油路节流调速的回路结构简单,但效率较低,适合用在负载变化不大,低速、小功率场合,如某些机床的进给系统中。
3.旁油路节流调速回路
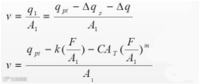
考虑到泵的工作压力随负载变化,泵的输出流量qp应计入泵的泄漏量随压力的变化Δqp,采用与前述相同的分析方法可得到速度表达式为:

式中,qpt--泵的理论流量,k--泵的泄漏系数,其余符号意义同前。
(2)功率特性

回路的输出功率



旁油路节流调速只有节流损失,无溢流损失,功率损失较小,用于功率较大且对速度稳定性要求不高的场合。公众号:solidworks非标机械设计
容积调速回路:通过改变回路中变量泵的排量来调节执行元件的运动速度。
1.容积调速回路按油液循环方式的不同,分为开式回路和闭式回路两种。
开式回路的油液在油路的循环路线为:泵的出口→执行元件→油箱→泵的入口。
特点是油液在油箱中得以较好的冷却,且利于油液中杂质的沉淀和气体的逸出。但是油箱尺寸较大,容易侵入污物。
闭式回路的油液在油路的循环路线为:泵的出口→执行元件→泵的入口,即油液形成闭式循环。其特点是油箱尺寸小,结构紧凑,空气和污物不易侵入,但是结构比较复杂,油液散热差,需要辅助泵向系统供油,以弥补泄漏和冷却。
1变量泵,2液压缸,3安全阀,4单向阀,5补油油箱
2.根据液压泵和执行元件组合方式的不同,容积调速回路有泵-缸式和泵-马达式两类。
泵-缸式容积调速回路,其油路组成及工作原理调速回路如图B所示
改变变量泵1的排量就能达到调节活塞速度的目的。3为安全阀,起过载保护作用,平时不打开,回路的最大压力由它限定。实际上,由于液压缸两腔有效面积不可能完全相等以及执行元件的外泄漏等原因,闭式油路中还需及时对系统补油。5为补油油箱,当油泵的吸油腔因缺油而使压力下降到低于大气压力时,通过单向阀4给系统补油。单向阀4用来防止系统停机时油液倒流入油箱和空气进入系统。
以开式回路为例分析回路的特性。若液压缸的速度为v,泵的理论流量为qtp,泄漏系数为k1,则活塞速度为:v=q1/A1=qp/A1 (3)
根据式(3)选取不同的qtp值作图,可得一组平行曲线即速度一负载特性曲线,如下图所示。由于变量泵的泄漏,使得活塞速度随着负载的增加而明显下降,因此这种调速回路在低速下的承载能力很差。
调速阀的进口、出口和旁路节流调速回路的速度-负载曲线
(2)要确定调速范围应先确定回路的最高速度和最低速度。由式(3)可以看出,这种调速回路的最高速度决定于所选用变量泵的最大流量,而最低速度可以调得很低,因此调速范围较大。对于上图(b),如果采用双向变量泵,则可不需要换向阀,由变量泵直接操纵执行元件换向,并在正反向之间实现连续的无级变速。
在调速范围内,液压缸的最大推力Fmax=PsA1ηm (4)
式中,ps--安全阀3的调定压力, A1--液压缸的有效面积,ηm--液压缸的机械效率。
由式(4)可看出,当安全阀的调定压力不变时,不考虑机械效率的变化,在调速范围内液压缸的最大推力也不变,所以这种调速回路为恒推力调速回路。而最大输出功率P随着速度(流量)的上升也线性增加。
容积调速回路由于没有节流损失和溢流损失,回路效率高,系统温升小,适用于高速、大功率调速系统,在推土机、插床、拉床等功率较大的液压系统中应用广泛。