一、被测试元件
液压噪声由于液压系统的振动和噪声本身不可避免,随着液压技术向高速、高压和大功率方向的发展,液压系统的噪声也日趋严重,并且成为妨碍液压技术进一步发展的因素,声音超过70dB便成为噪声,我们测试的元件为一个降噪装置,称之为降噪器。
在液压系统中,流体噪声占相当大的比例。这种噪声是由于油液的流速、压力的突然变化以及气穴等原因引起的。
液压泵的流体噪声主要是由泵的压力、流量的周期性变化以及气穴现象引起的。在液压泵的吸油和压油循环中,产生周期性的压力和流量变化,形成压力脉动,从而引起液压振动,并经出口向整个系统传播。同时液压回路的管道和阀类将液压泵的压力反射,在回路中产生波动,使泵产生共振,发出噪声;另一方面,液压系统中(指开式回路)溶解了大约5%的空气。
图1 降噪单元的原理图
1-弹簧蓄能器;2-充气单向阀;3-蓄能器
4-节流阀;I-进口;O-出口
当系统中的压力因某种原因而低于空气分离压时,其中溶解于油中的气体就迅速地大量分离出来,形成气泡,这些气泡遇到高压便被压破,产生较强的液压冲击。对于前者的控制办法,设计时齿轮模数尽量取小,齿数尽量取多,缺载槽的形状和尺寸要合理,柱塞泵的柱塞个数应为奇数,最好为7~9个,并在进、排油配流盘上对称开上三角槽,以防柱塞泵的困油 [1] 。
图2 柱塞泵的柱塞数量
一般运用流量脉动率σ来评价瞬时流量的脉动。设qmax、qmin表示最大瞬时流量和最小瞬时流量,q表示平均流量,则流量脉动率可以用式:
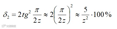
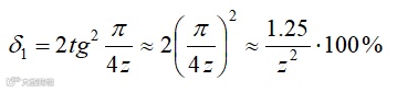
柱塞泵的脉动率:
奇数柱塞的脉动率公式:
偶数柱塞的脉动率公式:
计算结果:
二、降噪的效果计算方法
降噪器的设计计算是来源于噪声现场的液压系统的冲击波幅,我们测得一个液压泵的脉动,虽然脉动很小,但是,我们尝试根据较小的压力差,通过我们的降噪器的匹配,可以减小液压泵出口的脉动波幅,减小噪声输出。
图3 液压泵工作曲线
见图3,压力波动比,
三、测试方法
需要使用威泰克的HPM4030数据采集器一台,可以加载流量计或者其他加载阀,仅仅用于加载使用,在测试台上进行测试。见图4;
测试方法:
1、左旋加载阀,松开阀到最大;
2、连接好管路和电缆;
3、启动电机,并将转速提高到1460rpm;
4、打开采集器进行记录数据;
5、右旋加载阀,慢慢加载,同时,观察采集器的显示压力;
6、加载过程为50bar,停顿;150bar,停顿;200bar,停顿;250bar,停顿;300bar,结束加载,稳定2分钟后,
7、连续松开加载阀,释放压力。
图4 测试接管方式
1-液压柱塞泵;2-传感器;3-降噪器;4-CAN接头
5-HPM4030采集器;6-加载流量计
使用一台90R100的手控泵进行测试,液压泵的出口脉动的正常测试,得到如下曲线。我们的测试目标是,在泵的出口处,安装我们的降噪器,能够把出口脉动的波形改变,目的是降低波幅,因为,液压脉动的波幅就是产生噪声的根源,降低脉动波幅,就是降低噪声。
图5 测试曲线
四、曲线分析
1、测试不同条件下的脉动率;
2、测试降噪器出口的脉动率是下降的,而且下降很多
3、从曲线分析脉动频率,计算主轴转速等试验条件。
图6 曲线6中的A区域
图7 曲线6中的B区域
图8 曲线6中的C区域
图9 曲线6中的D区域
图10 取一段曲线用于计算
降噪后的脉动率:
降噪前的脉动率:
4、从测量曲线上计算频率:
图11 取一段曲线用于计算频率
试验参数:
1)电动机转速1460rpm
2)泵型号90R100
3)柱塞数量9只
五、数据分析
1、从降噪器的测试数据分析,液压泵的脉动率可以从1.025%降低到0.34%,
2、从脉动频率上,可以算出泵的转速,证明了,每个柱塞带来的脉动。
曲线分析说明:
图中,每0.1秒,有22次脉动,即是220次波/秒,相当于13200次/分钟;
因为,液压泵有9个柱塞,则可以算出有:13200/9=1467rpm;
免责声明:本文转自网络,版权归原作者所有,如涉及作品版权问题,请及时与我们联系删除,谢谢!

