轴承内部间隙是外圈和内圈在相反方向推力、相对运动时产生的间隙。沿直径方向的移动是径向间隙,而沿轴方向的移动则是轴向间隙。

由于多种原因,内部间隙对轴承的使用性能至关重要。间隙的大小会影响轴承中的载荷分布,而载荷分布最终会影响到轴承运行噪音、振动及轴承的使用寿命。此外,载荷分布可能还会影响到轴承的滚动元件是通过滚动运动还是滑动运动来移动。
通常,轴承的内圈或外圈均采用过盈配合安装。这会导致膨胀(内圈)或收缩(外圈),从而导致组装过程后轴承的内部间隙发生变化。当机组运行时,轴承的工作温度通常可能会升高,直到达到饱和温度,此时系统的产热和排热达到平衡。
虽然我们通常将此通用工作温度用于整个轴承,但内圈、外圈和滚动元件的实际温度可能会有很大差异。
这种温差可能会导致内部间隙发生变化,如图1所示。此外,当轴承在负载下运行时,内圈、外圈和滚动元件的弹性变形也会导致间隙的变化。量化所有这些变化会使计算轴承内部间隙成为一项复杂的任务。以下是间隙类型的定义。

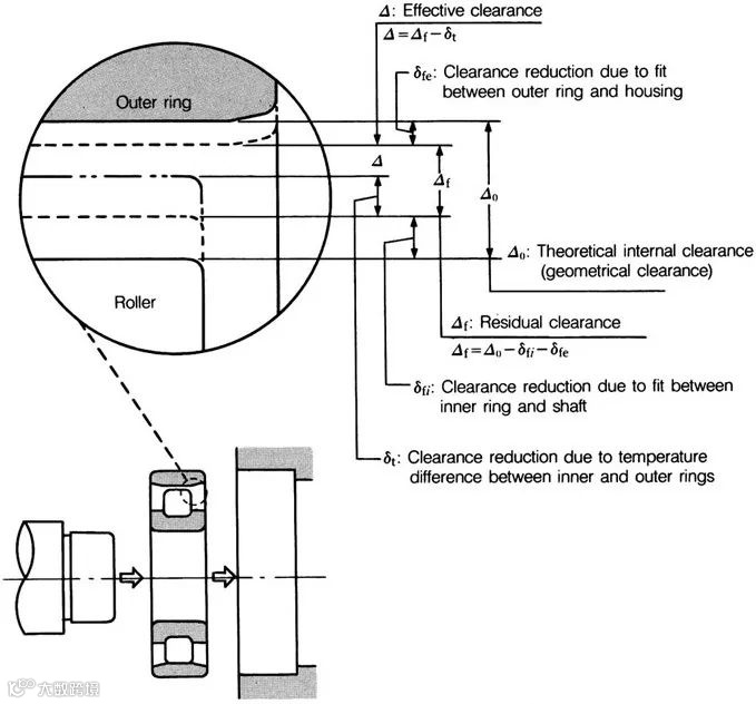
图1:圆柱滚子轴承径向内部间隙的变化(图片由NSK提供)
这是在规定的负载下测量的内部间隙,可以称为“表观间隙”。这个间隙包括负载引起的弹性变形(σFO)。
这是径向内部间隙,即测量的间隙减去负载引起的弹性变形。
σFO对滚珠轴承很重要,但对滚柱轴承意义不大,因为它被假设为零,因此∆0 = ∆1。
这是轴承安装在轴和壳体上以后的间隙。忽略了由轴的质量引起的弹性变形。假设由环(内、外圈)膨胀或收缩引起的间隙减小为σf,则:
这是设备在其工作温度下存在的轴承间隙,不包括由负载引起的弹性变形。这是只考虑轴承配合σf和内环/外环之间的温差σt引起的间隙。轴承的基本额定载荷仅适用于有效间隙∆=0。
∆ = ∆f –σt = ∆0 – (σf + σt)
这是安装轴承并在负载下运行时的实际间隙。在这里,弹性变形的影响σF与配合和温度一起被包括在内。通常,计算中不使用工作间隙。公众号:solidworks非标机械设计
最重要的轴承间隙是有效间隙。理论上,有效间隙∆稍微负的轴承使用寿命最长。在轴承负载的影响下,稍微负的间隙(或预载荷)将变为正。然而,不可能使所有轴承的间隙达到理想的有效间隙,必须考虑几何间隙∆0,才能达到零或略负的有效间隙最小值。为了计算该值,需要知道由内圈和外圈的过盈(配合)Df引起的间隙减小量,也需要知道由内圈和外圈之间的温差Dt引起的间隙变化。
当轴承内圈压配合到轴上时,或当外圈压配合到壳体中时,由于轴承滚道的膨胀或收缩,径向内部间隙自然会减小。一般来说,大多数泵都有一个旋转轴,要求内圈和轴之间紧密配合,外圈和外壳之间松散配合。在这些情况下,只需要考虑过盈配合对内圈的影响。
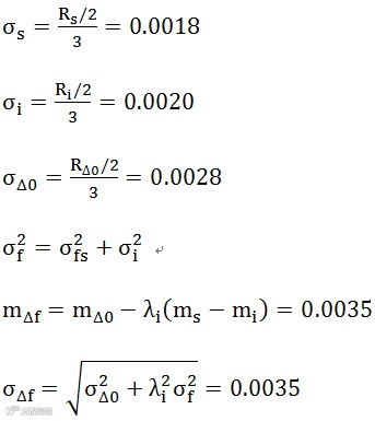
公式1中显示了6310单列深沟球轴承的示例计算。所使用的轴公差为K5,而壳体为H7 - 轴承内圈采用过盈配合。
λi = 由表观干涉引起的滚道膨胀率(参考值0.75)
轴直径、孔径和径向间隙是标准轴承测量值。假设99.7 % 的零件在公差范围内,则可以计算出安装后内部间隙(残余间隙)的平均值(m∆f)和标准偏差(σ∆f)。测量单位为毫米(mm)。公众号:solidworks非标机械设计
由表观干涉引起的滚道膨胀和收缩的平均量由λi (mm – mi)计算。
下式用于在99.7 % 的概率内确定安装后的内部间隙变化(R∆f):
R∆f = m∆f ± 3σ∆f = + 0.014至- 0.007
残余间隙的平均值(m∆f)为 + 0.0035,6310轴承安装后的内部间隙范围为- 0.007至0.014。
当轴承在负载下运行时,整个轴承的温度将升高,这包括滚动元件。但是,由于这种变化很难测量或估计,因此通常假设滚动元件的温度与内圈温度相同。
再次以6310轴承为例,可以使用公式2计算由内圈和外圈之间5℃的温差引起的间隙减小。
公式3用于计算外圈滚道直径。利用∆f和σt的计算值,有效内部间隙(∆)可由下式4确定。
D = Df – dt = (+0.014 ~ -0.007) – 0.006 = +0.008 ~ -0.013
图2显示了有效内部间隙如何影响轴承寿命,在本例中,径向载荷为3,350 N(或约为基本额定载荷的5%)。在有效内部间隙为-13μm时,轴承寿命最长。优选有效内部间隙范围的下限也为-13μm。

图2:6310滚珠轴承有效间隙与轴承寿命的关系
虽然在理论上,以稍微负的间隙为目标是轴承寿命的最佳选择,但在实践中,设计或制造轴承处于预加载状态的泵时必须小心。
如图2所示,寿命比确实在-13 μm时达到峰值,但随着预加载的增加,寿命比急剧下降。如果轴承预加载过大,且加工公差或工作温度的不正确,那么很容易导致寿命比预期的要短。另一方面,过大的间隙会导致轴承噪音、滚动元件打滑和泵性能变差。必须根据应用的需要对间隙和轴承预加载进行权衡。
了解轴承内部间隙的重要性,将有助于增加轴承寿命并优化泵的整体性能。
作者简介:Todd Brewer是NSK的应用工程师。他毕业于密歇根理工大学,获得机械工程理学学士学位。他有18年的工程经验,11年在轴承行业工作,6年在NSK工作。