液压系统初步设计是在某些估计参数情况下进行的。当各回路形式、液压元件及连接管路等完全确定后,针对实际情况对所设计的系统进行各项性能分析。对一般液压传动系统来说,主要是进一步确切地计算液压回路各段压力损失、容积损失及系统效率、压力冲击和发热温升等。根据分析计算发现问题,对某些不合理的设计要进行重新调整,或采取其他必要的措施。
01 系统压力损失计算

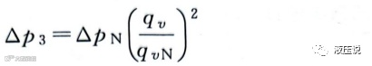
式中,qvN——阀的额定流量,m3/s;
qv——通过阀的实际流量,m3/s;
ΔpN——阀的额定压力损失(可从产品样本中查到),Pa。

02 系统效率计算
03 系统发热计算

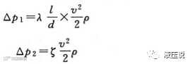
式中,Δp——通过阀或管路的压力损失,Pa;
qv——通过阀或管路的流量,m3/s。
由以上各种损失构成了整个系统的功率损失,即液压系统的发热功率

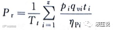
上式适用于回路比较简单的液压系统,对于复杂系统,由于功率损失的环
节太多,一一计算较麻烦,通常用下式计算液压系统的发热功率

式中,Pr——液压系统的总输入功率;
Pc——液压系统输出的有效功率


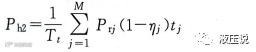
04 热交换器的功率损失
表1 油箱散热系数 K1

表3 各种机械允许油温 /℃
T1、T2——液压油人口和出口温度;
t1、t2——冷却水或风的人口和出口温度。
▌声明:来源于高殿荣、王益群主编的《液压工程师技术手册》,由液压说整理发布,转载请注明
▌编辑:液压说

