大数跨境

液压相关计算公式大全

液压相关计算公式大全 广州市新欧机械有限公司
2024-05-30
2

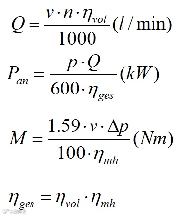
液压泵计算公式

   

液压马达计算公式:

马达定量系统

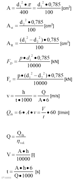
液压缸的计算公式:

差动缸的全部计算:

验算执行元件的工作压力:

油缸速度计算:

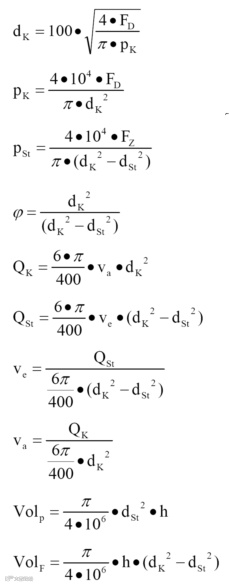
增压缸的计算:


END



本公众号所分享的文章为本公众号原创或根据网络搜索下载编辑整理,文章版权归原作者所有,仅供读者学习、参考,禁止用于商业用途。因转载众多,无法找到真正来源,如标错来源,或对于文中所使用的图片、文字、链接中所包含的软件、资料等,如有侵权请联系后台管理员删除!


【声明】内容源于网络
0
0
广州市新欧机械有限公司
内容 0
粉丝 0
广州市新欧机械有限公司 广州市新欧机械有限公司
总阅读0
粉丝0
内容0