实现电能与机械能相互转换的电工设备总称为电机。电机是利用电磁感应原理实现电能与机械能的相互转换。把机械能转换成电能的设备称为发电机,而把电能转换成机械能的设备叫做电动机。电动机的种类、功能、型号琳琅满目,如何在这瀚海的电机中,找到适合你的那一个呢?
正确选择电动机,功率、种类、型式是极为重要的。选择电动机时,应根据负载和使用环境的实际情况进行选择,选择时应注意电动机的功率应尽可能与负载相匹配,既不宜“大”,更不宜“小马拉大车”。接下来东鑫特电机为你具体介绍从哪些方面去挑选你所需要的电动机。
1).功率的选择
电动机的功率根据负载的情况选择合适的功率,选大了虽然能保证正常运行,但是不经济,电动机的效率和功率因数都不高;选小了就不能保证电动机和生产机械的正常运行,不能充分发挥生产机械的效能,并使电动机由于过载而过早地损坏。
(1)连续运行电动机功率的选择:
对连续运行的电动机,先算出生产机械的功率,所选电动机的额定功率等于或稍大于生产机械的功率即可。
(2)短时运行电动机功率的选择:
如果没有合适的专为短时运行设计的电动机,可选用连续运行的电动机。由于发热惯性,在短时运行时可以容许过载。工作时间愈短,则过载可以愈大。但电动机的过载是受到限制的。通常是根据过载系数l来选择短时运行电动机的功率。电动机的额定功率可以是生产机械所要求的功率的1/l。
2).种类和型式的选择
(1)种类的选择:
选择电动机的种类是从交流或直流、机械特性、调速与起动性能、维护及价格等方面来考虑的。
①交、直流电动机的选择
如没有特殊要求,一般都应采用交流电动机。
②鼠笼式与绕线式的选择
三相鼠笼式异步电动机结构简单,坚固耐用,工作可靠,价格低廉,维护方便,但调速困难,功率因数较低,起动性能较差。因此在要求机械特性较硬而无特殊调速要求的一般生产机械的拖动应尽可能采用鼠笼式电动机。
因此只有在不方便采用鼠笼式异步电动机时才采用绕线式电动机。
(2)结构型式的选择:
电动机常制成以下几种结构型式:
①开启式
在构造上无特殊防护装置,用于干燥无灰尘的场所。通风非常良好。
②防护式
在机壳或端盖下面有通风罩,以防止铁屑等杂物掉入。也有将外壳做成挡板状,以防止在一定角度内有雨水滴溅入其中。
③封闭式
它的外壳严密封闭,靠自身风扇或外部风扇冷却,并在外壳带有散热片。在灰尘多、潮湿或含有酸性气体的场所,可采用它。
④防爆式
整个电机严密封闭,用于有爆炸性气体的场所。
(3)安装结构型式的选择:
①机座带底脚,端盖无凸缘(B3)
②机座不带底脚,端盖有凸缘(B5)
③机座带底脚,端盖有凸缘(B35)
(4)电压和转速的选择
①电压的选择
电动机电压等级的选择,要根据电动机类型、功率以及使用地点的电源电压来决定。Y系列鼠笼式电动机的额定电压只有380V一个等级。只有大功率异步电动机才采用3000V和6000V。
②转速的选择
电动机的额定转速是根据生产机械的要求而选定的。但通常转速不低于500r/min。因为当功率一定时,电动机的转速愈低,则其尺寸愈大,价格愈贵,且效率也较低。因此就不如购买一台高速电动机再另配减速器来得合算。异步电动机通常采用4个极的,即同步转速n0=1500r/min。
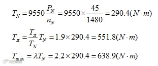
例: 有一Y225M-4型三相鼠笼式异步电动机,额定数据如下:试求(1)额定电流;(2)额定转差率SN;(3)额定转矩TN、最大转矩Tmax 、起动转矩Tst 。
功率 |
转速 |
电压 |
效率 |
功率因数 |
Ist/IN |
Tst/TN |
Tmax/TN |
45kW |
1480r/min |
380V |
92.3% |
0.88 |
7.0 |
1.9 |
2.2 |
解:
(1)4-10Kw电动机通常都采用380V/△接法

(2)已知电动机是四极的,即所以

(3)

在这个科技迅猛发展的时代,机器代替人类的活动正在人类智慧的开放下不断面世,电动机作为机器运转的核心部位,选择一款好的电动机将事半功倍。对于如何去挑选适合你的电动机,以上知识是不是对你有所帮助呢,不妨留下你的看法!

