矢量网络分析仪是测量射频器件的散射参数(S参数)的精密专用仪器设备,矢网的S参数测量精度要满足指标手册中的不确定度限值。无论是矢网验收还是每年的计量,都建议采用已知S参数的标准“校验件”,进行S参数测量误差和不确定度评估。
S参数线性绝对值在[0 1]区间之内,是各项波量的比值,当数值接近最大值1时,不确定度小;当数值接近最小值0时,不确定度大;推荐采用的校验件是Beaty(50-25-50Ω步进传输线),或者T-Check(T型验证件),这两种校验件的传输和反射S参数线性值,均在[0 1]居中的位置,其理论值和计量单位的实际测量值可以作为溯源数据,被检网络分析仪对校验件的S参数测试数据与溯源数据进行比较,获得测量误差,与被检网络分析仪指标手册中传输和反射测量不确定度的限值比较,即可判定其是否合格。
完整校验件
完整校验件结构和参数关系

完整校验件是进行矢量网络分析仪计量和不确定度评估的传递标准器具,整套校验件核心是beaty(50-25-50Ω步进传输线),还有失配器、偏移短路器和衰减器。

推荐产品: R&S ZV-Z4xx校验工具箱,例如ZV-Z429是2.92mm同轴校验件。
完整校验件应用
用途:
1)主要应用于矢量网络分析仪S参数测量不确定度的计量校验,全量程高精度;
2)用作计量溯源或比对传递标准。
以下表格中,每种校验件的建议计量评估项目,及其对应的[0 1]损耗量程范围。
| 校验件 |
计量项目 |
| 步进传输线 | 反射+传输,幅度+相位 反射和传输损耗范围居中 |
| 失配器 |
反射,幅度+相位 反射损耗较大 |
| 偏移短路器 |
反射,幅度+相位 反射损耗小 |
| 衰减器 |
传输,幅度+相位 传输损耗大 |
校验件的S参数初始值和不确定度由厂家或上级计量单位给出,作为溯源标准值,被检矢网的测试值与标准值进行比较,判定是否通过。
合格判定算法:
Er = |Xm-Xr|/SQRT(Um^2+Ur^2)
其中Xm和Um是被检矢网实测值和数据手册中给出的不确定度指标,Xr和Ur是溯源标准值和不确定度,Er<1时判定通过。
按照以上判决结果,可以判定传输和反射测量准确度是否满足指标要求,同时可以判断系统有效数据是否满足指标要求。下表中左侧列的校验件判定合格时,等效于右侧相应的系统有效数据项目合格。
| 校验件 |
系统有效数据 |
| 步进传输线 | 传输跟踪 |
| 失配器 |
方向性 |
| 偏移短路器 |
匹配,方向性,反射跟踪 |
T-Check校验
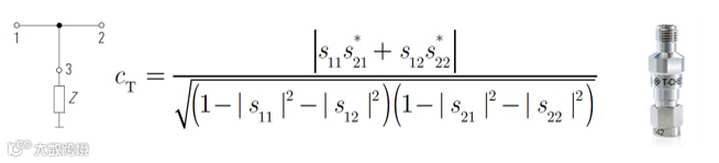
T-Check校验件结构和参数关系

T-Check校验参数,理论值Ct=1,作为参考值100%。
被检网络分析仪测试端口 1 和 2处的双端口 S 参数,并据此计算校验参数Ct,这些参数值与理想值Ct=1的偏差,代表了被测网络分析仪的测量不确定度。通常认为±10%以内的偏差较小。

当作为传递标准使用时,双端口 S 参数S11,S21,S12,S22与Ct一起作为比对参数。
推荐产品: R&S ZV-Z3xx校验件,例如ZV-Z329是2.92mm同轴T-Check校验件。
T-Check特点和应用场合
优点:操作步骤简单,只需一个器件,一个综合参数CT表征被检网络分析仪的测量不确定度。
缺点:不能进行完整校验,需要计算综合参数CT,不能分别评估传输和反射的不确定度;不能全量程校验,反射在 -8 ~ -12 dB,传输在 -3 ~ -5 dB。
用途:
1)作为矢网运行状态的校验评估工具;
2)用作计量比对传递标准。


