在我们开始介绍磁导率之前,针对上期文章《聊聊介电常数那些事》有一些补充说明:在《聊聊介电常数那些事》一文中,有如下内容:
需要说明的是,上述内容是有限制条件的:当均匀电介质充满电场所在空间,或均匀电介质表面是等位面时,上述描述成立。对于平行板电容器,满足电介质表面是等位面的条件,因此是成立的。对于其他情况,还需要考虑形状因子。
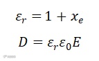
另外需要注意的是,相对介电常数与极化率xe以及电位移矢量D有关:
上回咱们一起聊了聊介电常数那些事。今天,咱们书接上文,继续聊聊磁导率是个啥。
1.麦克斯韦方程组的对称性与磁单极:
看过上回书的小伙伴,不知道有没有把麦克斯韦方程组找来看看,这个方程组几乎是完美对称的。当年我学到这里时,总觉得遗憾。作为一个强迫症晚期患者,看着不是完美对称的麦克斯韦方程组,觉得手里的煎饼果子都不香了。直到后来又学了高等电磁场理论,才恍然大悟,原来不对称的来源是磁单极。大家知道,正电荷和负电荷是可以独立存在的,而目前还没有发现单独的正磁荷和负磁荷;磁铁哪怕分割得再小,也是南北极同时存在的。由此造成了麦克斯韦方程的不对称。在高等电磁学里,假设了独立磁荷存在(磁单极),从而使麦克斯韦方程组完美对称,立刻觉得手里的煎饼果子又香了。因此我坚信,磁单极是存在的!
分析磁介质时有两种方法:分子电流观点和磁荷(磁单极)观点。可以证明,这两种方法最终导出的结果是完全相同的。由于我实在喜欢煎饼果子,所以在这里我们选择了磁荷观点来介绍我们今天的主人公-磁导率。
2.磁导率是个啥?
上回书中,我们先回忆了大学物理中的库伦定律。根据库伦定律,一个电荷,在真空中产生的电场强度E为:
在这里,ε0是物理学中的一个基本物理常量,称为真空介电常数,其数值为:
ε0=8.854187817···x10-12c2/(N·m2)
在麦克斯韦方程组完美对称的世界里,一个磁荷qm,在真空中产生的磁场强度H为:
在这里,μ0同样是物理学中的一个基本物理常量,称为真空磁导率,其数值为:
是不是很完美 ? ! ! !
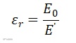
跟上回书一样,讨论完了真空中的情况,我们再来看看当有介质存在的时候,会发生什么?上回书咱们敲黑板画的重点,小伙伴们还记得吗:一个电荷,在真空中产生的电场为E0,在金属中产生的电场为0,而在电介质材料中产生的电场为E',E'小于E0,其比值就是这种材料的相对介电常数(当均匀电介质充满电场所在空间,或均匀电介质表面是等位面时上述描述成立)。
同样,我们当有介质存在时,其内部的磁场由真空中的磁场H0变成H'了。如果闭合磁环介质充满了整个线圈时,其比值就是这种材料的相对磁导率(对于其他情况,也是需要考虑形状因子的)。
注意,与介电常数的表达式不同,H0是出现在分子上,而不是分母上。
对于电介质,一定是大于等于1的,也就是说电介质中的电场一定是弱于真空中电场的。但是磁介质不一样,磁介质中的的磁场有可能减弱也有可能增强。由此可以把磁介质材料分为几大类:顺磁性、抗磁性、铁磁性。
电子磁矩(图片来源于赵凯华、陈熙谋《电磁学》)
跟太阳系中的行星一样,电子的运动包括了绕原子核的运动和自旋运动。绕原子核的运动相当于一个电流环,产生一定的磁矩,称为轨道磁矩;电子自旋运动产生的磁矩称为自旋磁矩。对于磁介质材料,其原子或分子由多个电子组成。一种材料各个电子磁矩互相抵消,整个分子不显示固有磁矩;而另一种材料中各个电子磁矩不能完全抵消,因而整个分子具有一定的固有磁矩。有没有很眼熟?有没有想起《聊聊介电常数那些事》中的有极分子和无极分子?
顺磁性材料中,分子或原子具有固有磁矩。无外磁场时,由于热运动,各分子磁矩是随机排列的,宏观上不呈现磁性。在外加磁场作用下,分子磁矩趋向于与外磁场一致,从而在材料表面感应出磁荷。感应磁荷产生的磁场在材料外部与外加磁场方向相反,而在材料内部与磁场方向相同,从而使材料内部的磁场增强。因此顺磁性材料μr > 1,材料内部磁场增强了。
顺磁性材料在外加磁场下在表面感应出磁荷
(图片来源于赵凯华、陈熙谋《电磁学》)
以上这段内容,与《聊聊介电常数那些事》中的有极分子极化部分一起服用,效果更佳。
抗磁性材料中每个分子或原子中的电子总磁矩为零,在外加磁场作用下,受洛伦兹力影响,电子环绕电子核的角速度会增加,从而产生额外轨道磁矩,而所有电子产生的额外磁矩在材料内部都与外加磁场方向相反。因此抗磁性材料内部的磁场会弱于外加磁场,μr<1。需要注意的是,这种轨道磁矩的增加在顺磁性材料中也同样存在,只不过与顺磁效应相比弱得多。
铁磁性材料很特殊,其内部的磁场强度不仅仅与当前的外加磁场强度有关,还与其磁化历史有关,由此产生了磁化曲线、磁滞回线等概念,其磁导率也分别有起始磁导率、饱和磁导率、某个中间过程的磁导率等。铁磁性材料的磁性主要来源于电子自旋磁矩。在没有外磁场的条件下,其电子磁矩可以“自发地”排列起来,形成一个个小的“自发磁化区”,称为磁畴。在未磁化时,各磁畴的磁化方向不同,宏观上不显示磁性。外加磁场时磁畴壁破裂,重新排列,表现出磁性;随着外加磁场变大,所有磁畴融合成一个大的磁畴,达到饱和。此时如果外加磁场消失,磁畴并不会完全回到未磁化的状态,从而产生磁滞效应。铁磁性材料内部的磁场会大于外加磁场,。铁磁性的材料主要有铁及其氧化物,钴、镍和一些稀土元素。
铁磁性材料的磁畴随外磁场的变化
(图片来源于赵凯华、陈熙谋《电磁学》)
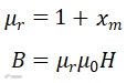
相对磁导率与极化率xm以及磁感应强度有关:
看到这里,小伙伴们可能有些晕了,其实情况没那么复杂。顺磁性材料和抗磁性材料的相对磁导率都是非常接近于1的,偏差都在10-6~10-3量级上。在工程上都可以认为其相对磁导率就是1。有两个例外,一个是超导材料,其μr=0,内部磁场强度为0,称为超导的完全抗磁性;另一个是超顺磁性材料,μr>>1,且与磁化历史无关,一般是由铁磁性物质在特殊条件下形成的,在这里不讨论了。所以,小伙伴们拿到一个材料,一看他的成分中不包含铁、镍、钴和一些稀土元素,就可以认定这不是一种铁磁性材料。如果再排除了超导的可能,在工程上就可以认为其相对磁导率为1。只有铁磁性材料,我们才需要认真考虑其相对磁导率,铁磁性材料的起始相对磁导率和饱和相对磁导率一般都远大于1。
与介电常数一样,在高频,情况会更复杂,材料的磁导率常数为复数μ*r:
其中的虚部代表了材料在高频的损耗。工程上常把μr"与μr'的比值称为磁损耗角正切:
3.磁导率有啥特性?
跟介电常数一样,磁导率主要与材料本身的分子结构和排列方式有关,所以也是材料本身固有的属性。对于铁磁性的材料,比如铁氧体(主要成分为铁的氧化物)磁导率与磁化历史、方向等相关,是各项异性的。
材料的磁导率是频率的函数,也就是说不同频率上的磁导率是不同的。
复磁导率随频率的变化(图片来源于网络)
此外,材料的磁导率也是随温度变化。
4.磁导率会影响啥?
影响之一:电感
在麦克斯韦方程组中,电和磁是对应的,介电常数和磁导率是对应的;在电路中电容和电感是对应的。聪明的小伙伴一定猜到了,既然介电常数会影响电容,那么磁导率就一定会影响电感。一个简单的空芯螺线管就构成了一个电感,如果在空芯螺线管中插入磁芯(μr'>>1的铁磁性材料),电感量会显著增加,当电感是绕在闭合磁环上的螺线环,那么与同样匝数和尺寸的空芯螺线环相比,电感量增大μr'倍。
带有磁芯(铁磁性材料)的环形绕线电感
理想的电感是没有损耗的,但是由于介质材料存在损耗(复磁导率的虚部)以及导线的电阻,实际的电感的等效电路为一个理想电感L1和一个电阻R1串联;C1表示线圈之间的寄生电容。电感的损耗可以用串联寄生电阻R1描述,但更多使用品质因数Q来描述:
电感的简化等效电路模型
使用罗德与施瓦茨公司LCR表测量电感的结果
影响二:电磁波的传播速度
这一点跟介电常数是类似的。当电磁波在介质材料中传播时,其速度为:
但由于大多数材料的μr'≌1,所以经常忽略它的影响,
式中C0是真空中的光速,而
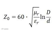
影响三:微波传输线的特征阻抗
这也与介电常数是类似的。
同轴传输线截面
轴传输线有外导体、内导体和之间填充的介质材料组成,他的特征阻抗为:
再一次,由于大多数材料的μr'≌1,所以经常忽略它的影响,
磁导率的测量实际上就是利用了其对电信号的影响来进行的,这一部分内容请参考之前的文章《你与漫威英雄的差距可不止一面振金的盾牌,还有......》和《麻瓜的隐形斗篷怎么做?还得先从材料电磁特性测试开始》
关于绿测科技
ABOUT GREENTEST
绿测科技是一家专注于耕耘测试与测量行业的技术开发公司,以专注成就专业的服务理念给客户提供专业的服务。总部设立于广州羊城。随着业务的发展,先后在广西、深圳等地设立了分公司。绿测科技主要业务范围由以下方向组成:核心采集部件、高端应用测试方案、自动化测试方案、实验室建设。绿测科技经过深耕测试与测量领域多年,组建了一支经验丰富的技术团队,可为广大客户提供品质过硬的产品及技术支持。


