网络分析仪测量精度/不确定度计量校准方法,参见文章:
上述校验方法是业界进行网络分析仪计量校准的常用方法,校验结果获得的准确度,与有效系统数据是完全对应的。
精确的有效系统数据分析方法,需要使用网络分析仪的时域测试模式,采用时间门得到相关反射峰的频域数值,分解得到系统有效数据。如果没有时域选件和计算工具软件,另外可以使用纹波法,是一种系统数据的简易估算方法。
系统有效数据定义

系统有效数据时域测量方法
01
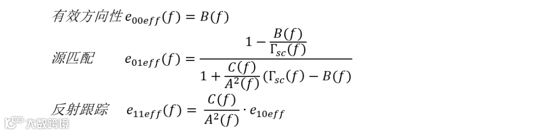
方向性/源匹配和反射跟踪



02
负载匹配
双端口间直连,直接测量S11和S22,分别对应前向和反向的有效负载匹配。
03
传输跟踪
双端口间直连,测量S21和S12,平滑去纹波,分别对应前向和反向的有效传输跟踪。
04
反射跟踪
在被测端口,如端口1,分别连接校准件短路器和开路器测试S11,反射跟踪
Tr = (S11_Open+S11_Short)/2
系统有效数据纹波法测量
当被检网络分析仪没有上述时域功能时,采用空气线加负载测量方向性,采用空气线加短路器测量源匹配,具体方法如下:
在校准后的被测端口,连接空气线和负载(或20dB失配器),S11 LinMag曲线如下例图,读取纹波起伏最大处的峰峰值Mp。

有效方向性 = Mpp/2
在校准后的被测端口,连接空气线和短路器,S11LinMag曲线如下例图,读取纹波起伏最大处的峰峰值Mpp。

源匹配 = Mpp/(2·Γs)

