
文|天元律师事务所合伙人 李海江
|天元律师事务所律师 张 征
李海江、张征两位大律师关于业绩补偿对赌条款的文章,之前分开四期发,小伙伴们纷纷表示不便收藏,这回集中攒个大招发出来,请自取。不用谢我,我叫雷锋。
对赌的英文名称为“ValuationAdjustment Mechanism”,直译为“估值调整机制”,是指收购方(“投资方”)与出让方(“融资方”)在达成并购协议时,对于未来不确定的情况进行一种约定;如果约定的条件出现,投资方可以行使某种权利;如果约定的条件不出现,融资方则行使某种权利。
一、对赌协议的法律厘定
1对赌协议的性质
对赌协议是投融资双方对未来目标公司的一种契约安排。这种契约安排在我国目前《合同法》中尚没有明确的规定,属于“无名合同”。参考比较相近的合同类型,对赌协议的投融资双方以目标公司未来的业绩或实现上市作为赌注,由于目标公司未来业绩或能否实现上市具有不确定性,从这个角度分析,对赌协议最相近的合同是射幸合同。[1]
射幸是以不确定性事项作为合同的标的,主观上具有预判性,客观上具有不确定性。[2]《法国民法典》第1104条规定,射幸合约是指当事人相互间的一种约定:所有当事人或其中一名当事人或数名当事人获得收益还是遭受损失均依赖于不确定事件。《美国契约法重述》第291条将“射幸允诺”定义为“以偶然事件的发生、或由当事人假定的偶然事件的发生为条件的允诺”。[3]
射幸合同的特征如下:[4]
1、射幸性:射幸性指以将来某种可能发生的不确定事件作为合同的标的。一方当事人支付一定的代价所得到的只是一种机会。射幸性与附条件的民事行为相似,二者区别在于附条件民事行为是将这种将来不确定的事实作为决定法律行为生效与否的条件,而射幸合同将这种不确定的事件作为合同法律行为的标的。
2、等价有偿的相对性:投融资双方订立合同时承诺一方的给付并非等价物而是根据未来的不确定的偶然性,可能获得巨额收益也可能一无所获,射幸合同就条款本身而言,是与民法中等价有偿的原则相背离。
3、射幸合同承受的风险具有不平等性:由于是对未来不确定的事件进行交易,一方支付一定的代价所得到只是一个机会,因此,一方支付一定代价所得到的预期可能落空。
4、射幸合同对当事方的诚信程度要求较高,因为射幸合同具有射幸性,射幸合同当事方之间容易做出违反公序良俗的约定,因此,承认射幸合同的国家对射幸合同一般具有严格的监督。
通过上述分析,可以用射幸合同分析对赌协议,对赌协议是对目标公司未来业绩或实现上市进行约定,而业绩波动或上市的可能性具有不确定性。对于投资者而言,对于企业的信息及实际操作不具有控制性,其支付投资资金与获得未来业绩收益及实现上市具有不对等性,为了平衡这种不对等性。投资者在投资协议中要求目标公司或原股东对目标公司未来若干年实现的业绩及在一定期限内实现上市作出承诺,没有达到业绩承诺或未实现上市的,目标公司或原股东需要对投资者进行补偿。
2对赌协议的理论模式
对赌协议理论模型为浮动股权比例条款,即在投资前由原股东及目标公司对未来一定时期进行业绩预测,并根据该预测的收益计算出投资者及原股东的股权份额,如果在目标公司的实际运营中,实际业绩收益大于预期业绩收益,则投资者对原股东或目标公司高级管理人员给予一定奖励。反之,则要调高投资者的股权比例。[5]
二、对赌协议的主体分析
实践中,当目标公司未完成约定的财务指标(假设以预期利润为参考依据)时,从主体的角度分析,对赌协议通常采用如下补偿方式:
1由控股股东或实际控制人向投资者补偿
在实践中,由控股股东或实际控制人向投资者进行补偿的方式最为常见,目前也逐渐为司法机构所接受。一般的操作方式为控股股东或实际控制人对目标公司未来业绩作出承诺,如果未来目标公司无法达到预期业绩,由控股股东或实际控制人通过现金或股权补偿方式向投资者进行补偿。
从投资者的角度分析,由控股股东或实际控制人直接给予补偿可以最为直接的限制投资风险,因此,在实践中被普遍采用。
2由目标公司向投资者进行补偿
根据司法实践判例,人民法院根据《中华人民共和国公司法》第二十条的相关规定[6],认为由目标公司向投资者进行补偿,投资者可以取得相对固定的收益,该收益脱离了目标公司的经营业绩,损害了目标公司及债权人的利益,一般认定为无效条款。[7]
三、业绩补偿的方式分析
业绩补偿是指投资时,投融资双方就未来一段时间内目标公司的经营业绩进行约定,如果目标公司未实现约定的业绩,则需要按一定标准与方式对投资者进行补偿。
1持股比例不变,要求原股东返还多支付的投资款
1、补偿的性质分析
投资者一般会按照调整后的估值计算投资价款,要求原股东退还或调减的投资金额。
例如:目标公司预测当年实现利润为5,000万元,商定按投资后8倍P/E估值,则目标公司整体估值为投资后4亿元,投资者拟取得10%的股权,则需要投资4,000万元。
投资后目标公司当年实际实现的利润为3,000万元。假定8倍P/E估值不变,则目标公司整体估值为2.4亿元,投资者持有目标公司10%的股权,价值应为2,400万元。
按照估值调整的标准计算,即按实现利润对企业重新估值(假定P/E值恒定),将多投资部分需补偿给投资者。
4,000万元-2,400万元=1,600万元
上述4,000万元(应投资金额)=预计净利润×P/E值×拟持股比例=5,000×8×10%,上述公式可以转化为5,000×8×10%-3,000×8×10% =5,000×8×10%×(1-3,000×8×10%/5,000×8×10%)=4,000×(1-3,000/5,000)=已投资金额×(1-实际净利润/预计净利润),综上,上述公式归纳为:
补偿金额=已投资金额×(1-实际净利润/预计净利润)
2、相关实践案例梳理
实践操作中,适用的现金补偿案例,为上述公式及公式的变形方式,具体如下:
案例一:
实际控制人及目标公司对目标公司的业绩作出如下承诺:
2003年度净利润承诺:不少于人民币500万元;2004年度净利润承诺:不少于人民币600万元;2005年度净利润承诺:不少于人民币700万元。
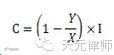
若2004年度与2005年度净利润之和小于业绩承诺的80%,即1,040万元人民币,则实际控制人应于2005年度审计报告出具之日起10日内,以现金方式对投资者进行补偿,具体补偿金额计算如下:


其中,C为补偿现金净额;X为2004年及2005年目标净利润总额;Y为2004及2005年实际净利润总额;I为投资者投资金额。
上述“净利润”均应为经投资者认可的有证券从业资格的会计师事务所出具的无保留意见的审计报告确定的归属于目标公司母公司的净利润,且应以合并报表(如适用)中扣除非经常性损益前后较低者为准。
案例二:
实际控制人承诺:目标公司2003年完成500万元扣除非经常性损益的净利润,2004年度至2007年度,目标公司的净利润每年保持30%以上的增长,非经常性损益的计算以中国证监会发布并最新修订的《公开发行证券的公司信息披露解释性公告第1号——非经常性损益》为依据。
双方同意,如果目标公司2003年实现的扣除非经常性损益后的净利润无法达到500万元,或者在日后因财务会计政策追溯调整而导致未实现上述预测数,则投资者有权根据实际的扣除非经常性损益后的净利润数值要求实际控制人进行现金补偿,补偿方案如下:
若2003年目标公司的扣除非经常性损益后的净利润无法达到上述2003年预测净利润500万元的95%(即475万元),则实际控制人需将投资者多付的投资款(设为“A”)
A=(500-2003年实现的公司扣除非经常性损益后的净利润)×10×5%]
(作者注:该“10”为该案例的P/E值10倍,5%为投资者持有目标公司的股权)
案例三:
鉴于本次交易是以目标公司2005年度净利润800万元及包含投资者投资金额完全摊薄后10倍市盈率为作价依据,且目标公司和原股东承诺目标公司2005年度税前利润(或净利润)不低于800万元。
如果目标公司2005年度经审计的净利润低于800万元,则视为未完成经营指标,应以2005年度经审计的实际净利润为基础,按照10倍市盈率重新调整本次交易的投资估值,调整后目标公司所有股东所持有的股份比例保持不变,公司应以现金方式退还各投资者相应多付的投资款。
此时,标的公司估值(设为“A”)=实际完成净利润×10倍市盈率。
标的公司需将投资者多投的投资款(具体为“800万元-A×(投资时的所占的股权比例)”)退还投资者。
2持股比例不变,要求原股东补偿股权
1、补偿的性质分析
股权补偿本质上为投资完成后,公司实际业绩低于预期业绩,根据实际业绩调整估值后,按照投资金额反推投资者应获得的持股数量,要求原股东向投资者转让股权。
例如:目标公司预测当年实现利润为5,000万元,商定按投资后8倍P/E估值,则目标公司整体估值为投资后4亿元,投资者拟取得10%的股权,即投资者获得目标公司4,000万股股权(按1元每股计算),则需要投资4,000万元。
投资后目标公司当年实际实现的利润为3,000万元。按照估值调整的标准计算,即按实现利润对企业重新估值(假定P/E值恒定),如果要对投资者进行股权调整并补偿,需要假定投资4,000万元不变,计算投资者应获得的股权数量。具体如下:
(1)目标公司实际估值=实际净利润×P/E值=3,000万元×8=24,000万元;
(2)应获得股权比例为=投资金额÷实际净利润×P/E值=4,000万元÷24,000万元×100%=16.67%
(3)调整前股权比例=投资金额÷预测净利润×P/E值=4,000万元÷40,000万元×100%=10%
(4)补偿比例=应获得的股权比例-调整前股权比例=6.67%
(5)补偿的股权数=预测净利润×P/E值×补偿比例=2,666.67万股(按照每股1元计算),该公式可以变形为:
=预测净利润×P/E值×(应获股权比例-调整前股权比例)
=调整前股权比例×预测净利润×P/E值×(应获股权比例÷调整前股权比例-1)
=调整前股权数量×[投资金额÷实际实现净利润×P/E值]÷[投资金额÷预测净利润×P/E值]-1)
=调整前股权数量×(预测净利润÷实际净利润-1)
综上,股权补偿的公式归纳为:
补偿的股权数=调整前股权数量×(预测净利润÷实际净利润-1)
2、相关实践案例梳理
案例一:
如果目标公司2005年度审计后净利润未达到500万元,或者在日后因财务会计政策追溯调整而导致未实现上述预测数,则投资者有权要求实际控制人进行股权/股份补偿,补偿方案如下:
若目标公司2005年度实现的扣除非经常性损益后的净利润未达到500万元的95%(即475万元),则实际控制人无偿转让给投资者股权/股份(设为“B”) [B=总股数×5%×[(475÷2005年实现的扣除非经常性损益后的净利润)-1]。
3投资额度不变,要求调整持股比例
1、补偿的性质分析
本质上,调整股权比例也是股权补偿的一种表现形式。
例如:目标公司预测当年实现利润为5,000万元,商定按投资后8倍P/E估值,则目标公司整体估值为投资后4亿元,投资者拟取得10%的股权,则需要投资4,000万元。投资后目标公司当年实际实现的利润为3,000万元,按8倍估值,整体估值需调整为2.4亿元。
上例中,当目标公司的净利润为3,000万元,整体估值为2.4亿元,投资者保持4,000万元的投资金额不变,则应获得的持股比例为4,000万元÷2.4亿元=16.67%,此时投资者可以要求控股股东补偿的股权比例为16.67%-10%=6.67%。
2、相关实践案例梳理
案例一:
公司、原股东和实际控制人对公司2001年度至2002年度的经营业绩向投资者作如下保证:
(1)公司2001年度净利润不低于300万元(“2001年业绩目标”)
如公司未完成2001年业绩目标,原股东和实际控制人应按照下列公式无偿转让其持有的公司股权给投资者补偿:
2001年度补偿股权比例=18%×(1-2001年实际实现净利润÷300万元)(结果取正数)
(2)公司2002年度净利润不低于500万元(“2002年业绩目标”)
如公司未完成2002年业绩目标,原股东和实际控制人应按照下列公式无偿转让其持有的公司股权给投资者补偿:
2002年度补偿股权比例=投资者2001年度调整后股权比例×(1-2002年实际实现净利润÷500万元)(结果取正数)
4持股比例不变,要求原股东补偿股权及现金
投资者选择股权补偿与现金补偿方式并用,实践中主要有两种方式,其一是股权补偿为主体,在股权补偿不足的部分,以现金方式补足;其二是约定股权补偿及现金方式补偿并存,由投资者根据实际情况,选择对其最为有利的补偿方式。具体参见如下案例:
案例一:
原股东承诺,目标公司2002年度税后净利润预计将不低于500万元人民币,2003年度税后净利润预计将不低于1,200万元人民币。
如目标公司2002年度和2003年度实际税后净利润合计数(以下简称“实际合计净利润”)不足1,700万元,则投资者有权主张以现金或股权形式获得补偿,具体补偿方法如下:
目标公司未实现上述约定净利润时,原股东应当补偿给投资者股权数额(S)的计算公式为:
S=5,000,000股×(1,700万元÷实际合计净利润-1)
如根据计算结果原股东补偿给投资者股权数少于1,500,000股(即1,500,000-S>0),则原股东应以股权向投资者予以补偿,补偿的股权由投资者在1,500,000股中直接扣除并归投资者所有,剩余的部分(即1,500,000-S)由投资者在取得目标公司2003年度审计报告后的10日内无偿转让给目标公司。
如根据公式计算出的原股东应补偿投资者的股权数超过1,500,000股(即1,500,000-S<0),则1,500,000股全部补偿,就超出部分(即S-1,500,000),投资者不要求原股东再向投资者予以股权补偿,原股东应以现金方式向投资者补偿,现金数量(C)的计算公式为:
C=(S-1,500,000)×届时的每股金额。
投资者有权要求放弃股权补偿而全部以现金形式获得补偿,现金数量(C1)的计算公式为:
C1=1,500万元×(1-实际合计净利润÷1,700万元)
投资者获得C1的现金补偿后的10日内应当将1,500,000股无偿转让给原股东。
四、对赌协议的救济
1甘肃世恒有色资源再利用有限公司等与苏州工业园区海富投资有限公司增资纠纷再审案[8]
甘肃世恒有色资源再利用有限公司等与苏州工业园区海富投资有限公司增资纠纷再审案(以下简称“甘肃世恒案”)作为全国最高人民法院对于对赌条款审理的第一案,对于后续人民法院对于对赌条款法律效力的判决具有参考及指导性意义,具体梳理如下:
1、背景事实
(1)股权结构
2007年11月1日,甘肃世恒有色资源再利用有限公司(原名为甘肃众星锌业有限公司,以下简称“世恒公司”)、苏州工业园区海富投资有限公司(以下简称“海富公司”)、香港迪亚有限公司(以下简称“迪亚公司”)、陆波(世恒公司的法定代表人)共同签订一份《增资协议书》,其中约定:
世恒公司注册资本为384万美元,迪亚公司占投资的100%,各方同意海富公司以现金2,000万元人民币对世恒公司进行增资,占世恒公司增资后总注册资本的3.85%,迪亚公司占96.15%。
该次增资前,世恒公司的股权结构为:

该次增资完成后,世恒公司的股权结构为:

(2)业绩承诺
《增资协议书》第七条第二款约定:世恒公司2008年净利润不低于人民币3,000万元。如果世恒公司2008年实际净利润完不成3,000万元,海富公司有权要求迪亚公司予以补偿,如果迪亚公司未能履行补偿义务,海富公司有权要求世恒公司履行补偿义务。补偿金额=(1-2008年实际净利润/3000万元)×本次投资金额。
(3)上市承诺
《中外合资经营甘肃众星锌业有限公司合同》(以下简称“《合资经营合同》”)约定:合资公司应在条件具备时改组设立为股份有限公司,并争取在境内证券交易所发行上市。如果至2010年10月20日,由于合资公司自身的原因造成无法完成上市,则海富公司有权在任一时刻要求迪亚公司回购届时海富公司持有的合资公司的全部股权。
(4)回购条款
《增资协议书》第七条第四款约定:如果至2010年10月20日,由于世恒公司的原因造成无法完成上市,则海富公司有权在任一时刻要求迪亚公司回购届时海富公司持有世恒公司的全部股权,迪亚公司应自收到海富公司书面通知之日起180日内按以下约定回购金额向海富公司一次性支付全部价款。若自2008年1月1日起,世恒公司的净资产年化收益率超过10%,则迪亚公司回购金额为海富公司所持世恒公司股份对应的所有者权益账面价值;若自2008年1月1日起,世恒公司的净资产年化收益率低于10%,则迪亚公司回购金额为(海富公司的原始投资金额-补偿金额)×(1+10%×投资天数/360)。
(5)增资审批及工商登记
海富公司依约于2007年11月2日向世恒公司银行账户缴付人民币2,000万元,其中新增注册资本114.7717万元,资本公积金1,885.2283万元。
2008年2月29日,甘肃省商务厅下发甘商外资字[2008]79号文件《关于甘肃众星锌业有限公司增资及股权变更的批复》,同意增资及股权变更,并批准投资双方于2007年11月1日签订的增资协议、合资企业合营合同和章程从即日起生效。随后,世恒公司依据该批复办理了相应的工商变更登记。
2009年6月,世恒公司经甘肃省商务厅批准,到工商部门办理了公司名称及经营范围变更登记手续,名称变更为“甘肃世恒有色资源再利用有限公司”。
(6)实际利润
根据工商年检报告登记记载,世恒公司2008年度生产经营利润总额2.68万元,净利润2.68万元。
(7)诉讼请求
2009年12月,海富公司向甘肃省兰州市中级人民法院(以下简称“兰州中院”)提起诉讼,请求判令:世恒公司、迪亚公司、陆波向其支付协议补偿款1,998.2095万元并承担诉讼费及其它费用。
2、一审法院观点
兰州中院经审理后认为,案件的争议焦点为:1、《增资协议书》业绩目标约定是否具有法律效力;2、如果有效,世恒公司、迪亚公司、陆波应否承担补偿责任。
兰州中院认为,《增资协议书》系双方真实意思表示,但第七条第(二)项内容即世恒公司2008年实际净利润完不成3,000万元,海富公司有权要求世恒公司补偿的约定,不符合《中华人民共和国中外合资经营企业法》第八条[9]关于企业净利润根据合营各方注册资本的比例进行分配的规定,同时,该条规定与《公司章程》的有关条款不一致,也损害公司利益及公司债权人的利益,不符合《中华人民共和国公司法》第二十条第一款的规定。
因此,根据《中华人民共和国合同法》第五十二条(五)项的规定,该条由世恒公司对海富公司承担补偿责任的约定违反了法律、行政法规的强制性规定,该约定无效,故海富公司依据该条款要求世恒公司承担补偿责任的诉请,依法不能支持。
3、二审法院观点
海富公司不服一审法院上述民事判决,向二审法院——甘肃省高级人民法院(以下简称“甘肃高院”)提起上诉。
甘肃高院认为,业绩目标约定仅是对目标公司盈利能力提出要求,并不违反法律规定。但补偿条款的约定则违反了投资领域风险共担的原则,使得海富公司作为投资者不论世恒公司经营业绩如何,均能取得约定收益而不承担任何风险,参照《最高人民法院<关于审理联营合同纠纷案件若干问题的解答》第四条第二项关于企业法人、事业法人作为联营一方向联营体投资,但不参加共同经营,也不承担联营的风险责任,不论盈亏均按期收回本息,或者按期收取固定利润的,是明为联营,实为借贷,违反了有关金融法规,应当确认合同无效之规定,应认定无效。
海富公司的2,000万元投资款,除已经计入注册资本的114.771万元外,计入资本公积的其余1,885.2283万元应属名为投资,实为借贷。虽然世恒公司与迪亚公司的补偿承诺亦归于无效,但海富公司基于对其承诺的合理依赖而缔约,故世恒公司、迪亚公司对无效的法律后果应负主要过错责任。根据《中华人民共和目合同法》第五十八条之规定,世恒公司与迪亚公司应共同返还海富公司1,885.2283万元及占用期间的利息,因海富公司对于无效的法律后果亦有一定过错,如按同期银行贷款利率支付利息不能体现其应承担的过错责任,故世恒公司与迪亚公司应按同期银行定期存款利率计付利息。
4、最高人民法院观点
世恒公司、迪亚公司不服甘肃高院民事判决,向全国最高人民法院申请再审,请求裁定撤销二审判决,维持一审判决。
最高人民法院认为,海富公司作为企业法人,向世恒公司投资后与迪亚公司合资经营,故世恒公司为合资企业。世恒公司、海富公司、迪亚公司和陆波在《增资协议书》约定补偿条款,这一条款的约定使得海富公司的投资可以取得相对固定的收益,该收益脱离了世恒公司的经营业绩,损害了公司利益和公司债权人的利益,一审法院、二审法院认定这部分条款无效是正确的。
但是,在《增资协议书》中,迪亚公司对于海富公司的补偿承诺并不损害公司以及公司债权人的利益,不违反法律法规禁止性规定,是当事人的真实意思表示,是有效的。迪亚公司对海富公司承诺了世恒公司2008年的净利润目标并约定了补偿金额的计算方法。在世恒公司2008年利润未达到约定目标的情况下,迪亚公司应当依约应海富公司的请求对其进行补偿。
在甘肃世恒案以后,各地方人民法院及全国最高人民法院针对对赌条款的判决延续了甘肃世恒案的判决思路,即对目标公司回购投资者股权的约定认为由于损害目标公司及债权人利益不予支持,对原股东回购投资者股权的约定认为属于意思自治范畴,予以支持。
2甘肃世恒案后的司法判例梳理[10]
1、深圳中科汇商创业投资有限公司、大庆市中科汇银创业投资有限责任公司与朝阳飞马股东汪兆海、杨乃义等股权转让投资案(中华人民共和国最高人民法院民事判决书(2014)民二终字第00107号)
(1)背景事实
杨乃义等原股东在《增资协议》中对目标公司朝阳飞马未来业绩及上市事宜作出承诺及并约定相应回购条款,后由于目标公司无法实现业绩承诺,投资者深圳中科汇商创业投资有限公司(以下简称“中科汇商”)、大庆市中科汇银创业投资有限责任公司(以下简称“中科汇银”)与原股东就回购目标公司股权事宜签署了《股份转让协议》及《补充协议》。中科汇商、中科汇银根据《股份转让协议》及《补充协议》主张原股东履行股权回购义务。
(2)双方主张
中科汇商、中科汇银主张汪兆海、杨乃义等原股东未依据《股份转让协议》及《补充协议》履行股权购买义务并支付价款,构成违约。
汪兆海、杨乃义主张,本案法律关系不是股权买卖关系,而是投资关系,中科汇商、中科汇银既然是增资,应承担承担投资风险及获得投资收益,其主张对赌权利是违反公司法关于股东权利义务的规定。
(3)法院观点
一审法院辽宁省高级人民法院认为,股东之间签订《股份转让协议》及《补充协议》是各股东意思自治的结果,不违反现行法律、行政法规的强制性规定,应为合法有效。
二审法院全国最高人民法院认为,《增资协议》与《股份转让协议》及其《补充协议》具有独立性。中科汇银、中科汇商因朝阳飞马未实现上市的目标而享有两种选择性的救济途径,其既可以依据《增资协议》的约定要求朝阳飞马回购股权,也可以依据《股份转让协议》及其《补充协议》要求汪兆海、杨乃义受让股权并支付股权转让款。中科汇银、中科汇商依据《股份转让协议》及其《补充协议》起诉汪兆海、杨乃义,主张继续履行协议并承担逾期履行的违约责任,于法有据,该法院予以支持。
2、上海瑞沨股权投资合伙企业与连云港鼎发投资有限公司等股权转让合同纠纷案(上海市第一中级人民法院民事判决书(2014)沪一中民四(商)终字第730号)
(1)背景事实
投资者上海瑞沨股权投资合伙企业(以下简称“瑞沨投资”)、目标公司江苏乐园新材料集团有限公司(以下简称“乐园公司”)、现有股东朱立起、连云港鼎发投资有限公司(以下简称“鼎发公司”)及多位其他投资者共计11方签署《乐园新材料增资协议之补充协议》(以下简称“《补充协议一》”),约定如果出现目标公司在一定期限内没有成功实现上市,增资方有权要求现有股东以现金方式回购各投资者所持有的全部或部分股权;同日,瑞沨投资、朱立起、鼎发公司及乐园公司等4方签署《乐园新材料增资协议的补充协议》(以下简称“《补充协议二》”),约定了不同的回购价格。
(2)双方主张
瑞沨投资主张鼎发公司、朱立起依据《补充协议二》支付回购股权款及相应利息。
鼎发公司、朱立起主张,本案应当适用《补充协议一》而非《补充协议二》约定之股权回购价格条款,因《补充协议二》仅为4方签署,违背了《乐园新材料增资协议》、《补充协议一》11方的特别约定,应为无效。
(3)法院观点
一审法院上海市浦东新区人民法院认为,《补充协议二》关于固定利率股权回购的约定,系各方当事人真实意思表示,且未损害目标公司乐园公司的利益及公司债权人的利益,不违反法律法规的禁止性规定,应属合法有效。
二审法院上海市第一中级人民法院认为,《补充协议二》之回购条款是瑞沨投资、朱立起、鼎发公司及乐园公司等4方单独订立,违背了(主合同)《乐园新材增资协议》第8.1条之规定,亦损害了其他投资者基于主合同项下的权益,应属无效,据此,瑞沨投资的请求权基础应当限于《补充协议一》之回购条款。
3、国华实业有限公司与西安向阳航天工业总公司股权转让纠纷案(江苏省高级人民法院民事判决书(2013)苏商外终字第0034号)
(1)背景事实
目标公司常州山由帝杉防护材料制造有限公司(以下简称“山由帝杉公司”)为中外合资经营企业,负有回购义务的股东西安向阳航天工业总公司(以下简称“向阳公司”)是国有企业,因此,对赌条款同时涉及国有企业及中外合资经营企业对赌的问题。
(2)双方主张
投资者国华实业有限公司(以下简称“国华公司”)主张,《股权转让协议》约定了在完成本次股权转让后,原股东林根永、向阳公司承诺:在确保盈利的前提下,山由帝杉公司2009年销售额不低于4亿元人民币;2010年销售额不低于8亿元人民币;在山由帝杉公司不能达到预期的销售总额时,国华公司有权要求撤回对山由帝杉公司的投资。
向阳公司主张,本案《股权转让协议》的回购条款尚未生效。根据法律法规的有关规定,本案涉及的股权回购协议需要经过向阳公司的国有资产监督管理机构即中国航天科技集团公司、外商投资主管机构即江苏省对外贸易经济合作厅审批。即便本案股权回购条款已经生效,该条款的内容依旧属于无效条款。本案的回购条款损害了社会公共利益,违反了法律和行政法规的强制性规定,具备了两重合同无效的理由。
(3)法院观点
一审法院江苏省常州市中级人民法院认为,向阳公司系国有单位,其持有的山由帝杉公司的股权为国有资产,处置国有资产应当严格履行审批手续。中国航天科技集团公司是向阳公司国有资产管理的主管部门,未经中国航天科技集团公司审批擅自处置国有资产,属于损害社会公共利益的行为。依照《中华人民共和国合同法》第五十二条第(四)项之规定,该股权回购条款应为无效。
二审法院江苏省高级人民法院认为,向阳公司回购国华公司股权的部分未履行相应的报批手续,主管商务部门的批复仅同意林根永将其在公司的出资额163.82万美元,占注册资本的6.82%的股权转让给国华公司,并未涉及向阳公司回购国华公司股权。因此,涉案股权转让协议中的股权回购条款未生效,国华公司据此请求法院判令向阳公司回购股权并承担违约责任,本院不予支持。一审法院以向阳公司持有的山由帝杉公司的股权为国有资产,其处置国有资产未经国有资产管理主管部门中国航天科技集团公司审批而损害社会公共利益为由,认定该股权回购涉及的条款无效不当,应予纠正。
4、苏州周原九鼎投资中心(有限合伙)与蓝泽桥、宜都天峡特种渔业有限公司、湖北天峡鲟业有限公司其他合同纠纷案(湖北省高级人民法院民事判决书(2013)鄂民二初字第00012号)
(1)背景事实
投资者苏州周原九鼎投资中心(有限合伙)(以下简称“九鼎投资中心”)与目标公司宜都天峡特种渔业有限公司(以下简称“宜都天峡公司”)原股东蓝泽桥及湖北天峡鲟业有限公司在《苏州周原九鼎投资中心(有限合伙)对宜都天峡特种渔业有限公司之投资协议书》(以下简称“《投资协议书》”)及《补充协议》中约定了宜都天峡公司在未来一定期限内实现上市及业绩目标,如果宜都天峡公司无法实现上市及未实现业绩承诺,蓝泽桥承担回购义务。
(2)双方主张
九鼎投资中心主张,依据《补充协议》相关约定,如果宜都天峡公司自本次投资完成之日起至2014年12月31日的期间未完成公开发行股票和上市,蓝泽桥应受让九鼎投资中心所持有的全部宜都天峡公司的股权。
蓝泽桥主张,《投资协议书》签订后,由于九鼎投资中心存在违约行为,导致投资协议关于业绩补偿约定未能实现,请求判令九鼎投资中心回购主张不予支持。
(3)法院观点
湖北省高级人民法院认为,当事人约定在预期盈利目标无法实现时,重新确定双方的股权比例,以当事人的意思自治为前提,具有合理性。涉案《投资协议书》及《补充协议》系各方当事人的真实意思表示,协议内容不违反法律、行政法规规定,应为合法有效。
五、证券领域监管部门对对赌协议的态度
1IPO的审核态度
根据《首次公开发行股票并上市管理办法》第十三条规定,发行人的股权清晰,控股股东和受控股股东、实际控制人支配的股东持有的发行人股份不存在重大权属纠纷。在IPO审核过程中,证监会主要关注发行人的股权真实、股权结构稳定。出于该种审核态度,如果目标公司存在对赌协议,可能导致其股权结构进行调整,构成重大不确定性。
因此,目标公司通常在上市申报前,与投资者进行协商,另行签署补充协议将上述对赌条款予以终止。另外,实践中部分增资协议中也会明确规定,如果投资后目标公司进行上市,对赌条款予以中止,如果上市未能成功,对赌条款恢复至上市前状态。
2新三板挂牌的审核态度
根据《全国中小企业股份转让系统股票挂牌条件适用基本标准指引(试行)》第四条规定,挂牌主体需要股权明晰,股票发行和转让行为合法合规。根据《挂牌审查一般问题内核参考要点(试行)》1.4.1条的规定,要求主办券商及律师核查公司是否存在影响公司股权明晰的问题及相关问题的解决情况,以及公司现有股权是否存在权属争议纠纷情形。结合核查的具体事实情况对公司是否符合“股权明晰、股票发行和转让合法合规”的挂牌条件发表明确意见。
从上述条文分析,新三板挂牌监管机构对于对赌协议并未采取完全禁止的态度,而是要求主办券商及律师对影响股权明晰的问题予以披露,并根据具体情况对目标公司是否符合“股权明晰、股票发行和转让合法合规”的挂牌条件发表意见。在实践中,一般的操作原则为目标公司不能与投资者之间进行对赌,原股东与投资者之间的对赌条款不能由于业绩对赌影响实际控制人对目标公司的实际控制及目标公司持续运营,且需要中介机构如实披露对赌条款和发表对目标公司挂牌不构成实质影响的意见。部分案例[11]中,原股东与投资者通过签署补充协议将对赌条款予以终止。
[1]参见陈武清著《对赌协议的实践运用与法律风险防范研究》,华东政法大学专业硕士学位论文,2008年4月24日。
[2]参见付明春著《射幸合同总论》,转载同上注。
[3]参见王前锋、张卫新著《论金融衍生交易的法律性质》,载《政法论丛》2004年第六期。
[4]参见陈武清著《对赌协议的实践运用与法律风险防范研究》,华东政法大学专业硕士学位论文,2008年4月24日。
[5]参见吴昊著《美国风险资本运作治理结构及启示》,载于《改革论坛》2004年第9期。
[6]《中华人民共和国公司法》第二十条第一款:公司股东应当遵守法律、行政法规和公司章程,依法行使股东权利,不得滥用股东权利损害公司或者其他股东的利益;不得滥用公司法人独立地位和股东有限责任损害公司债权人的利益。
[7]参见下文甘肃世恒有色资源再利用有限公司等与苏州工业园区海富投资有限公司增资纠纷案,《最高人民法院(2012)年提字第11号民事判决书》及相关判例梳理。
[8]参见中华人民共和国最高人民法院《民事判决书》(2012)民提字第11号“甘肃世恒有色资源再利用有限公司等与苏州工业园区海富投资有限公司增资纠纷再审案”最高人民法院(2012)年提字第11号民事判决书,案例来源:中国裁判文书网(网址:www.court.gov.cn/zgcpwsw/)。
[9]《中华人民共和国中外合资经营企业法》第八条:合营企业获得的毛利润,按中华人民共和国税法规定缴纳合营企业所得税后,扣除合营企业章程规定的储备基金、职工奖励及福利基金、企业发展基金,净利润根据合营各方注册资本的比例进行分配。
[10]案例来源:中国裁判文书网(网址:www.court.gov.cn/zgcpwsw/),案例线索参考金杜律师事务所律师夏东霞、杨婷著《海富投资案后对赌协议代表案例》,2015年4月24日,载于《金杜说法》。
[11]参考案例蓝山科技(代码:830815)、新疆火炬(代码:832099)、科顺防水(代码:833761)的新三板挂牌的《公开转让说明书》及《法律意见书》,载于全国中小企业股份转让系统(网址:http://www.neeq.cc/index)。


