
编者按
近三十年来,钢结构在我国广泛应用,推动了设计理论的快速发展。尽管钢结构设计规范已更新至2017版,但在实际应用中仍存在诸多技术问题亟待解决,如外露式柱脚锚栓抗剪性能、外包式柱脚的工作机理、抗震节点域设计等。浙江大学童根树教授长期参与国家规范编制,带领团队在钢结构稳定、抗震及组合结构领域开展深入研究,注重理论与工程实践结合。《钢结构(中英文)》编辑部特邀其分享系列研究成果,以促进我国钢结构设计技术的发展。
摘要
本文提出一种理论方法用于确定圆钢管混凝土短柱的界限套箍系数。计算结果与试验数据吻合良好,验证了该方法的合理性。
1 什么是界限套箍系数
界限套箍系数是指圆钢管混凝土短柱在轴压力-轴向应变关系中不出现下降段时的最小套箍系数。当套箍作用足够强时,可有效约束核心混凝土,避免承载力骤降。图1引自Tomii等(1979)的研究,展示了典型的压力-应变曲线特征。
图1 钢管混凝土短柱压力-应变关系
2 钢与混凝土简单相加的力学行为
若将钢管和混凝土的承载力简单叠加,所得压力-应变曲线如图2所示。其中 N0 为钢材屈服强度与混凝土棱柱体强度之和,
为套箍系数,定义如下:
式中:As、Ac 分别为钢材与混凝土截面面积;fy、fpr 为钢材屈服强度与混凝土棱柱体抗压强度。
采用GB50010-2016《混凝土结构设计规范》推荐的混凝土本构模型,钢材按接近理想弹塑性考虑。由于最大应变控制在2%以内,钢材强化阶段影响较小。
图2 简单相加时压力-应变关系
提取图2中峰值后下降段的最小承载力比值,拟合得:
式中:
为钢管混凝土承载力相对于简单相加承载力的提高系数。最小剩余承载力出现在应变为1.5%~1.85%区间,而峰值应变约为0.2%。
与试验曲线相比,简单相加模型存在明显下降段,而实际曲线因钢管对混凝土的环向约束(即套箍作用)消除了下降趋势。被“填平”的曲线高差由下式表示:
3 界限套箍系数的理论求解
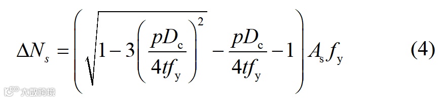
钢管对混凝土产生围压 p,导致钢管环向受拉,竖向承载力降低。根据Mises屈服准则,钢管竖向承载力下降量为:
式中:t 为钢管壁厚,Dc 为混凝土直径。
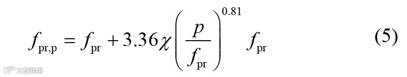
在围压 p 作用下,核心混凝土强度提升为 fpr,p。不同于主动加压试验,钢管内混凝土属于被动受压,其强度随应变发展而变化。经大量试算,在应变达1.5%~1.85%时,混凝土强度可表示为:
相应地,核心混凝土承载力增量为:
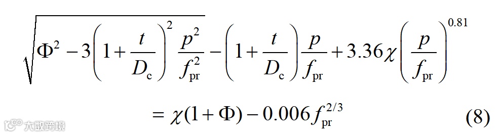
为完全消除压力-应变曲线的下降段,混凝土承载力增量需抵消钢管承载力损失,并等于式(4)中的下降量,即满足:
由此建立代数方程:
给定
,可求解 p/fpr。当套箍系数较小时无解,表明约束不足无法抑制下降段。计算结果见表1,与文献中约1.12的试验值基本一致。
表1 界限套箍系数
表2 围压 p/fpr
本文提出的理论方法与试验结果吻合良好,说明式(5)具有适用性。此外,计算承载力时常采用以下围压与竖向强度关系:
式(5)中的围压效率系数3.36,较式(9)的2.603提高30%~60%,表明在超过峰值承载力后,随着轴向应变增加,围压效应持续增强。
4 结束语
本文提出了一种计算圆钢管混凝土短柱界限套箍系数的理论方法,计算值在1.0~1.1之间,与试验结果基本一致,验证了公式(5)的合理性,适用于应变范围1.5%~1.85%。相较于传统公式,该方法反映出土应力发展阶段围压效率系数的提升特性,有助于更准确评估钢管混凝土后期承载性能。
来源
童根树. 圆钢管混凝土的界限套箍系数[J]. 钢结构(中英文), 2023, 38(6): 61-63.

