
注:本文医学建议仅供参考,具体诊疗请遵医嘱。
参考文献:
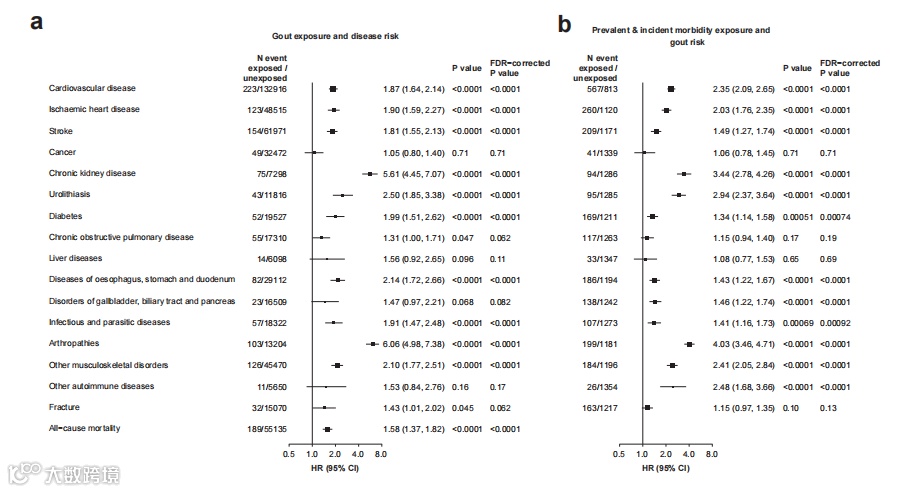
[1]Hyperuricemia, gout and the associated comorbidities in China: findings from a prospective study of 0.5 million adults.The Lancet Regional Health–Western Pacific (2025).
[2]《中国高尿酸血症与痛风诊疗指南(2023)》
[3]Chunwei et al.Transcriptomic analysis of the anti-inflammatory effect of Cordyceps militaris extract on acute gouty arthritis.

