随着环境保护和提升燃油经济性的呼声逐渐增高,世界各国降耗减排法规日趋严格,据国际研究机构试验表明,如果汽车整车重量降低10%,燃油效率可提高6%至8%;汽车整备质量每减少100公斤,百公里油耗可降低0.3至0.6升,因此汽车轻量化成为大势所趋。
而以铝代替传统的钢铁造汽车,整车可减重30-40%;用铝制造的发动机,可减重30%;铝制散热器比相同的铜制品轻20%至40%;轿车铝车身比原钢材制品轻40%以上。显然,用铝材代替钢铁造汽车,减重效果显著。与传统车身相比,全铝车身结构更加轻巧和坚固,方便进行模块化设计,车身有更大的空间来配置复杂科技,产品更加多样化。那么有哪些车在使用全铝车身呢?
一、奥迪A8
新一代奥迪A8车身材料种类得到了增加,达到4种。首次应用了碳纤维复合材料。
车身的整体框架由铝型材搭建,关键部位采用铝制铸件进行连接,保证结构强度,车身表面采用铝制钣金件。为了进一步降低车身重量,车厢后部采用了碳纤维材料。车厢部分采用高强度合金钢。
加长之后的奥迪A8L车身材料与奥迪A8车型保持一致。
图示为新一代奥迪A8L车身结构,整体布局与奥迪A8基本保持一致,但是在细节之处还是存在差别。比如说出现在奥迪A8L车顶上方的横梁。
在一定程度上,这根横梁会起到加强车身的作用。但其主要作用还是用于全景天窗的布置。不少人错误地认为,有这根横梁的车型会配备普通小天窗,没有横梁的车型则会配备全景天窗。其实事实正好相反,这根横梁正是为配备分段式全景天窗而放置的,没有这根横梁的车型则会在车顶覆盖铝板,并搭载普通小天窗。
其实这一点可以在现款奥迪A8车型上得到验证,从这张车身示意图不难看出,奥迪A8车型车顶没有出现横梁,其车顶覆盖了铝板,并配备普通天窗,而不是配备全景天窗。
车身包括多种材质考验拼接技术四种材料如果按照种类再进行细分的话,材料种类可以达到29种,其中包括11种钢材、16种铝材、1种镁材和1种碳纤维复合材质。
多种材质的应用意味着车身连接方式需要进行改进和优化,这也是新一代奥迪A8车型面对最大的挑战。
多种车身材料混合搭配意味着连接方式需要进行改进和优化。
好在自家跑车奥迪R8也同样采用多种车身材质,为新一代奥迪A8提供了参考方案。解决好不同材料之间的连接问题是关键,自切削螺钉连接、激光焊接、铆接等技术大量应用在车身上。
1个全铝车身用到14种拼接法
新一代奥迪A8车身的连接方式达到了14种,其中包括MIG焊、远程激光焊等8种热连接技术和冲铆连接、卷边连接等6种冷连接技术。
在新一代奥迪A8的后座背板处布置有一块碳纤维面板,碳纤维材质的加入对车身连接技术提出了更高的要求。
为了进一步降低车重,新一代奥迪A8后排座椅背板采用了碳纤维复合材料。由于无法喷漆,这块碳纤维板是在总装阶段才进行安装的。
从这张现款奥迪A8车身部件图不难看出,现款奥迪A8后座背板采用的是铝合金材质,新一代奥迪A8应用的碳纤维复合材料后座背板密度减少45%,重量减轻50%。
关于这块碳纤维背板再多说两句,奥迪将其称之为增强型碳纤维复合材料。这块背板由多层碳纤维布料组成,碳纤维布料中纤维编织方向不同,使得整块面板受力更加均匀。
不同材质之间应用不同的连接工艺。
在车辆B柱位置,新一代奥迪A8在材料连接上应用了卷边及黏贴封边技术,这种冷连接方式可以将不同材质有效地固定在一起。
铝合金板材、热成型超高强度钢和普通钢通过卷边连接方式贴合在一起。
因为不同材质之间热胀冷缩程度不同,最后B柱还采用了Piece-locking连接方式,即在卷边处每隔一段距离就打一个凹坑,以确保三层材料完全贴合在一起。
为了确保连接紧固,三种材质之间还用了粘合剂连接和铆钉连接。
不只是B柱采用了卷边连接、粘合剂连接、铆接等冷连接方式,在车辆的A柱、C柱和车顶位置,同样采用了相同的连接方式。
这种复合型连接方式可以让A柱变得更细,驾驶员在车内的视野更好,同时C柱变细,后门开口更大,高度提升14mm,宽度增加36mm,后排乘客腿部空间增加28mm,后排乘客上下车更方便。
二、蔚来ES8
蔚来ES8集结了轻盈、坚固、安全等特性。
其全铝车身在以下几方面得到了表现:
1、能耗消耗只占到新生产的5%;
2、能耗过程中,可减少92%的温室气体排放;
3、车身重量降低,提升配置的自由度,预留了充足的空间;
4、能耗降低8%-10%,污染物排放减少7%;
5、刹车距离减小3米,动能降低10%;
6、百公里加速减小0.5秒,有效负载增加130kg。
ES8用数据去说明一些问题,有几个关键点数据:
1、白车身重量335kg;
2、扭转刚度44140N·m/deg;
3、白车身轻量化指数2.02;
4、全球量产SUV中最高比例的铝件应用率;
5、使用军工级7系铝合金;
6、多种先进连接技术。
1
白车身重量335kg
白车身(Body in White)是指完成焊接但未涂装之前的车身,不包括四门两盖等运动件,ES8的白车身采用了源于飞行器的全铝架构平台,拥有着仅335kg重的白车身重量。
2
扭转刚度44140N·m/deg
对于一般中级轿车而言,扭转强度设计要求在7000N·m的扭矩力矩作用下车身不发生永久变形,扭矩刚度设计要求是要达到20000N·m/deg,而蔚来ES8已超过了这个标准一倍。较高的扭转刚度对操控性和NVH大有益处,例如在汽车转向时,在离心力的作用下,车身会发生侧倾,左右侧车轮间存在载荷转移。
3
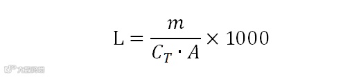
白车身轻量化指数2.02
在轻量化水平标准中,白车身轻量化系数越小,说明单位吸能指标付出的重量成本越低,它是综合了车身尺寸、质量和性能三方表现获得的数据,计算公式如下:
L为车身轻量化系数;m为白车身骨架质(不含四门两盖)(kg);CT为包括挡风玻璃和副车架等附件的油漆车身的静态扭转刚度(N·m/ deg);A是由轴距、轮距决定的白车身投影面积(m²)。而蔚来ES8的白车身轻量化指数为2.02,这属于什么水平呢?有报告称,近些年轻量化指数在2.5就属优秀水平,更何况ES8比优秀水平还领先了0.5。
4
全球量产SUV中最高比例的铝件应用率
除了车身之外,ES8的底盘,悬挂,轮毂,刹车系统以及电池组外壳也是全铝材质。
5
使用军工级7系铝合金
在选择具体哪种铝合金材质时,ES8做了多轮材料优化,最终选择了7系铝中的7003系列。
7003系列铝合金加入了锌与镁元素,强度高,耐磨性强,韧度强,是铝合金家族中最坚韧的合金种类,在前纵梁部位能吸收整车碰撞时的能量。
且在材料的横截面,ES8也进行了优化,以保证碰撞时截面力增大,提高材料的强度以及韧性,安全系数进一步提升。
6
多种先进连接技术
ES8白车身使用7种先进的连接技术,分别为FDS(热融自攻铆接)、RSW(铝点焊)、CMT(冷金属过渡弧焊)、SPR(自冲铆接)、Adhesive结构胶、Laser(激光焊接)、Monobolt(高强度抽芯拉铆),确保车身连接强度,令效能和可靠性达到最佳,提高整车安全性。
三、奇瑞捷豹路虎
为了实现最佳车身性能,奇瑞捷豹路虎挑选不同系列、不同特点的高强度铝合金材料,应用于智能全铝车身架构。捷豹路虎与全球顶级铝材供应商诺贝丽斯共同拥有铝合金材料表面处理的专利技术,共同开发出 RC5754 高强度铝合金,RC5754 的屈服强度达 105-145 兆帕,抗拉强度达 220 兆帕,因其在强度、耐腐蚀性、连接性及成型性等方面表现出众,在车身多处都得到应用。此外,该材料还可实现闭环回收。
AC600 铝合金同样具有高强度的特征,其屈服强度为 110-160 兆帕,抗拉强度达到 230 兆帕,适用于车身加强件;AC300 铝合金加入了镁,锶等元素,抗拉强度达到 250 兆帕,具有高强度、高吸能优势,用于防撞梁结构;AC170 铝合金拥有柔韧性强的特点,适用于外板包边和侧围的覆盖件。
在此基础上打造出的智能全铝车身架构,要比同等结构的钢车身减重 20%-45%,在强度、刚性、操控和环保等方面具有优势。同时,轻量化让车身拥有更多重量空间来分配复杂科技,实现近 50:50 的车身前后比重设计。
1
世界级工艺建设全铝车身车间
奇瑞捷豹路虎常熟工厂是捷豹路虎首个英国本土以外的整车制造工厂,也是世界最先进、最高效的汽车生产基地之一。工厂占地面积约 81 万平方米,于 2014 年 10 月 21 日开业并正式投产,一期设计年产能 13 万辆,二期新增年产能 7 万辆。
其中在国内首屈一指的全铝车身车间,占地面积 48,384 平方米,拥有 335 台机器人,其中自冲铆接机器人数量高达 232 套,为国内最多,实现智能全铝车身架构的 100% 自动化生产。
钢铝焊接比铝铝焊接更加困难的原因在于,钢和铝熔点相差很大,大致在 900 ℃左右。普通焊接过程中,铝会先于钢熔化,并与氧气发生反应形成一层氧化膜影响焊接质量。因此,遵循全球统一标准,奇瑞捷豹路虎引入航空级的铆接胶合技术,这一技术不但解决了铝合金连接的难题,还大幅增加了车身强度。
2
铆接技术
铆接技术无需预留孔,通过伺服电机提供动力将铆钉直接压入待铆接板材,压力高达 60-80KN。铆接板材在铆钉的压力下和铆钉发生塑性形变,充盈于铆模之中。通过这种方式打造的车身拥有更高的抗疲劳强度和静态紧固力。车辆遭受外来撞击时,使用铆接技术连接的车身能承受更长时间和更剧烈的碰撞。
铆接技术对机器人的使用要求更高。全铝车身车间的自冲铆系统由全球顶级供应商为奇瑞捷豹路虎量身定制,此系统铆接强度高,工艺稳定、为打造智能全铝车身架构提供保障。
通过与车身结构黏合剂的组合使用,车身连接强度可增大至单纯铆接强度的 2 至 3 倍。打造出轻盈、坚固的智能全铝车身架构。在黏合剂的使用过程中,先进的可视化涂胶监测系统,实时监测黏合剂的长度、直径、轨迹等关键工艺参数,以确保黏合剂位置的精准。
据介绍,自冲铆接工艺拥有实时监测系统,确保工艺品质。此外,激光在线测量系统运用激光定位设备和摄像技术,将所拍摄的照片数字化后与标准件进行对比,这一工艺可将误差控制在 0.2 毫米以内;奇瑞捷豹路虎常熟生产基地生产的所有车身误差均精确到 ±50 微米,且对所有组合面板和整车车身按一定比例进行三坐标分析,是车身尺寸精度控制的世界级典范。
为进一步确保产品品质,质量工程师还要对车身上的所有铆接点进行无损检测,以保证铆接可靠性;甚至进行车身破坏性检测,即将铆点分离后在金相设备下测量铆点相关参数,来评估铆接性能,确保为消费者提供全球统一的高品质产品。
3
轻量化材料的使用
不仅仅专注于全铝车身架构的应用,还会去看如何在其他的车型上更好地融合或者使用全铝车身架构技术。比如目前的路虎揽胜极光、路虎发现神行都使用了部分铝件,其中路虎发现神行的尾门是铝制的,揽胜极光的前翼子板和尾门是复合型塑料,悬架是铝制的。
全新后悬的转向节以及下控制臂都采用了薄壁空心铸铝材质
在新型材料、高级材料的技术方案上,从设计的较开始就会考虑哪些部位需要使用高强度的钢材,哪些部位可以使用铝材,哪些部位复合型的高级塑料材料会更加合适,以找出较有性价比,同时较能够体现汽车轻量化优势的材料综合使用方案。
在未来大家或许可以看到,根据每个车型以及定位的不同,有些车型使用的还是钢制的车身架构,而有些则会使用全铝车身架构。
四、通用凯迪拉克
凯迪拉克CT6车身尺寸为5223mm*1879mm*1498mm,采用的是全新的Omega后驱平台打造,车身框架的64%都是由铝合金材料进行打造,相比纯钢的车身要减轻了99公斤的重量。凯迪拉克在其车底加入了密闭设计的钢护板,提升车辆的静谧性。
凯迪拉克车身图
1
车身结构
下面我们通过白车身图片来初步了解一下这款车身结构。
CT6车身骨架图
在AB柱骨架、车门防撞梁、车身地板纵梁等部位都采用了高强钢来提升车身强度,在防撞梁、前纵梁、前轮罩、后轮罩、车身横梁等都采用了铝合金材料来达到减重。
CT6车身骨架图
CT6机舱基本由铝合金组成,纵梁及前防撞梁都是铝合金材质,同时上面还有4根梁,提升车体扭转刚度(高端车型应用较多)。
前机舱前部图
该处CT6车身并没有采用捷豹那样的铆接技术,而是使用了激光焊接,奥迪A8的ADS车身框架也使用该技术。
前机舱上边梁区域
后轮罩区域
机舱上边梁及后轮罩区域采为铸件,采用网状加强筋设计,提高刚性的同时降低重量,实现零件集成,且在碰撞时有效吸能。
前地板区域
CT6驾驶舱内,基本都是钢材质,只有中间横向的两根加强梁采用铝合金材,CT6采用全时四驱,中部有传动轴,所以中间结构凸起。
后地板区域
后防撞梁区域
CT6后部使用铝合金材质,形状规整,由图可看出后排座椅是不能放倒的,备胎区域可配备全尺寸轮胎,后防撞梁使用螺栓与车身纵梁连接,方便碰撞后更换(目前防撞梁都是螺接)。
通过上图,可以看到钢铝混合的痕迹,车身底板和发动机舱防火墙为钢板,车身中通道采用钢板,底板加强纵梁、B柱内板采用超高强钢,底板加强横梁、门槛梁采用铝合金材质。
2
连接工艺
1、铝激光钎焊
2、铝电阻点焊
3、FDS
4、SPR
连接工艺实拍及截面图
1、铝激光钎焊
铝激光钎焊(AluminumLaserBrazing)是以激光为介质,加热熔化钎料并填充铝质母材间隙的一种连接工艺,运用于车顶、后盖外板焊接。结构强度高于普通焊接20%,焊缝表面平滑致密,并且生产效率高,约为一般连接工艺的300%,这一技术是首次应用于国内汽车行业。
激光钎焊实物图
铝合金钎焊一般用于覆盖件,例如顶盖与侧围的连接,后备箱盖的连接,焊缝美观无需打磨,可直接涂装作业。
2、铝电阻点焊
铝电阻点焊技术依靠电极压力下的电阻热量熔化铝材,并使其相互连接,是目前全球较为先进的铝材焊接技术。技术研发至今已经成熟,而随着CT6正式下线投产,这项技术也是全球首次在CT6车型上应用,并且已经成为通用汽车的专利技术。
铝电阻点焊的焊头采用了多环形圆顶电极,是通用的专利技术,这种电极表面有多圈凸出的圆环,在焊接铝板时能够刺破铝合金表面的氧化层,让铝板可靠连接。
但是为了保证电阻点焊的质量,每焊接30-40个焊点就需要对焊头进行自动修磨,确保多环形圆顶电极的造型和表面光洁度。
铝电阻点焊实物图
一般用于焊接较薄的铝合金钣金件,如侧围外覆盖件与内骨架的连接。
3、FDS
自攻螺接(FlowDrillScrew)在工件表面顶压螺钉的同时并使螺钉高速旋转,在双(多)层板料中自攻丝形成螺纹,从而快速实现板料间螺纹螺钉连接的一种“冷”连接工艺。在工艺水准方面,单侧进枪,极大提升了在CT611复合材料复杂工况下实现板材连接的可行性,从而赋予车体设计更大的灵活性。这项技术的优势在于具有十分出色的气密性和水密性,相比传统焊接工艺,同时又具备优良的动态承载性、耐久性及抗疲劳强度。
FDS应用图
FDS通常应用在封闭空间,这时FDS的只需要单侧空间的优势就发挥出来,如图在前地板横梁及侧围与门框的连接都是通过FDS实现。
FDS铆钉工作过程图
自攻螺钉首先放在图中箱子中,然后由机器自动把螺钉摆整齐并输送到螺接工具上,通过透明螺钉运送管,用高压空气把螺钉推送到工具上,运送管内部直径仅比螺钉稍大,避免螺钉在管内调转方向,同时保证足够高的气压,实现快速有效螺钉推送。
4、SPR
自冲铆接(SelfPiercingRivets)使用高强管状铆钉在高压作用下穿透上层板材,同时铆钉末端刺入下层板材后在压力及下模的作用下膨胀形成自锁,从而实现板材间的连接。这项工艺实现不同种类材料(铝、钢、塑料)之间的有效连接,并且连接强度为普通电阻点焊的强度的120%。在倡导绿色制造的如今,自冲铆接又是无烟尘无发热的绿色工艺,能耗低,生产效率极高。
SPR应用图
一般用在较薄的钣金件上,且具有双面空间,满足安装需求,实现钢铝及铝铝连接。
SPR铆钉状态图
自攻铆钉会安装到塑料带上成卷供货,使用时成卷的铆钉会被安装到铆钉工具的一个滚轮架上,通过不断转动为铆接枪供应铆钉,凯迪拉克CT6车身上一共采用5种不同铆钉用于连接车身上不同部位,不同的铆钉卷材采用不同颜色来进行防错。
总结
凯迪拉克采用钢铝混合,并没有像其他车型进行钢铝材料的分块处理,在一个区域有钢有铝,(爱驰上钢下铝,蔚来百分之九十多为铝)通过铝点焊、激光钎焊、FDS、SPR连接,是目前全铝车身比较成功的量产车型。
以上资料来源于网络



