背景介绍
免疫肽组学研究
在肿瘤免疫治疗、个性化疫苗研发等前沿领域,免疫肽组学是解码免疫应答机制的核心技术,主要研究主要组织相容性复合物(MHC,人体内的也称为HLA)分子结合并被抗原呈递的肽段,验证肽段的免疫原性能否引发T细胞应答。这些“免疫信号分子”既是T细胞识别肿瘤或病原体的关键线索,更是肿瘤新生抗原筛选、病毒疫苗研发、自身免疫病机制研究的关键靶点。
尽管免疫肽组学前景广阔,但实际分析过程却困难重重,对质谱技术提出了更高的要求:
MHC结合肽段丰度低。每个细胞仅表达少量的MHC复合物,细胞表面的MHC分子所呈递的肽段通常丰度很低。
肽段混合物样品复杂、干扰严重。免疫肽组学样品通常包含复杂的肽混合物,且丰度差异很大。在高丰度肽段存在的情况下,鉴定和定量低丰度肽段具有较高难度。
肽段序列多样性。不同来源的MHC分子可结合各种长度相似的肽段。与常规“鸟枪法”蛋白质组学不同的是,免疫肽段缺乏酶切特异性规则,质谱检测时会有单电荷形式多肽存在。常规的质谱仪通常完全排除单电荷离子检测,这部分带单电荷的肽段不能进行碎裂鉴定会造成信息丢失,得到的数据缺乏完整性。
因此,传统质谱技术往往存在覆盖率不足、灵敏度不够、单电荷肽段漏检等问题,难以满足免疫肽组学深度分析的需求。布鲁克基于timsTOF质谱仪的Thunder-PASEF技术,正是为破解这些难题专门为免疫肽组学研究而开发。
01
TIMS 和 Thunder-PASEF
驱动的免疫肽组学研究
Thunder-PASEF核心技术特点:
结合多边形框,自主设定前体离子质荷比与CCS范围,定制设计免疫肽“闪电”专属分离区域,精准靶向和高效碎裂,不漏检任何目标肽段:
增强单电荷免疫肽灵敏度。聚焦一价电荷态,扩充免疫肽检测范围,避免单电荷肽段的漏检,同时避免低m/z的单电荷离子(一般为化学背景)杂质的干扰,实现免疫肽分析的深度覆盖。
降低谱图复杂性。排除无关前体离子,进一步降低背景噪音,获得更清晰的谱图,提升鉴定准确性。
借助MOMA实现可靠定量。通过MOMA(Mobility Offset Mass Aligned)技术,利用离子淌度进行对齐,即使高度相似的肽段也能准确定量,确保对细微免疫变化的准确定量。
图2:TIMS 和 Thunder-PASEF 的核心优势
除此以外,免疫肽来源复杂,经非特异性酶切产生,切割位点不确定;并且在病毒感染、肿瘤免疫过程病原体蛋白可能发生基因突变或重组,常规蛋白数据库通常不含有这些序列信息,因此需要de novo测序,直接从头推导肽段的氨基酸序列的数据分析功能。Bruker ProteoScape数据分析软件的BPS Novor功能可实现实时快速精准的de novo从头测序,支持开放式自动搜索识别翻译后修饰和检测氨基酸突变或变异,增强免疫肽组学数据分析,提高免疫肽鉴定覆盖率和准确度。
02
4D-免疫肽组学应用案例
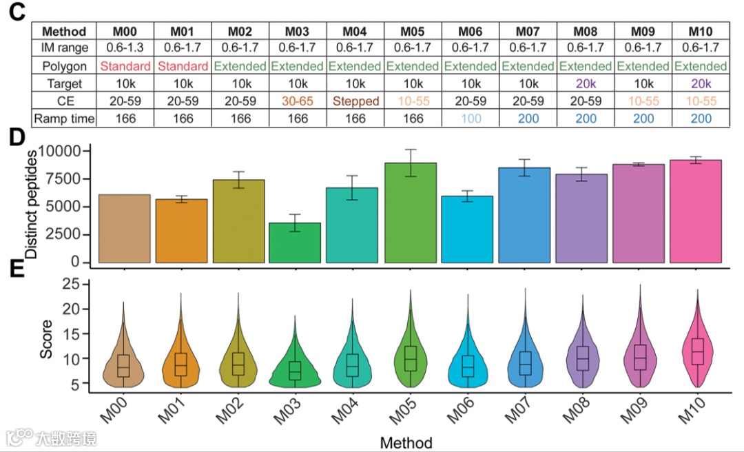
以往大规模临床样本分析和稀有临床抗原检测受到样品量和常需要离线分馏分提高覆盖度的限制,Steven等通过timsTOF SCP质谱平台开发无需离线分级分离,单针即可实现高灵敏度、高通量的HLA-I和HLA-II免疫肽组分析流程。通过参数优化和结合离子淌度技术以及多边形框选择前体离子,HLA-I肽段鉴定可以提高50%。单针采集4e7个细胞可鉴定出多达15,000种不同HLA-I和HLA-II肽段,较传统质谱技术提升超过2倍。同时,低至1e6或15mg癌-睾丸抗原或nuORF免疫肽均可以得到检测,突出了其低样本量免疫肽组的鉴定深度和准确性。
图3:(A)实验分析流程;(B)标准和优化后的多边形框对不同电荷价态免疫肽的覆盖;(C)timsTOF SCP 不同质谱方法的参数列表;(D)专属 HLA-I 免疫肽鉴定结果;(E)HLA-I 免疫肽相应得分分布
2. 广谱疫苗开发
现有SARS-CoV-2疫苗多以刺突蛋白为核心靶点,但刺突蛋白易发生基因突变导致免疫逃逸,极大限制了疫苗的广谱性与持久性。Anthony W. Purcell教授课题组首次全面解析7种SARS-CoV-2蛋白的免疫肽组,发现248种独特的呈递肽段,并且53.2%的新鉴定到的免疫肽未收录在现有的公共免疫肽组数据库中。通过选取高丰度鉴定肽段进行T细胞免疫验证,多种肽段均表现出T细胞反应,证明这些肽段具有功能活性的免疫表位和具备作为疫苗靶点的潜力。
图4:SARS-CoV-2 刺突蛋白产生免疫肽数据分析流程;(A)质粒转染;(B)直接递送;(C、D)免疫 T 细胞对 SARS-CoV-2 刺突蛋白的免疫肽反应活性
3. 血浆中器官特异性的免疫肽组
Matthias Mann课题组结合生物素化抗体与链霉亲和素磁珠开发高效自动化的工作流程IMBAS-MS技术,应用于血浆富集深度分析可溶性人类白细胞抗原(sHLA)免疫肽。相比较传统分析方法,IMBAS-MS在短短30分钟内即可从仅200微升血浆中定量超过5000条HLA-I免疫肽(之前需要3-5mL血浆)。sHLA肽段来源覆盖大脑在内的多种组织,与其他29种健康组织蛋白质对比,sHLA免疫肽组可以较好反应包括脑组织在内的各器官蛋白表达特征,通过进一步探索sHLA生成机制,可拓宽该技术在组织样本分析癌症、自身免疫等疾病的应用。
图5:(A)IMBAS-MS技术分析流程;(B)不同色谱梯度下200微升血浆免疫肽组鉴定结果;(C)抗体与不同体积血浆富集鉴定结果
4. 最新质谱技术助力更深度的免疫肽组学分析
2025年布鲁克推出了timsUltra AIP超高灵敏度质谱平台,搭载全新AIP功能进一步优化了离子传输,显著提高碎片离子信号,获得更高的灵敏度和覆盖深度。相较于上一代timsTOF Ultra 2,免疫肽鉴定数目提升超过40%。低丰度样本的谱图质量更高。使用TIMS的多边形过滤技术,选中特定区域的电荷免疫肽进行检测鉴定,1e6个细胞就可以鉴定超过6100种9-mer免疫肽,实现单电荷免疫肽更高的检出能力。
图6:timsUltra AIP在不同细胞数中9-mer免疫肽的鉴定结果
03
总结
在肿瘤免疫治疗、病毒疫苗研发的赛道上,免疫肽组学是破解“抗原呈递密码”的核心抓手——找到那些能被免疫系统精准识别的HLA结合肽,就等于握住了精准诊疗的“钥匙”。如今,4D-免疫肽组学已广泛应用于肿瘤新生抗原筛选、疫苗靶点发掘等关键领域,成为科研者推进免疫肽组学研究的“得力助手”。布鲁克将持续以技术创新赋能精准医疗,助力更多免疫诊疗新成果的诞生!
即刻下载您的免费白皮书,包含更多timsTOF免疫肽研究中的核心优势和实际案例,以及免疫肽组学前沿专家分享。
参考文献:
1、Purcell, A.W., Ramarathinam, S.H. & Ternette, N. Mass spectrometry–based identification of MHC-bound peptides for immunopeptidomics. Nat Protoc 14, 1687–1707 (2019).
2、Gomez-Zepeda, D., Arnold-Schild, D., Beyrle, J. et al. Thunder-DDA-PASEF enables high-coverage immunopeptidomics and is boosted by MS2Rescore with MS2PIP timsTOF fragmentation prediction model. Nat Commun 15, 2288 (2024).
3、Braun, A., Rowntree, L.C., Huang, Z. et al. Mapping the immunopeptidome of seven SARS-CoV-2 antigens across common HLA haplotypes. Nat Commun 15, 7547 (2024).
4、Sensitive, High-Throughput HLA-I and HLA-II Immunopeptidomics Using Parallel Accumulation-Serial Fragmentation Mass Spectrometry, Phulphagar, Kshiti Meera et al. Molecular & Cellular Proteomics, Volume 22, Issue 6, 100563
5、IMBAS-MS Discovers Organ-Specific HLA Peptide Patterns in Plasma, Wahle, Maria et al. Molecular & Cellular Proteomics, Volume 23, Issue 1, 100689

