莲雾果实外形美观,营养丰富,不仅风味独特,还具有食疗功效,深受消费者喜爱。
但由于莲雾果实组织幼嫩,呼吸代谢旺盛,衰老速度快,极不耐贮运,采收后如不及时处理,莲雾的食用品质将急剧劣变,失去商业价值。
许彬通过对采后莲雾果实比较低温(5℃)和常温(25℃)两种条件对其贮藏效果的影响,对比采后莲雾果实的生理过程及低温贮藏的效果。
贮藏温度对莲雾果实采后生理生化变化的影响
莲雾果实采后生物活动旺盛,果肉衰老速度较快,随着果实的不断成熟衰老,果肉出现絮状绵软并有失水现象伴随发生,严重影响到莲雾果实的外观和贮藏品质。而低温贮藏能够减弱其呼吸代谢等活动,提高莲雾果实的贮藏效果。
通过常温(25℃)和低温(5℃)两种温度对莲雾果实进行贮藏处理,并测定期间莲雾果实硬度、失重率、出汁率等生理指标,研究贮藏温度对莲雾果实的影响。
1、不同温度下莲雾果肉硬度的变化
不同温度条件下的莲雾果实硬度变化如图 1 ,可明显看出,低温下的莲雾果实硬度略小于常温下,但是总体差异不显著。
图 1 不同温度下莲雾果肉硬度的变化(1:常温(25℃) 2:低温 (5℃))
2、不同温度下莲雾果实失重率的变化
在整个贮藏期间,不同温度下莲雾果实失重率的变化如图 2 所示,结果表明低温条件能有效降低果实的失重率,保持果实的品质。
图 2 不同温度下莲雾果实失重率的变化(1:常温(25℃) 2:低温 (5℃))
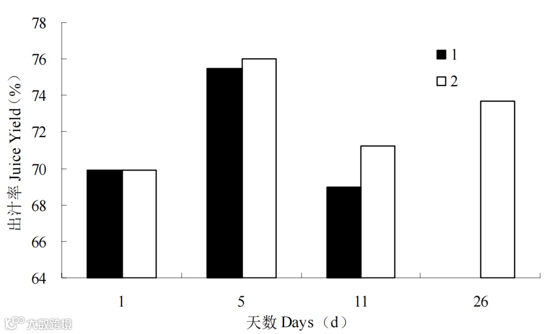
3、不同温度下莲雾果实出汁率的变化
莲雾果实的出汁率变化如图 3 所示,在贮藏过程中,低温下的莲雾果实的出汁率均高于常温下,可见低温能够较好地保持莲雾果实的出汁率。
图 3 不同温度下莲雾果实出汁率的变化(1:常温(25℃) 2:低温 (5℃))
莲雾果实采后有机酸代谢与品质变化的对比
1、不同温度下莲雾果实中总糖和总酸含量的变化
从图 4 可以看出,莲雾在常温和低温两种条件的贮藏过程中,两组总糖含量总体走向均呈先上升后下降趋势。将两组总糖含量变化进行对比可以看出,二者变化趋势较为相似,但是低温组的总糖含量变化明显在时间上比常温组存在滞后,可见低温可有效减缓莲雾果实糖代谢过程。
图 4 不同温度下莲雾果实中总糖含量的变化(1:常温 (25℃) 2:低温 (5℃))
实验结果如图 5 所示,总体上莲雾果实的总酸含量呈现下降趋势,是由于酸作为呼吸作用的主要基质被消耗。
图 5 不同温度下莲雾果实中总酸含量的变化(1:常温 (25℃) 2:低温 (5℃))
2、不同温度下莲雾果实中糖酸比的变化
不同温度下贮藏的莲雾果实的糖酸比变化如图 6 所示,低温组的莲雾果实的糖酸比总体比常温组的高,是由于低温抑制了莲雾果实的呼吸作用,使得糖的消耗较少,可见低温可有效减缓莲雾果实成熟、衰老,达到水果保鲜的目的。
图 6 不同温度下莲雾果实中糖酸比的变化(1:常温 (25℃) 2:低温 (5℃))
从结果可看出,不同莲雾果实中可溶性固形物的含量存在较大的差异,同时,单个果实的不同部位的可溶性固形物含量也存在差异。
通过常温和低温两种贮藏条件下的莲雾果实的性质进行比较,发现低温条件下贮藏能够较好地降低莲雾果实的呼吸作用,从而延缓莲雾果实在贮藏过程中的糖酸代谢,从而达到了较好的保鲜作用。
莲雾果实中果胶含量的测定
1、不同温度下莲雾果实中多聚半乳糖醛酸酶(PG)活性的变化
不同温度条件下莲雾果实PG活性的变化见图 7 。PG的活性变化整体呈波动上升趋势,且在整个贮藏期间不同贮藏温度条件下PG活性差异明显,25℃常温下莲雾果实的多聚半乳糖醛酸酶活性显著高于5℃低温贮藏的莲雾果实。
图 7 不同温度下莲雾果实多聚半乳糖醛酸酶(PG)活性变化(1:常温 (25℃) 2:低温 (5℃))
2、不同温度下莲雾果实中纤维素酶(Cx)活性的变化
不同温度条件下莲雾果实 Cx 活性的变化见图 8 。Cx 活性变化与 PG 活性变化趋势大体一致,总体呈波动变化趋势。常温贮藏纤维素酶活性总体趋势明显高于低温贮藏条件。可见,低温贮藏能有效地抑制纤维素酶活性,有利于莲雾果实的贮藏。
图 8 不同温度下莲雾果实纤维素酶(Cx)活性变化(1:常温 (25℃) 2:低温 (5℃))
3、不同温度下莲雾果实中果胶甲酯酶(PME)活性的变化
不同温度条件下莲雾果实PME活性的变化见图 9 。PME活性均呈现出上升的趋势,常温条件下的PME活性明显高于低温贮藏条件下的PME活性。总体可见低温贮藏可以有效地抑制果胶甲酯酶的活性变化,滞后PME的活性高峰,延缓果实的衰老。
图 9 不同温度下莲雾果实果胶甲酯酶(PME)活性变化(1:常温 (25℃) 2:低温 (5℃))
4、不同温度下莲雾果实中果胶含量的变化
果胶质组分的变化是衡量莲雾果实成熟度的重要指标之一。
果实中的果胶包括了可溶性果胶和原果胶。莲雾果实在不同贮藏温度条件下果胶含量的变化如图10所示。不同温度下的实验结果表明,低温贮藏有利于延缓贮藏前期果实中原果胶转化成可溶性果胶的进程。
图 10 不同温度下莲雾果实可溶性果胶含量变化(1:常温 (25℃) 2:低温 (5℃))
由图 11 可看出,莲雾果实采后的衰老过程是原果胶逐渐降解为可溶性果胶,导致莲雾果实硬度的下降的变化过程。不同温度下的结果表明,低温贮藏有利于延缓贮藏前期果实中原果胶转化成可溶性果胶的进程。
图 11 不同温度下莲雾果实原果胶含量变化(1:常温 (25℃) 2:低温 (5℃))
通过图表可发现,莲雾果实衰老过程中,随着果实硬度的下降,果实中原果胶含量下降,可溶性果胶含量上升,果胶溶解度的显著上升是由于发生了果胶的解聚作用,随着果实组织衰老进程的不断加深,原果胶逐步降解为可溶性果胶,导致果肉细胞结构受损,果实软化。
结 论
以台湾黑珍珠莲雾作为实验材料,通过比较低温(5℃)和常温(25℃)两种条件对莲雾果实贮藏效果的影响所得的结论如下:
(1)莲雾果实在贮藏期间,通过两组不同贮藏温度的对比,发现低温贮藏能够有效减少莲雾果实的失重率,降低细胞膜透性,抑制果实的呼吸作用,降低果实的呼吸强度,且低温条件贮藏可有效降低果实乙烯的释放量,减少乙烯对果实的促进作用,延缓果实的成熟和衰老,对果实的保鲜有积极意义。
(2)对不同贮藏温度下的莲雾果实中细胞壁降解酶包括多聚半乳糖醛酸酶(PG)、纤维素酶(Cx)和果胶甲酯酶(PME)的活性变化进行对比,说明多聚半乳糖醛酸酶在莲雾果实的硬度变化过程中可能并不是起主要的作用,推测莲雾果实硬度下降的主要原因是由于果胶物质的转化,而细胞壁中纤维的降解作用为次要原因。
引 用
许彬. 莲雾果实采后贮藏生理研究[D]. 福建:集美大学,2011.
微信号|GH-PGA
官网|www.ghpga.com

