近年来,大量研究发现,通过γ-PGA交联反应获得的水凝胶具有良好的吸水性和生物相容性,在食品,农业,医药等领域。然而,关于γ-PGA水凝胶在收获水果的储存和保存中的应用的报道很少,水凝胶涂层和1-MCP通常独立应用于冷藏水果,两者结合的研究有限。通过杨淑宁等研究将1-MCP与GPH相结合,阐明了其对杏子采后贮藏质量的影响。
杏子的储存特性
杏子因其理想的口感和风味而受到消费者的赞赏,它富含类黄酮、矿物质、维生素和许多其他营养素。采后杏子会迅速进入呼吸高峰,出现软化和腐烂的现象,这将改变理化品质和营养成分。目前,食用包衣贮藏是国际果蔬保鲜领域的热点之一,人工水果打蜡是最正常的方法之一,而大量的蜡会阻断水果表面的气体交换,不可避免地导致风味损失。因此,找到一种高效、环保的采后涂料策略非常重要。
γ-聚谷氨酸的功能
γ-聚谷氨酸(γ-PGA)是一种由枯草芽孢杆菌发酵产生的高分子聚合物,是一种可生物降解、无毒和可食用的材料。因此,γ-PGA也可以用作水果储存和保鲜的生态材料,由于其生物降解性、生物相容性和可食用性,果胶可以安全地与其他成分交联以创造新的活性食品包装。1-甲基环丙烯(1-MCP)是一种优良的乙烯拮抗剂化合物,可抑制内源性和外源性乙烯的作用,并有效降低乙烯介导的成熟和衰老。然而,单一保存技术的效果是有限的。复合保鲜技术可以显著提高水果的品质,从而进一步延长其贮藏时间。
试验设计
GPH的制备
将果胶溶解在CaCl中2(1%,w/v),加入不同比例的γ-PGA和交联剂,在60°C的恒温水浴中形成凝胶。γ-PGA与果胶的添加比例、pH值和交联剂浓度见表1。
表 1.γ-PGA/果胶水凝胶的制备条件
杏子的贮藏前处理和指标评价
将收获的杏子随机分为4等份,分别作为对照组、GPH组、1-MCP组和GPH/1-MCP组。将对照组(CG)和GPH组分别置于蒸馏水或GPH中充分放置5分钟。将1-MCP组在室温下用1-MCP水溶液在密闭环境中熏蒸16小时,之后保持袋子打开通风。随后,将1-MCP基团置于蒸馏水中5分钟并取出。GPH/1-MCP组用GPH和1-MCP处理。首先,用1-MCP熏蒸GPH/1-MCP组,然后用GPH处理。时间和温度的条件与以前相同。处理后各组在室温下干燥4小时。预冷后,所有杏子在0°C下储存在PE袋中。在此期间,测量了各种杏指数评估。
选择大小均匀的杏子果实,放入密封罐中,静置1小时,并在环境温度下使用Checkmate 3顶空气体分析仪进行测量,每10天使用直径为 3.5 mm的探头的指针式水果硬度计测量杏的果肉硬度。进行了三次平行测试,硬度以kg/cm2表示,使用SL-202K可见分光光度计,通过咔唑比色法和3,5二硝基水杨酸法测定杏中的果胶含量和PG活性。
γ-PGA/果胶比、pH值和交联剂浓度对GPH流变特性的影响
图1反映了水凝胶的弹性和粘性变形能力。三种不同条件的影响下,G′高于G“,变化趋势呈先增后减。因此,水凝胶在所有振荡应变范围内都表现出线性弹性,表明水凝胶更具弹性并且具有相对稳定的结构。
结果表明,过高或过低的pH值都会降解γ-PGA,导致水凝胶交联程度的变化,导致结构相对不稳定,从而影响水凝胶的弹性或粘度。交联剂的浓度会影响水凝胶的机械性能。过多的交联剂可能导致水凝胶水解并产生氨,导致强度下降,而交联剂过少会降低水凝胶内的结合程度,导致结构不良,从而影响其强度。
图 1.γ-PGA与果胶的比值(A和B)、pH值(C和D)和交联剂浓度(E和F)对水凝胶储能模量(G′)和损耗模量(G“)的影响
γ-PGA/果胶比、pH值和交联剂浓度对GPH溶胀率的影响
在图2中,水凝胶溶胀特性的变化显示出相似的趋势,即所有趋势都增加然后减少。
γ-PGA/果胶比例对水凝胶溶胀性能的影响如图2A所示。当γ-PGA/果胶比例为24:3时,水凝胶的溶胀度最高,为93.3,当γ-PGA/果胶的比例为24:6时,水凝胶的溶胀程度降至最低。图2B显示了反应液的pH值对水凝胶溶胀性能的影响。水凝胶的溶胀随着pH值的增加而增加后减少。交联剂浓度对水凝胶溶胀性能的影响如图2C所示。当交联剂浓度为20%时,水凝胶溶胀显著高于其他。水凝胶中氨基和羧基的活化能降低。由于氨基与羧基反应,形成了其他物质。它改变了水凝胶的内部结构,而过多的交联剂浓度限制了水凝胶的溶胀,导致溶胀减少。
图 2.γ-PGA与果胶的比值(A)、pH值(B)和交联剂浓度(C)对水凝胶溶胀性能的影响
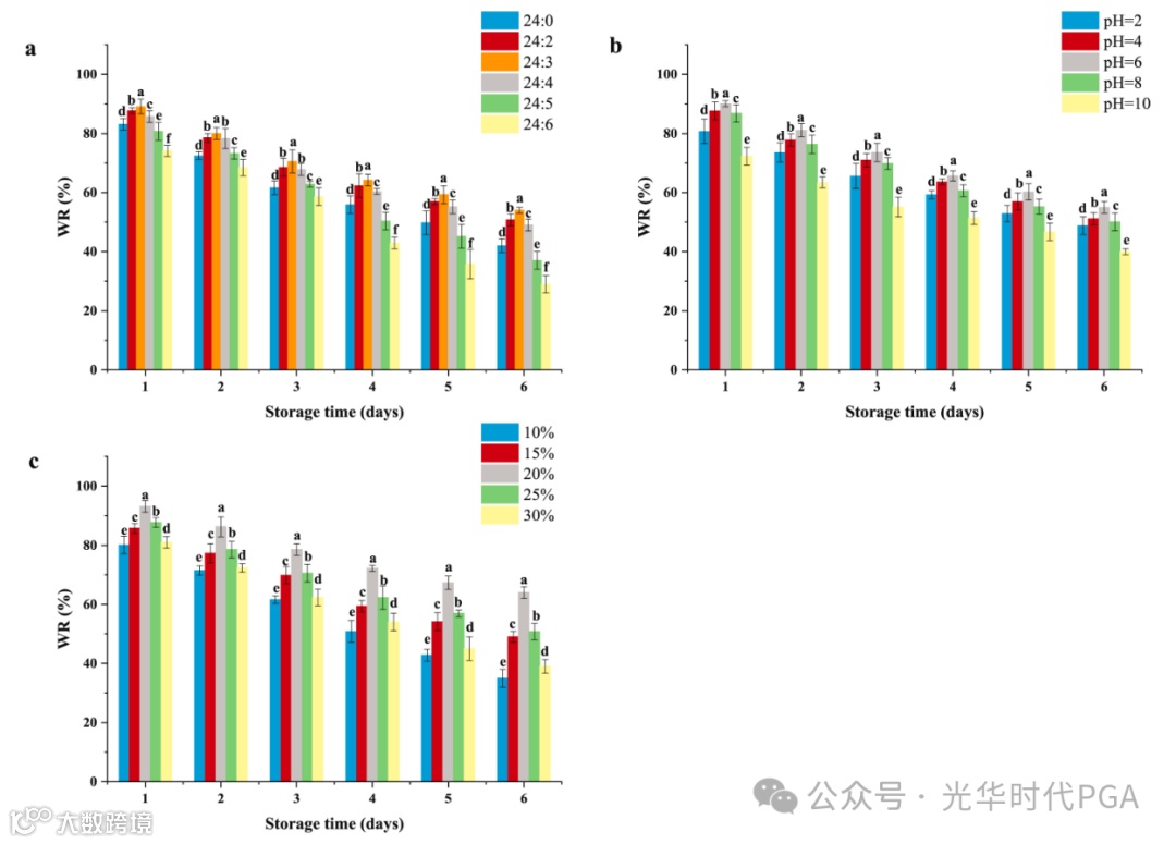
γ-PGA/果胶比、pH值和交联剂浓度对GPH保水性性能的影响
不同γ-PGA/果胶比例的水凝胶WR随时间推移而降低,其比例先升高后降低(图3A)。果胶通过减少水分流失和改善其WR来改变水凝胶的内部结构,通过果胶与γ-PGA发生酯化反应,导致水凝胶内部网络多孔,其WR降低。
图 3.γ-PGA与果胶的比值(A)、pH值(B)、交联剂浓度(C)对水凝胶保水性能的影响
GPH或1-MCP对杏子储存的影响
1. 剥离颜色
感官情况可以直观地反映水凝胶对杏子保存的影响。从图4A可以看出,处理的杏子感官品质明显优于CG,CG在第30天果皮表面出现霉斑。其中,GPH/1-MCP组的感官质量最好。所有杏皮都从绿色变为黄色,a*和b*增加。但在整个贮藏期间,用GPH/1-MCP处理的杏子的a*和b*值低于其他杏子,而且它们的变化也较慢(图4C和D)。它表明 GPH/1-MCP 可以通过延迟成熟过程和保持杏子颜色来帮助减少氧化褐变反应。
图 4.不同处理对杏子贮藏过程中外观的影响
2. 失重率和衰减率
每个样品的失重和衰减率如图5所示。在贮藏期间,所有样品的失重率均上升,这可能与杏子的呼吸和蒸腾作用增加有关。在杏子上涂上GPH时,表面可以形成一层薄膜,防止水分流失,降低失重率,从而减少杏子的失重。同时,1-MCP可以延缓杏子的呼吸和蒸腾作用。因此,用1-MCP处理后涂上GPH涂层可以有效降低失重率。GPH涂层还可以有效防止微生物侵扰和对果实的机械损伤,从而抑制果实腐烂并保持果实品质。
图 5.不同处理对杏贮藏过程中失重率
3. 呼吸强度
杏子的有机营养物质在呼吸过程中被消耗掉。在贮藏过程中,呼吸强度的变化反映了杏子的成熟和老化状态,也是果蔬品质的关键指标。图6显示,杏子的呼吸强度总体上先增后减。
图 6.不同处理对杏贮藏过程中呼吸强度的影响
4. TSS、TA 和 ASA 的内容
TSS指数是衡量杏子营养成分和贮藏质量变化的重要参数。不同处理对杏子TSS含量的影响如图7A所示。在贮藏过程中,TSS含量总体呈先增后减的趋势,后期下降幅度较大。由于γ-PGA/果胶水凝胶涂层和1-MCP的共同作用,GPH/1-MCP组的峰值(20 d)晚于CG组(10 d),1-MCP可以改变果实内部环境中的气体组成并抑制乙烯的产生。抑制呼吸速率和减慢代谢物合成可以保持可溶性固体含量,此外,具有高保水性和机械性能的GPH涂层可以抑制呼吸速率,从而保持果实品质。结果表明,1-MCP组合GPH包被可以延缓果实成熟,显著抑制杏子TSS含量的降低。
图 7.不同处理对杏贮藏过程中总可溶性固形物(TSS)(A)、可滴定酸(TA)(B)和抗坏血酸(ASA)(C)含量的影响
TA对果蔬的风味品质、pH值、保鲜性有一定的影响,是评价果蔬品质的关键指标。如图7B所示,由于杏子在贮藏过程中的代谢,各组TA含量降低。这种趋势可能是由于在水果代谢过程中持续消耗有机酸作为直接氧化底物。与CG不同的是,其他组杏的呼吸速率受到明显抑制,TA含量下降较慢。GPH/1-MCP的TA最高(0.88%)。因此,TA含量的缓慢降低率表明,GPH包衣加1-MCP处理的杏子延缓了营养消耗,延长了保质期,可以更好地提高杏子的保鲜效果。
ASA是衡量水果新鲜度的指标。在图7C中,所有杏子的ASA含量在贮藏过程中逐渐降低,与CG相比,GPH组和1-MCP组在贮藏结束时的ASA含量显著升高。相比之下,GPH/1-MCP组的ASA最高,GPH联合1-MCP处理可有效延缓ASA的下降,证明其能抑制组织与环境之间的气体交换,调节果实内部代谢途径,从而防止ASA氧化,保持杏子体内ASA的高含量。
5. 紧致度、果胶含量和PG活性
硬度是储存水果和蔬菜的主要指标之一。图8A显示了不同处理对杏硬度的影响,该硬度随着贮藏时间的增加而降低。GPH和1-MCP还减少了收获后杏果实的呼吸作用和蒸腾作用。GPH有效防止杏子在损伤部位受到微生物污染和增殖,这也有助于保持硬度。
图 8.不同处理对杏贮藏过程中果胶硬度(A)、原果(B)和水溶性(C)以及PG活性(D)的影响
果胶是细胞的重要组成部分,是反映水果和蔬菜硬度的相关参数。不同处理后杏子原果胶含量和水溶性果胶含量的变化如图8B、C所示。随着成熟过程的进行,原生菌素含量降低,水溶性果胶含量显著增加。果胶是原代细胞壁和中间层的主要成分。随着果实逐渐成熟,原有的果胶转化为水溶性果胶,影响果实的质地和口感。GPH与1-MCP联合使用可以抑制果胶含量的降低,延缓杏果内原生菌素的溶解,有效保持口感和质地。结果证明,GPH涂层与1-MCP处理相结合可以更有效地减少软化。
杏子在贮藏过程中PG活性的变化如图8D所示。各组PG活性变化波动相似,呈先增后减趋势。这可能是由于老化杏在贮藏过程中的代谢能力也逐渐减弱,导致PG活性下降。在储存的第 30 天,所有治疗组均达到最大 PG 活性。1-MCP可以降低PG,β-半乳糖苷酶(β-Gal)和纤维素活性及其基因表达水平,以延缓果实衰老期间的细胞壁。具有高保水性和机械性能的GPH可以增强保存效果。结果表明GPH与1-MCP联合显著抑制了PG活性,使杏子的PG活性在贮藏过程中保持在较低水平。
结 论
1. γ-PGA/果胶水凝胶(GPH)具有天然、保水性和机械强度,适合作为杏子的采后处理。
2. 与普通γ-PGA水凝胶相比,GPH在降低衰变率和减重、减慢呼吸、保持杏色和硬度以及有效缓解TSS、TA和ASA的减少方面表现出更好的性能。
3. γ-PGA/果胶水凝胶联合1-MCP处理发挥了最大的效果,GPH/1-MCP组在0 °C下储存60天时表现出最佳品质。
引用
Shuning Yang, Jinfeng Zhang, Xiaopei Hu, Suhong Li, Tuoping Li,Utilization of γ-polyglutamic acid/pectin hydrogel with 1-MCP on the apricot storage,Journal of Stored Products Research,Volume 106,2024.
微信号|GH-PGA
官网|www.ghpga.com

