γ-PGA是一种生物聚合物,具有生物相容性、可生物降解、无毒等特点,在伤口愈合、生发促进剂、抗衰老血清、抗肿瘤、止苦剂、支架、重金属去除、骨软骨再生、食物增稠剂等方面具有潜在应用,可以成为合成高吸水性剂的有吸引力的替代品。由于糖晶体在制糖工业中被精炼,糖蜜是留下的副产品,可以对其进行增值以生产2,3-丁二醇、低聚糖、左榄糖、葡聚糖等,马赫什· 达恩等研究了糖业副产品(如糖蜜)生产γ-PGA及其在减排中的应用抗旱胁迫,提高作物产量。
实验设计
使用最少量的发酵培养基组分获得γ-PGA的最大产量。为了在进行培养基优化后检查糖蜜对γ-PGA生产的影响,在对照组E中,使用蔗糖作为糖蜜的替代品。下表 1 描述了在柠檬酸、硝酸铵和各种微量元素存在下使用糖蜜生产γ-PGA 的培养基优化。最终优化的培养基由30%的糖蜜和2%的硝酸铵组成。γ-PGA的初步表征通过薄层色谱(TLC)进行。使用配备金刚石晶体探针探测器的布鲁克 Tensor II 分光光度计对 γ-PGA 进行了表征。使用YMC填充的二醇-200色谱柱通过HPLC测定γ-PGA的分子量;纯度γ-PGA由HPLC使用Diol-200色谱柱测定。
“最小养分,最大产量”概念的实验设计
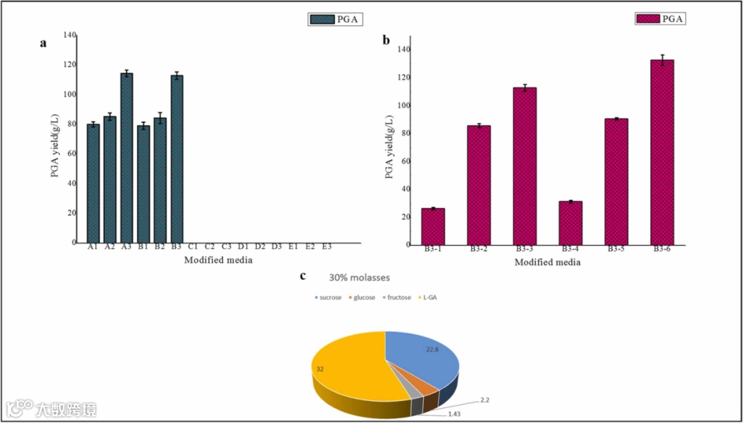
评估了副地衣芽孢杆菌 NCIM 5769 利用营养成分最少的糖蜜进行 γ-PGA 生产的能力(图 1a)。结果表明,确定糖蜜的最佳浓度为30%。探索了改性培养基E(E1、E2、E3)中的γ-PGA生产,以研究糖蜜是否被用作碳源的替代品或用作多营养废物培养基。改良的 E培养基中没有γ-PGA合成表明B. paralicheniformis NCIM 5769 利用糖蜜作为多营养废物,而不仅仅是碳源。对30%糖蜜的HPLC分析进一步证实了这一假设,该分析显示分别存在32%的谷氨酸,22.8%的蔗糖,2.2%的葡萄糖和1.43%的果糖(图1c;这证明B3培养基中的产生可能是由于糖蜜中过量的谷氨酸。因此,最佳培养基由30%糖蜜和硝酸铵组成,符合“最小养分最大产量”的概念。
图 1.a. “最小养分,最大产量”概念的实验设计 b.硝酸铵对L-谷氨酸从糖蜜中独立产生γ-PGA的影响 c.使用HPLC对30%糖蜜进行营养分析
硝酸铵对糖蜜中L-谷氨酸独立产γ-PGA的影响
副苔藓芽孢杆菌进一步评估了 NCIM 5769 在硝酸铵含量增加的改性B培养基中产生 γ-PGA 的能力(图1b)。当硝酸铵浓度为1%时,γ-PGA产量在48小时内从26 g/L(10%糖蜜)增加到112 g/L(30%糖蜜)。然而,在2%硝酸铵下,γ-PGA产量在48小时内从31 g / L(10%糖蜜)提高到132 g / L(30%糖蜜)。因此,最终优化的培养基由30%的糖蜜和2%的硝酸铵组成。γ-PGA发酵液的粘度如图S3所示。目前,这是使用L-谷氨酸独立喂养方法从糖蜜分批发酵中获得的最高量γ-PGA(见表2)。
γ-PGA的表征
在TLC中,水解样品中仅存在L-谷氨酸单体表明从糖蜜中产生γ-PGA(图2a)。根据FTIR分析,合成的γ-PGA在3402 cm处表现出强烈的N-H拉伸, N-H 弯曲处1595厘米, C-H 弯曲处 1403 cm,C=O在1082 cm处拉伸,其与标准γ-PGA的色谱图相似(图2b;图2c)。与标准γ-PGA(RT 6.313 min)相比,合成的γ-PGA的HPLC色谱图在RT 6.400 min处显示出尖锐的峰值。此外,在合成的γ-PGA的色谱图中未观察到额外的峰,表明其纯度与标准γ-PGA相似(图2d;图2e)。合成和标准γ-PGA的分子量均为790千道尔顿(图2f;表S1)。
图 2.由糖蜜生产的γ-PGA的TLC
不同浓度γ-PGA缓解干旱胁迫对小麦植株的影响
对小麦植株进行了本土合成γ-PGA的抗旱活性评价。当检查0.1%、0.5%、1.0%、2.0%和3.0%的γ-PGA浓度对抗干旱胁迫的潜力时,与对照组相比,添加2%γ-PGA溶液可显著提高枝条长度(31 cm)、生物量含量(60 mg)和发芽率(93%)。对照组的发芽率(60%)、生物量含量(33.4 mg)和枝条长度(13.3 cm)均显著降低(图3)。然而,与对照组(16.33 cm)相比,根长(17 cm)没有显着增加。最可能的原因是细胞分裂素和生长素相互拮抗,控制干旱胁迫下的芽根比。结果表明,γ-PGA的施用增加了ABA和其他细胞因子的水平,但对生长素的影响很小,导致枝条长度增加,但根长没有明显增加。
图 3.γ-PGA缓解干旱胁迫对小麦的影响.
利用γ-PGA缓解干旱胁迫的小麦植株
γ-PGA发酵肉汤采用以下γ-PGA:水比(1:10、1:15、1:20、1:25)的水稀释。纳入了三种不同的对照组,包括培养基对照(30%糖蜜和硝酸铵)、培养对照(副地衣芽孢杆菌)和水,以排除培养基成分和培养对干旱胁迫的任何潜在影响。与对照组相比,添加(1:20)γ-PGA溶液的枝条长度(24.8 cm)、生物量含量(77.5 mg)和发芽率(97%)显著增加,这些稀释液测试了各种γ-PGA稀释度的抗旱功效。培养基对照、培养对照和水分的发芽率(3%、73%、70%)、枝条长度(1.3 cm、13.6 cm、10.93 cm)和生物量含量(1.5 mg、27.86 mg、25 mg)均较低。
图 4.γ-PGA发酵肉汤对减轻干旱胁迫对小麦的影响
γ-PGA缓解小麦植株干旱胁迫的田间试验
与温室中的条件相比,种子会经历极热、极冷和更多的水分流失。因此,在30天的现场评估了γ-PGA发酵肉汤(PGA:水比1:20)的效果(图5)。与对照组相比,对照组直到第七天才看到发芽,治疗组在4天内显示出发芽。在第七天,在对照组中只观察到轻微的发芽。处理组和对照组的枝条长度分别为:第4天(2.8 cm,0 cm)、第7天(9.5 cm,2 cm)、第10天(17.63 cm,5 cm)、第15天(27.7 cm,8.3 cm)、第20天(33 cm,10.4 cm)。根长没有明显增加。30天后,处理组的生物量含量(95 mg)、枝条长度(36 cm)和发芽率(80%)明显增加。然而,对照组的发芽率 (15%)、枝条长度 (11 cm) 和生物量含量 (31 mg) 显着降低。叶片枯萎和黄变是对照组干旱胁迫的明显迹象。
图 5.干旱胁迫对小麦植株影响的田间研究
结 论
1. γ-PGA在小麦植株上展现出显著的抗旱活性,包括更快的发芽速度、增加的枝条长度和生物量含量,以及更高的发芽率。
2.副地衣芽孢杆菌NCIM 5769能够在48小时内将糖蜜高效转化为γ-PGA。
3. 通过“最小养分,最大产量”的概念,确定了30%糖蜜和2%硝酸铵的培养基组合,为γ-PGA生产提供了最佳条件。
4.实现了132 g/L的γ-PGA收率和2.75 g/L/h的生产率,这是目前使用L-谷氨酸独立喂养策略从糖蜜中产生γ-PGA的最高产量。
引 用
Pranav G. Nair, Mahesh S. Dharne,Effective valorization of blackstrap molasses to poly gamma glutamic acid (γ-PGA) using L-glutamic acid independent feeding approach and its significance as drought mitigator in wheat plant,Industrial Crops and Products,Volume 202,2023,
——————END——————
版权说明
文案 | 来源Pranav G. Nair, Mahesh S. Dharne,Effective valorization of blackstrap molasses to poly gamma glutamic acid (γ-PGA) using L-glutamic acid independent feeding approach and its significance as drought mitigator in wheat plant,Industrial Crops and Products,Volume 202,2023,
图片 | 来源Pranav G. Nair, Mahesh S. Dharne,Effective valorization of blackstrap molasses to poly gamma glutamic acid (γ-PGA) using L-glutamic acid independent feeding approach and its significance as drought mitigator in wheat plant,Industrial Crops and Products,Volume 202,2023,
其它产品图来源光华时代(海南)生物科技有限公司拍摄或设计(不可作其它商用)
本文所有自主文案、图片等如需转载需事先联系光华时代(海南)生物科技有限公司授权,转载需注明来源!

