气化渣是煤在富氧空气下生产CO与H2过程中形成的固态残渣,可利用气化渣比表面积大、具有良好的吸附性和保水性等特点,将其用于土壤改良或农业生产,或为气化渣资源化利用提供新途径。
花生壳腐烂过程中可有效降低土壤容重,增加土壤总孔隙度,使耕层土壤变得疏松同时形成一定的微生物群落,促使一些无机化合物向有机物的转变,促进土壤有机碳固定和提升土壤肥力。
综上可知,气化渣和花生壳均具有改善土壤质量的特质。冯志道等研究了气化渣与花生壳添加对作物生长的影响,为筛选一种以气化渣与花生壳为添加材料的育苗基质最优配比提供依据。
气化渣、花生壳以及沙土的基本性质
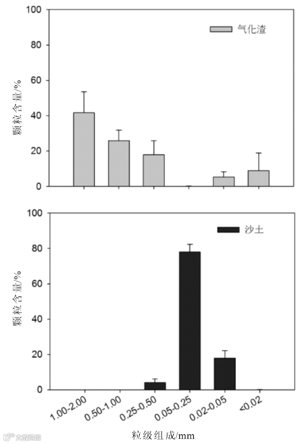
气化渣的碳含量为23.83%。如图1所示,本试验用气化渣主要是由大于0.25mm的颗粒组成,其中1.00~2.00mm的颗粒占比高达42%;对于沙土而言,土壤颗粒主要分布在0.02~0.50mm,其中,0.05~0.25mm的细砂占比高达78%。与沙土相比,花生壳中有机质及氮、磷元素含量均处于较高水平,而花生壳中的全钾含量要明显低于风沙土(表1)
图1 气化渣与沙土的颗粒组成
表1 花生壳及沙土的土壤化学指标
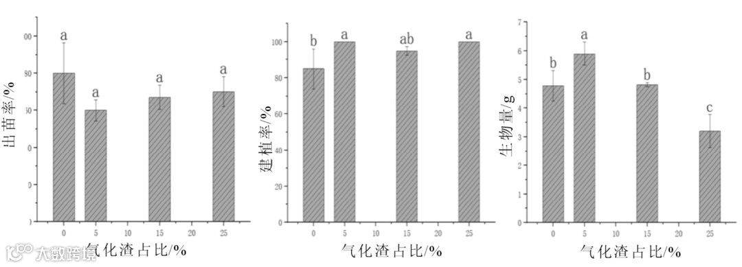
气化渣施入对小白菜出苗率、建植率以及生物量的影响
由图2可知,随着气化渣比例的增加种子出苗率未显著变化;与未施入气化渣的条件下相比,气化渣施入量占比为5%、25%条件下的建植率显著性增加(P<0.05),而气化渣施入量为15%时,建植率未显著提高;在气化渣施入量为5%、0%(未施入气化渣)和15%、25%的条件下,生物量依次显著降低(P<0.05)
图2 气化渣施入对小白菜出苗率、建植率、生物量的影响
花生壳施入对小白菜出苗率、建植率以及生物量的影响
由图3可知,随着花生壳施入比例的增加,出苗率、建植率均未发生显著变化;在花生壳施入量为5%、15%和25%、0%(未施入花生壳)的条件下,生物量依次显著降低(P<0.05)。
图3 花生壳的施入对小白菜出苗率、建植率、生物量的影响
气化渣与花生壳配施对小白菜出苗率、建植率以及生物量的影响
如表2所示,与未施入气化渣和花生壳的条件下相比,施入气化渣与花生壳比例为1∶3、2∶2的条件下,小白菜出苗率均已达到未施入气化渣和花生壳的水平,当施入气化渣:花生壳为3∶1时,出苗率显著降低(P<0.05)。除在气化渣:花生壳为3∶1、气化渣和花生壳混合物∶沙土为15%的条件下以外,建植率均已达到未施入气化渣和花生壳的水平。
当混合物的气化渣与花生壳比例为1∶3、施入量为5%、15%、25%,气化渣与花生壳比例为2∶2、施入量为25%,气化渣与花生壳比例为3∶1、施入量为25%等情况下建植率显著提高,甚至达到100%(P<0.05)。在气化渣与花生壳配施的条件下,生物量均可达到未施入气化渣和花生壳条件下的水平,并且与未施入气化渣和花生壳条件下相比,当气化渣:花生壳为1∶3时,生物量显著提高(P<0.05)。
表2 气化渣与花生壳不同配比施入后小白菜各生长指标
如图4所示,气化渣在气化渣和花生壳混合物中占比低于50%,气化渣和花生壳的混合物在沙土中施入量低于10%的条件下,出苗率较高;
气化渣和花生壳混合物施入量与沙土量的比值在0%~25%时,建植率均处于较高水平;
气化渣在气化渣和花生壳混合物中占比低于40%时,生物量较高;
当气化渣在气化渣和花生壳混合物中占比为33%、气化渣和花生壳混合物的施入量与沙土量的比值为5%时,综合生长指数最高。
图4 气化渣与花生壳配施条件下的小白菜出苗率、建植率、生物量及其综合生长指数
结 论
(1) 在单独添加气化渣或花生壳的情况下,气化渣或花生壳的添加量占比为5%时,小白菜的生长状况最好;
(2) 在混合添加气化渣和花生壳的情况下,气化渣与花生壳的添加总量与沙土量的比值为5%、气化渣占气化渣和花生壳添加总量的33%时,气化渣和花生壳的施入可有效促进小白菜的生长。
引 用
冯志道,闵旭旭,南吉峰,等. 气化渣和花生壳添加对小白菜生长的影响[J]. 陕西农业科学,2023,69(6):59-63.
——————END——————
版权说明
文案 | 来源 冯志道,闵旭旭,南吉峰,等. 气化渣和花生壳添加对小白菜生长的影响[J]. 陕西农业科学,2023,69(6):59-63.
图片 | 来源 冯志道,闵旭旭,南吉峰,等. 气化渣和花生壳添加对小白菜生长的影响[J]. 陕西农业科学,2023,69(6):59-63.
其它产品图来源光华时代(海南)生物科技有限公司拍摄或设计(不可作其它商用)
本文所有自主文案、图片等如需转载需事先联系光华时代(海南)生物科技有限公司授权,转载需注明来源!


