香菇是全球最受欢迎的蘑菇。是中国消费量最大的蘑菇,近年来年产量超过1000万吨。香菇富含多糖、脂肪酸、维生素和膳食纤维等营养物质。但收获后的新鲜香菇容易失水、软化、腐烂和褐色,从而失去食用品质和销售价值,失水、枯萎和褐变仍然是香菇贮藏的主要问题。李陆涛等通过应用γ-PGA水凝胶为香菇包衣保鲜提供了新的材料和方法。
γ-PGA水凝胶是什么?
γ-PGA水凝胶是一种代表性水凝胶,主要通过γ-PGA和交联剂或其他聚合物的一些酯化或缩合过程合成,具有高溶胀、生物降解和生物相容性能力。它是一种环保水凝胶,在食品、农业、环境和医学中具有广泛的应用。(水凝胶是三维聚合物网络,能够在其膨胀状态下保留大量水)
图 1.PGDE交联γ-PGA水凝胶的原理图.
试验设计
1.γ-PGA水凝胶的制备
将不同浓度(6%、7%、8%、9%和10%,w/v)的γ-PGA溶液与5.0%(v/v)PGDE的终配比混合,优化γ-PGA浓度,用于制备γ-PGA水凝胶;或将不同剂量(2.5%、5.0%、7.5%、10.0%和12.5%、v/v)的PGDE与9%(v/v)γ-PGA混合,以优化PGDE制备γ-PGA水凝胶的剂量。将反应混合物在恒温水浴中搅拌一定时间,形成γ-PGA水凝胶。然后用去离子水洗涤水凝胶数次以除去游离γ-PGA和PGDE。将γ-PGA水凝胶置于足够的去离子水中,并保持在4°C。每24小时换一次水。胶体达到饱和膨胀度(重量不再增加)后,用纱布过滤掉剩余的水分。对γ-PGA水凝胶进行加权(W1),然后冷冻干燥,并再次称重(W2)。将γ-PGA水凝胶置入烧杯中,加入足够的去离子水,保持在4°C,每天换水。胶体达到饱和溶胀度后,将水凝胶转移到较大的容器上,保持在25°C,并以24小时间隔称量。
2.香菇储存实验设计
将48 kg非机械损伤且未受病虫害损伤的香菇随机分为4个处理。将每12公斤香菇浸入1L γ-PGA水凝胶溶液或去离子水中。在包衣处理中,由于γ-PGA水凝胶的高粘弹性,制备了0.5%、1.0%和1.5%(w/v)γ-PGA水凝胶溶液,然后将香菇分别浸入溶液中,在25°C下浸泡5分钟。以香菇浸泡去离子水5分钟作为对照。从溶液中回收香菇,置于金属网上,除去香菇表面多余的溶液,然后在环境条件下干燥5小时,然后装在聚乙烯袋中,在4°C下储存在实验冷藏库, 观察其保存效果。每次治疗重复三次。
3.香菇储存中的感官指标评估
感官评价由16位专家进行,感官评价指标列于表1中。
试验结果
1. γ-PGA水凝胶涂层对香菇贮藏过程中感官品质的影响
图2评估了香菇在贮藏过程中感官品质的变化,随着贮藏时间的延长,香菇的感官评分逐渐降低。贮存30天后,对照组几乎失去商品价值,表现为腐烂、褐变和枯萎。用γ-PGA水凝胶进行涂层处理可增强蘑菇的感官质量。特别是,用0.5%和1.0%γ-PGA水凝胶包衣可抑制香菇感官品质的恶化,而用1.0%γ-PGA水凝胶包衣在贮藏期间的所有处理中观察到最高的感官评分。此外,在储存30天后,通过0.5%和1.0%γ-PGA水凝胶的涂层处理也完全抑制了霉变和腐烂(图2B)。
2. γ-PGA水凝胶涂层对香菇贮藏过程中食用品质的影响
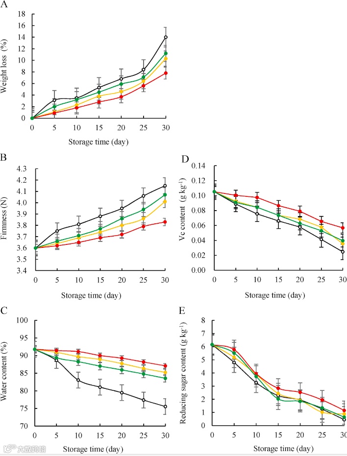
图3A表明,与对照相比,香菇在贮藏过程中涂覆γ-PGA水凝胶抑制了香菇的失重。1.0%γ-PGA水凝胶处理的抑制效果最好,其失重率低于其他实验组。进一步研究发现,在1.0%γ-PGA水凝胶处理下,香菇在贮藏过程中获得了高含水量、高Vc含量和高还原糖含量,这些指标优于其他实验组(图3C-E)。此外,香菇在1.0%γ-PGA水凝胶处理中的硬度低于其他实验组(图3B),表明1.0%γ-PGA水凝胶的包被保持了香菇的新鲜度,抑制了其木质化过程和因水分流失引起的表皮韧性上升, 因此,存储中的硬度较低。
3. γ-PGA水凝胶涂层对香菇贮藏过程中褐变的影响
褐变是影响香菇贮藏质量的主要问题。本研究考察了不同浓度γ-PGA水凝胶对香菇贮藏过程中褐变程度的影响。如图4A所示,随着贮藏时间的延长,对照组香菇褐变程度逐渐升高。与对照组相比,用γ-PGA水凝胶涂层处理抑制了香菇的褐变。1.0%γ-PGA水凝胶的抑制作用最为明显,其中褐变程度在最初20 d内几乎无变化,贮藏30 d后略有增加。为了支持这些结果,与对照组相比,γ-PGA水凝胶处理抑制了与香菇酶促褐变直接相关的PPO活性;其在1.0%γ-PGA水凝胶中的活性也低于0.5%和1.5%γ-PGA水凝胶处理(图4B)。
结论
1. γ-PGA水凝胶的包被处理大大延长了香菇的贮藏期,提高了香菇的食用品质和商业价值,从而大大降低了香菇采后死亡造成的经济损失。
2. 贮藏过程中,使用γ-PGA水凝胶能让含有抗坏血酸和还原糖的失水、褐变、腐烂和营养物质降解均得到抑制。
这些结果表明,γ-PGA水凝胶有望作为一种可食用的涂层,用于保持香菇的质量并延长其保质期。
引用
Lu Tao, Haiyin Long, Jinfeng Zhang,Liyang Qi, Sen Zhang, Tuoping Li, Suhong Li,Preparation and coating application of γ-polyglutamic acid hydrogel to improve storage life and quality of shiitake mushrooms,Food Control,Volume 130,2021.
微信号|GH-PGA
官网|www.ghpga.com

