近年来,随着种植年限增加,以单一连作为主要模式的海南优势种植区逐步出现连作障碍现象,表现为连作园补种幼苗生长缓慢,成龄植株长势弱,感病率增加,经济寿命缩短。而长期连作土壤微生物多样性下降,微生物区系失衡,参与土壤过程的微生物类群和数量减少。抵御病原微生物侵入能力下降,从而造成土壤生产力衰退、植株长势差、病害多发等连作障碍现象。
王灿等研究以海南胡椒种植区不同种植年限胡椒园土壤为研究对象,为明确胡椒连作障碍形成微生态学机制和探索防治措施提供依据。
胡椒连作对土壤
基础理化性质的影响
由表1可知,随着种植年限增加,土壤pH和有机质含量均呈显著下降趋势,其中8~18a(年)和18~28a(年)阶段土壤pH分别下降0.22和0.36个单位,有机质含量分别减少0.37g/kg和2.35g/kg,表明土壤pH和有机质含量随连作时间增加,受影响程度越大,土壤速效磷呈上升趋势,速效钾则下降趋势,而速效氮含量无显著差异,这可能与胡椒施肥过程中施入的氮磷多而钾肥少,引起连作胡椒园土壤养分失衡有关。
表1不同胡椒种植年限土壤基础理化性质
土壤微生物群落
碳源利用能力分析
平均吸光度值(AWCD)是表征土壤微生物群落利用碳源能力强弱,反映碳代谢总体活性的重要指标。不同种植年限处理的AWCD值随着培养时间增加均呈“S”型增加(图1所示),其中24~96h AWCD增加速率最快,96h后不同处理间碳代谢活性逐步达到最大且趋于稳定:不同处理间AWCD最大值存在差异,表现为8a>18a>28a,表明随着连作时间增加,土壤微生物群落碳源利用能力下降,总体碳代谢活性降低。
图1不同胡椒种植年限土壤平均吸光度值随时间的变化
多样性指数分析
结果表明,随着种植年限增加,香农指数、香农均匀度和辛普森指数均呈下降趋势。其中,18a和28a处理的香农指数较8a处理分别下降19.1%和74.9%,香农均匀度指数分别下降26.3%和63.1%;而辛普森指数仅分别下降3.1%和9.3%(见表2)。显著性分析表明,香农数和香农均匀度指数在不同种植年限处理之间达到显著水平(p<0.05),而辛普森指数在不同处理间无显著性差异(见表2)。
表2 不同胡椒种植年限土壤微生物功能多样性和均匀度
土壤微生物对
不同类型碳源利用的差异
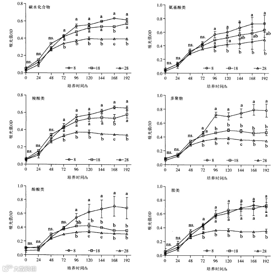
从图2可知,不同种植年限土壤微生物对不同碳源的利用程度差异较大,说明随着连作时间增加,土壤微生物群落结构发生了变化。其中,利用多聚物类和酚酸类碳源的微生物最先受到影响,从8a到18a这一阶段2类微生物有较大程度降低,而此后下降程度不大;而碳水化合物类、氨基酸类、羧酸类和胺类等碳源利用微生物则在18a后受连作影响较大,因而表现为28a明显下降。
图2不同胡椒种植年限土壤对不同种类碳源的利用
土壤微生物群落功能
多样性主成分分析
如图3所示,2个主成分因子累计方差贡献率达到85.71%,说明2个主成分因子可以很好地解释不同种植年限土壤之间的绝大多数差异。其中第1主成分(PC1)的方差贡献率为78.99%,第2主成分(PC2)的方差贡献率为6.72%。在PC1轴上,8a、18a和28a分别分布于轴的正值区、零点区和负值区;在PC2轴上,18a主要分布于正值区,而8a和28a分布在负值区。
从表3可知,对第1主成分(PC1)贡献较大的碳源主要包括D-半乳糖酸内酯等9种碳水化合物类碳源、L-精氨酸等4种氨基酸类碳源和r-羟基丁酸等4种羧酸类碳源;对第2主成分(PC2)贡献较大的碳源则主要包括N-乙酰基-D-葡萄胺等2种胺类碳源。由于PC1方差贡献率为78.99%。
表明引起连作胡椒土壤微生物群落结构变化的主要种群即碳水化合物类、氨基酸类和羧酸类这3类碳源利用微生物。
图3不同胡椒种植年限土壤微生物群落的主成分分析
表3 EC0板上31种碳源在第1、2主成分上的载荷值
结 论
随种植年限增加,胡椒园土壤微生物功能多样性降低,群落结构发生显著变化,同时土壤pH值明显下降,养分逐渐失衡,这些因素共同作用是导致胡椒连作障碍形成的主要原因。
引用
王灿,李志刚,杨建峰,等. 胡椒连作对土壤微生物群落功能多样性与群落结构的影响[J]. 热带作物学报,2017,38(7):1235-1242.
——————END——————
版权说明
文案 | 来源 王灿,李志刚,杨建峰,等. 胡椒连作对土壤微生物群落功能多样性与群落结构的影响[J]. 热带作物学报,2017,38(7):1235-1242.
图片 | 来源 王灿,李志刚,杨建峰,等. 胡椒连作对土壤微生物群落功能多样性与群落结构的影响[J]. 热带作物学报,2017,38(7):1235-1242. 其它产品图来源光华时代(海南)生物科技有限公司拍摄或设计(不可作其它商用)
本文所有自主文案、图片等如需转载需事先联系光华时代(海南)生物科技有限公司授权,转载需注明来源!


