胡椒与经济林木复合栽培是当前海南省胡椒栽培的主要发展模式,其中槟榔间作胡椒的栽培模式,胡椒被适度荫蔽,可以提高光合速率闭、养分吸收率,增加果实产量,降低病虫害的发生率,祖超等研究在前人对胡椒光合作用特性及光合作用变化规律研究的基础上开展间作体系对胡椒光合效应和产量影响的研究。
间作胡椒产量与偏土地当量比
各处理产量与偏土地当量比见表1,从表1可以看出,与单作相比,间作显著提高了胡椒产量,其偏土地当量比(PLER-M)比其所占土地面积比高出134%~189%,这表明在槟榔胡椒间作体系中,促进了光合物质向胡椒籽粒的运输分配,表现出明显的间作产量优势。胡椒园间作低密度槟榔处理(T1和T2)的PLER-M低于间作高密度槟榔处理(T3和T4),但是,T1和T2的胡椒产量显著高于T3和T4,所以,胡椒与槟榔合理间作有利于胡椒产量增加,这一优势可能是胡椒与槟榔间作有利于促进胡椒叶片光合作用进而增加光合产物积累引起的。
表1 各处理产量与偏土地当量比
不同生育时期胡椒产量与光合参数的相关性分析
对产量有主要影响的生育时期为主花期、灌浆期和成熟期本研究分别在这3个时期测定胡椒光合作用,并分析光合参数与产量的相关关系分析,结果显示:
主花期光合参数与产量均呈不显著正相关关系,PARi(光合有效辐射)与、Gs(气孔导度)、和Ci(胞间二氧化碳浓度)不显著相关,与Gs和显著正相关,Gs和、Ci极显著正相关,与Ci极显著正相关。主花期G和其他光合参数(除PARi)都呈显著或极显著正相关关系。
灌浆期光合参数都与产量呈显著或极显著正相关关系,其中Gs与产量相关性最强光合参数中除Ci外其余参数间都有极显著正相关关系此时期PAtU在100~900~mol/(m2.s)范围内波动,对其余光合参数和产量都有正效应,对光合速率的影响最为显著(r=0.933)。灌浆期各光合参数对产量有显著或极显著正效应,说明灌浆期可能是胡椒叶片光合作用影响产量的关键生育期。
成熟期PARi与其他光合参数无显著相关性,在50~1000mol/(m2.s)范围内值越大产量越高,与Gs、显著正相关,Gs与Tr(蒸腾速率)显著正相关,Pn、Gs和都与呈不显著负相关关系,成熟期与产量显著相关的光和参数只有PARi。
表2 主要生育时期不同间作模式胡椒产量与光合参数之间相关性分析
不同生育时期对胡椒产量贡献率的分析
由表2可知,灌浆期光合参数与产量显著或极显著正相关,且Gs对产量的正效应最大(r=0.881)。从偏最小二乘回归结果来看,3个生育期都与因变量呈正相关关系:对3个自变量按标准化方程的回归系数大小排序:灌浆期>主花期>成熟期。由回归方程可看出,对因变量产量影响最大的生育期是灌浆期,主花期次之,灌浆期对产量的贡献率为52%
间作对胡椒灌浆期叶片光合作用的影响
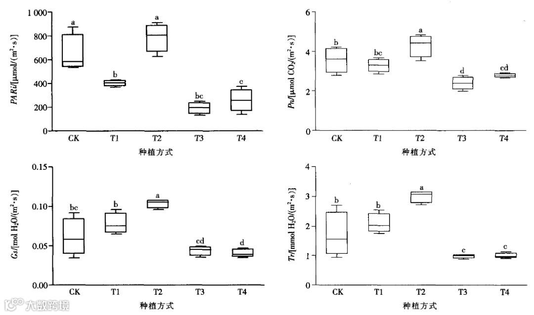
上述研究表明,胡椒灌浆期光合作用对产量贡献最大,分析该时期各处理间PARi的差异,发现T2与对照差异不显著,都显著高于其余处理,r1、2处理的PARi均值为789.64moI/(m2.S)比另外3种间作密度处理提高95.28%-307.64,T2处理间作槟榔密度大于T1处理,但R高于T1处理,
T1处理(1:3)胡椒自身遮荫降低了其RT2处理的相对于对照显著提高了20.73%,比其余处理提高了31.00%-79.58%,说明T2处理使胡椒吸收CO的能力显著高于其他处理。T2处理的Gs为0.10mol H2O/(m2.s)显著高于其余处理,比其他处理提高了25%-150%,Gs多数情况下与蒸腾作用成正比,T2的Gs最大,相应的值也最大为3.00mmolHO/(m2.s),比其他处理提高了43.54%-203.03%胡椒进行光合作用经由气孔吸收CO。
相对于T2处理,T1处理下叶片中的CO,向外扩散速度较低,T1处理下胡椒叶片光合固定CO的量也就相应增加。该时期的研究结果表明合理间作可以提高胡椒灌浆期叶片的(T2)、Gs(T1和T2)和Ci(T1和T2)(图1)。
图1 种植方式对胡椒灌浆期完全展开叶片光合参数的影响
图1 种植方式对胡椒灌浆期完全展开叶片光合参数的影响
间作对胡椒灌浆期叶面积和叶绿素含量的影响
相对于胡椒单作,胡椒园间作槟榔密度不同对胡椒灌浆期叶面积有影响,但不显著,单作胡椒叶面积均值为34.00cm,间作均值为37.20~42.01cm,间作相对于单作提高9.41%~23.56%,其中T4处理叶面积最大,胡椒在间作体系中叶面积增加可能是槟榔遮荫导致的,单作处理的胡椒灌浆期叶片的叶绿素值为38.74,显著低于与槟榔间作的胡椒叶绿素含量。
T1、T2和T3处理间叶绿素值无显著差异,约为42.90,显著低于T4处理的叶绿素值47.36胡椒灌浆期叶面积和叶绿素值都是单作处理最低,间作高密度槟榔处理最高(图2)。
图2 种植方式对胡椒完全展开叶叶面积和叶绿素值的影响
结 论
胡椒园间作槟榔处理有利于胡椒产量增加, T1(槟榔和胡椒密度为1:3)和T2处理(槟榔和胡椒密度为1:2)使单位面积胡椒产量相对于单作提高了87.93%~90.34%,灌浆期是胡椒叶片光合作用影响产量的关键生育期。
引 用
祖超,杨建峰,李志刚,等. 胡椒园间作槟榔对胡椒光合效应和产量的影响[J]. 热带作物学报,2015,36(1):20-25.
——————END——————
版权说明
文案 | 来源 祖超,杨建峰,李志刚,等. 胡椒园间作槟榔对胡椒光合效应和产量的影响[J]. 热带作物学报,2015,36(1):20-25.
图片 | 来源 祖超,杨建峰,李志刚,等. 胡椒园间作槟榔对胡椒光合效应和产量的影响[J]. 热带作物学报,2015,36(1):20-25.
其它产品图来源光华时代(海南)生物科技有限公司拍摄或设计(不可作其它商用)
本文所有自主文案、图片等如需转载需事先联系光华时代(海南)生物科技有限公司授权,转载需注明来源!


