氮素是玉米生长发育最重要的营养元素,也是目前玉米种植中施用量最大的营养元素。大量氮肥投入并不能使氮素被充分吸收以促进植株生长和产量提高,还可能导致氮浸出、土壤酸化等一系列氮污染问题。因此,在玉米生产中亟需探索用于减少氮肥投入的新措施。
费聪于2021-2022年间通过探究不同比例有机肥替代化学氮肥对玉米生长、养分吸收利用、土壤肥力及产量的影响,为旱区雨养玉米生产中有机肥部分替代化学氮肥提供了理论依据。
有机肥部分替代对玉米叶面积指数和光合速率的影响由图1可知,在2021年和2022年的吐丝期,通过比较两个生长季的叶面积指数发现,与N0相比,减氮配施不同比例的有机肥均增加了叶面积指数,且叶面积指数随生育时期推移呈先升高后降低趋势。以上结果表明,有机肥替代可提高旱区雨养玉米的叶面积指数和净光合速率。
注:不同小写字母表示不同处理间在P<0.05水平差异显著;ns表示差异不显著。下同。
图1有机肥替代化学氮对玉米叶面积指数和吐丝期光合速率的影响
有机肥部分替代对干物质积累的影响由图2可知,Beta生长模型较好的拟合了两个生长季各处理的干物质积累日变化。2021年,N3处理在125d时实测的干物质积累量较N0和N1处理显著提高38.6%和23.7%,2022年则较N0和N1处理显著提高27.7%、14.6%。
图2有机肥替代化学氮对玉米干物质积累量和积累速率的影响
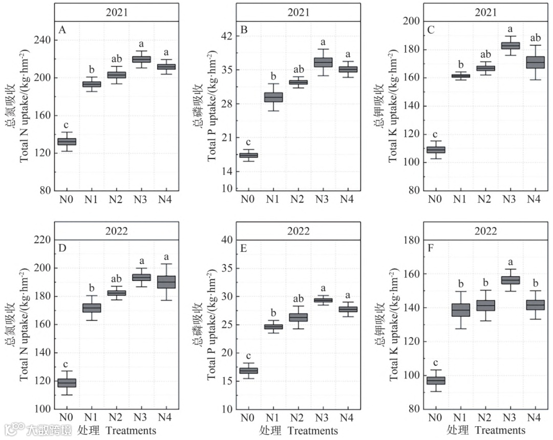
有机肥部分替代对氮磷钾吸收量的影响由图3可知,在两个生长季内,有机肥替代均较不施氮处理(N0)提高了玉米收获期的氮、磷、钾吸收量。
其中,氮、磷、钾吸收量随有机替代比例的增加呈先增加后减少趋势,在N3处理下最高,N0处理下最低。结果表明,部分有机肥替代化学氮肥可提高玉米植株对氮、磷、钾肥的吸收和积累。
图3有机肥替代化学氮对玉米收获期养分吸收的影响
有机肥部分替代对土壤硝态氮、铵态氮、全氮和有机质含量的影响通过测定收获期各处理的土壤理化性质可知(图4),两年内,以N3处理最高,N0处理最低。结果表明,与单施无机氮肥相比,有机肥部分替代不仅提高了上层土壤中的无机氮含量,还增加了整个土层中的有机质和全氮含量。
图4有机肥替代化学氮对土壤理化性质的影响
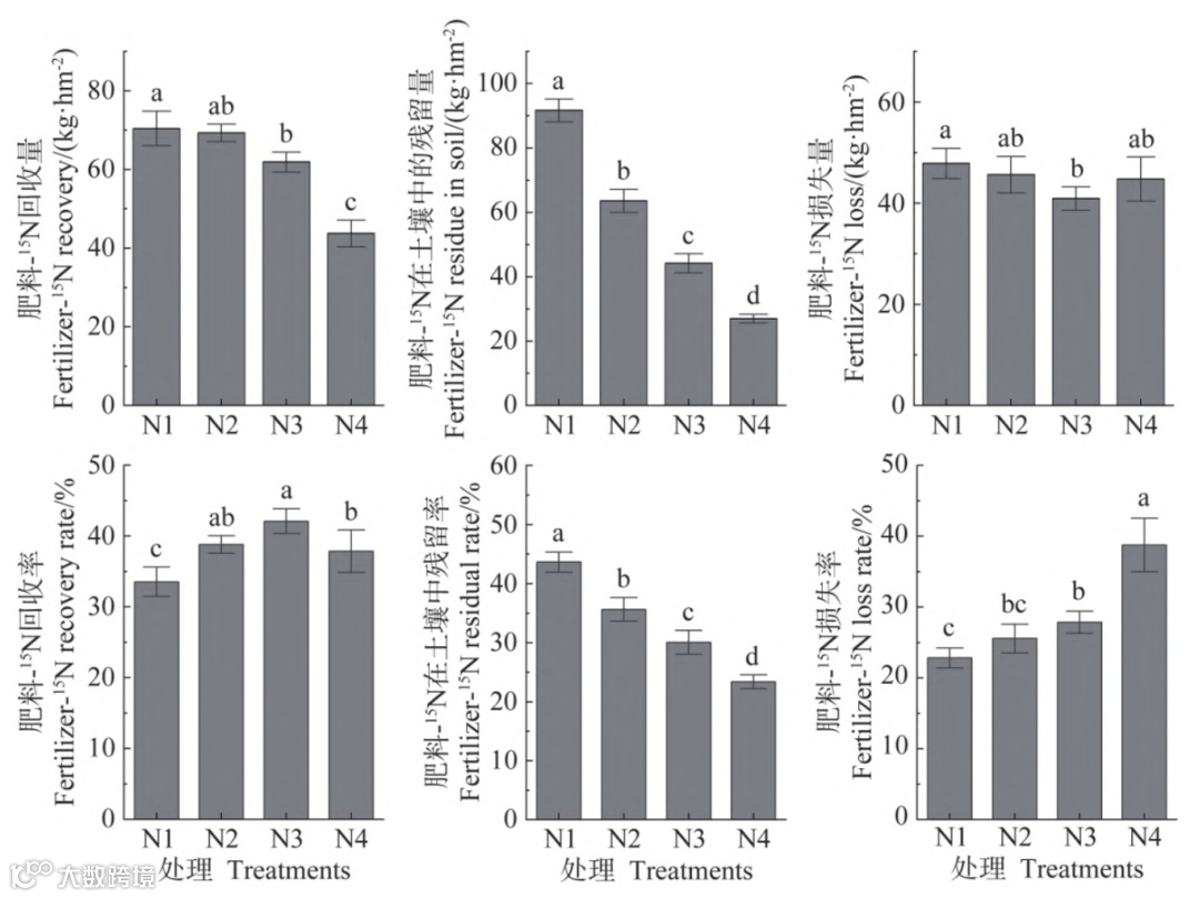
有机肥部分替代对肥料-15N吸收利用的影响由图5可知,不同比例有机肥替代处理较单施化肥处理(N1)降低了肥料氮回收量、肥料氮在土壤中的残留量和残留率,但提高了肥料氮的回收率和损失率。
说明增加有机替代比例可以降低玉米植株对肥料氮的消耗以及肥料氮在土壤中的残留和损失量。同时,在适宜替代比例下,还提高了植株对肥料氮的吸收量并降低肥料氮损失量。
图5 2022年不同有机肥替代化学氮比例下的肥料氮去向
结 论
不同比例有机替代对玉米的光合生产能力、干物质积累、养分吸收、氮素利用效率和产量有积极作用。尤其在30%的有机替代比例下,玉米冠层的光合面积和光合速率以及干物质积累速率得到显著改善,干物质积累量显著提高。
此外,该替代比例还通过提高土壤中的有机质、全氮、硝态氮和铵态氮含量,促进植株对氮、磷、钾的吸收和积累。因此,在晋西南盆地褐土农田区的玉米生产中,可推荐30%的有机替代比例。
引 用
费聪.有机肥替代化肥对旱区雨养玉米养分吸收利用及产量的影响[J].核农学报,2024.
微信号|GH-PGA
官网|www.ghpga.com

