穴盘育苗节能、省工,适于机械化作业,但穴盘育苗单株根系发育空间小,且采用人工混配轻型基质,通气孔隙度大,保水保肥能力弱,因此,基质水肥适量稳定供应对于穴盘壮苗培育至关重要。
γ-聚谷氨酸(γ-PGA)具有水溶性和粘着性,易被生物降解,不含毒性,对环境友好,促进作物的生长发育,起到肥料增效剂作用。褚群等研究了γ-PGA施用后基质物理化学性状及番茄穴盘苗生长发育参数。
对番茄穴盘育苗基质
物理性状的影响
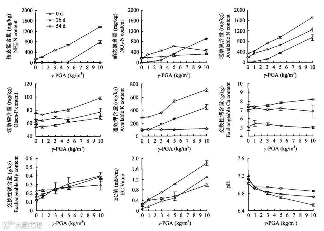
对番茄穴盘育苗基质
化学性状的影响
对番茄穴盘育苗基质
生物学活性的影响
对番茄穴盘苗叶片叶绿素
含量和根系活力的影响
对番茄穴盘苗
生长发育的影响
引用
褚群,董春娟,尚庆茂. γ-聚谷氨酸对番茄穴盘育苗基质矿质养分供应及幼苗生长发育的影响[J]. 植物营养与肥料学报,2016.
——————END——————
版权说明
文案 | 来源褚群,董春娟,尚庆茂. γ-聚谷氨酸对番茄穴盘育苗基质矿质养分供应及幼苗生长发育的影响[J]. 植物营养与肥料学报,2016.
图片 | 来源褚群,董春娟,尚庆茂. γ-聚谷氨酸对番茄穴盘育苗基质矿质养分供应及幼苗生长发育的影响[J]. 植物营养与肥料学报,2016.其他图片来源网络,若侵权可联系删除。其它产品图来源光华时代(海南)生物科技有限公司拍摄或设计(不可作其它商用)
本文所有自主文案、图片等如需转载需事先联系光华时代(海南)生物科技有限公司授权,转载需注明来源!

