γ-聚谷氨酸(γ-PGA)除了具有可食用和可生物降解外,还具有水溶性和无毒性等特性。由于这些特性,多应用于药物输送、疫苗开发、冷冻保护剂、金属吸附、生物肥料、化妆品、食品工业和生物絮凝剂。由于它是一种阴离子大分子,γ-PGA可以在中和絮凝体之间形成桥梁,从而增强水和废水处理中的絮凝过程。安娜·罗莎·安·卡多佐·费尔南德斯等研究评估了使用不同有机溶剂提取和定量γ-PGA,然后作为可持续絮凝剂的应用。
试验设计
使用三种溶剂(丙酮、乙醇和甲醇)从三种纳豆中提取γ-PGA,通过实验测试观察到,肉汤与溶剂的最佳比例为1:4(v/v)。在15 mL试管中,加入3 mL提取的肉汤,然后加入12 mL冷冻溶剂。随着溶剂的加入,观察到γ-PGA存在的净特性的瞬时形成。然后将两个样品静置,一个静置40分钟,另一个静置12小时,均在约5°C的冷藏下。在每个周期结束时,将样品离心(30分钟,3600rpm),弃去上清液。沉淀用3mL超纯水重新溶解,然后用溶剂再次进行萃取阶段,弃去上清液,用超纯水溶解,该过程结束时得到溶液中的γ-PGA。所有实验一式三份。反应由2mL γ-PGA提取液、8mL pH7磷酸盐缓冲液和2mL十六烷基三甲基溴化铵(CTAB)组成,并加入NaCl 溶液。将混合物在200rpm和30°C下在恒温浴中搅拌20分钟。为了确定γ-PGA浓度,在400nm处测量溶液的等分试样,并通过分光光度法构建校准曲线来计算γ-PGA的量。校准曲线由与CTAB络合构建,包括制备200mg/L的储备溶液γ-PGA。从浓度为5、10、15、20、25、30和50 mg/L的储备溶液中制备一系列标准品。
不同纳豆中γ-PGA浓度
每公斤纳豆的γ-PGA产量分别为4.5、3.7和3.97N1、N2和N3,与固态发酵相比,本研究中使用的商业纳豆显示出较低的γ-PGA产量。在生产γ-PGA的研究方法控制了发酵过程中的决定性参数,并添加了矿物盐和氮源等营养物质,这些营养物质负责增加生物聚合物生产中的细菌作用。就纳豆而言,由于它是一种不以生产γ-PGA为目的的食品,因此这些生产参数不受控制,导致生物制品的产量较低。
图 1.枯草芽孢杆菌(纳豆)发酵前后的大豆显示出γ-PGA存在的特征粘度
图 2.γ-PGA的沉淀
在水溶液中,γ-PGA被阴离子生物聚合物与极化水分子正端之间的分子间吸引力溶剂化。将有机溶剂添加到从纳豆中提取的肉汤中的那一刻,立即形成“网”,这是γ-PGA沉淀的特征(图3)。聚合物压缩区和网是通过分子间静电排斥形成的。有机溶剂在加入溶液时具有比水更低的介电常数,因此降低了水的溶剂化能力,导致γ-PGA链的压缩。单体聚集成大分子是由于溶剂的排除,即聚合分子内力占上风。
图 3.使用溶剂在溶液中存在γ-PGA的瞬时净形成特征:(A)丙酮;(B)乙醇;(C)甲醇
在初始网络形成后,生物聚合物链继续发生压缩,导致沉淀的致密质量。温度也是γ-PGA沉淀以及其余制冷时间的决定性参数(图2b)。可以观察到在冷却40分钟和12小时延长时间内进行的提取的差异。采用冷藏隔夜的生物聚合物产率增加了46.27%的甲醇,52.25%的乙醇,14.25%的丙酮作为沉淀剂。在无溶剂存在和低温下,聚合物链占据的体积趋于减小,促进了沉淀过程,这是在本研究中观察到的。与40分钟相比,在使用三种溶剂的三种纳豆中,在12小时休息时提取的γ-PGA量的百分比增加百分比为正,但只有纳豆N除外3,在使用丙酮的提取中显示负百分比值,表明在这种情况下,40分钟的提取优于12小时的提取(图 2c)。
与其他溶剂相比,甲醇在冷藏过夜后对γ-PGA的萃取率更高。然而,与其他溶剂相比,乙醇在这种情况下表现出更高的效率比例增加。与乙醇和丙酮相比,甲醇是一种有毒溶剂,具有很高的操作风险。在冷藏中较长时间的静置能够提高乙醇的效率,乙醇在提取γ-PGA时应被视为一种环保溶剂。在冷藏萃取12h后,使用不同溶剂沉淀γ-PGA的处理的统计学意义时,采用了方差分析。结果表明,乙醇、甲醇和丙酮的方差分析导致三种纳豆的F值高于临界F值。P值表示溶剂组之间的差异是真实差异而不是偶然差异的显著概率,因为在纳豆的三次方差分析中,P值为<0.05,代表了本实验中给出的结果的良好可靠性。
傅里叶变换红外光谱
表1显示了在FTIR中观察到的标准γ-PGA的条带(图4a)和从纳豆N中提取γ-PGA后获得的生物产物与甲醇(图4c)。
图 4.γ-PGA的红外光谱
FTIR光谱中存在的酰胺I条带是γ-PGA的特征,其中氨基酸通过γ-氨基连接,这是pH接近中性的特征。用于光谱分析的干燥和样品制备。因此,纳豆N1的γ-PGA光谱允许鉴定酰胺和羰基和羧基的特征峰的存在,这些基团是聚电解质絮凝过程中的功能性和优先基团。
对于纳豆N1的光谱 (图4b),指示峰在1238.9至729.682cm范围内归因于大豆籽粒中碳水化合物成分的存在,而脂质基团的鉴定范围为1542.76cm,γ-PGA的存在由波段1656.43cm的吸收表示,指酰胺I,拉伸带Cdouble bondO在1745.78cm的长度,拉伸带是指 1159.9cm处的 C-N−1和拉伸带在3438.14cm,指羟基。可以通过红外光谱分析来鉴定肽基团。肽键的分数可以通过分析酰胺I条带(1600-1700 cm),酰胺在中红外区域的吸收允许识别二级结构。
γ-PGA可以以五种不同的构象出现,这取决于发现生物聚合物的环境条件。根据酰胺中二级结构的鉴定,吸收范围为1648-1660cm是α螺旋形状结构构象的特征。在提取过程之前,纳豆N1中存在γ-PGA在1656.43cm的波段中呈现其光谱延伸,因此表明其结构构象是α螺旋形的。这种构象发生在酸性pH值下,适用于离子很少或没有离子的γ-PGA分子。γ-PGA侧基的电离可以通过红外分析进行鉴定。对于γ-PGA,使用甲醇提取方法后,可以识别羧基COO的横向电离特征带通过光谱在波段 1592.54cm,而对于纳豆N1,γ-PGA在提取前不显示羧基电离的特征峰,而是以其氘代形式,在峰1745.78cm处鉴定,侧基的电离负责影响γ-PGA的结构构象,并与培养基和温度的pH值直接相关。
在纳豆N1的FTIR中,酰胺I键的特征峰长度为1656.43cm,在 γ-PGA 中提取N1后使用甲醇,在1633.73cm的波段内鉴定出酰胺I基团,酰胺I的这些吸收值,以及指示羧基侧基的电离值,使我们能够推断γ-PGA的结构构象在提取纳豆N1的过程后发生了变化(表2)。
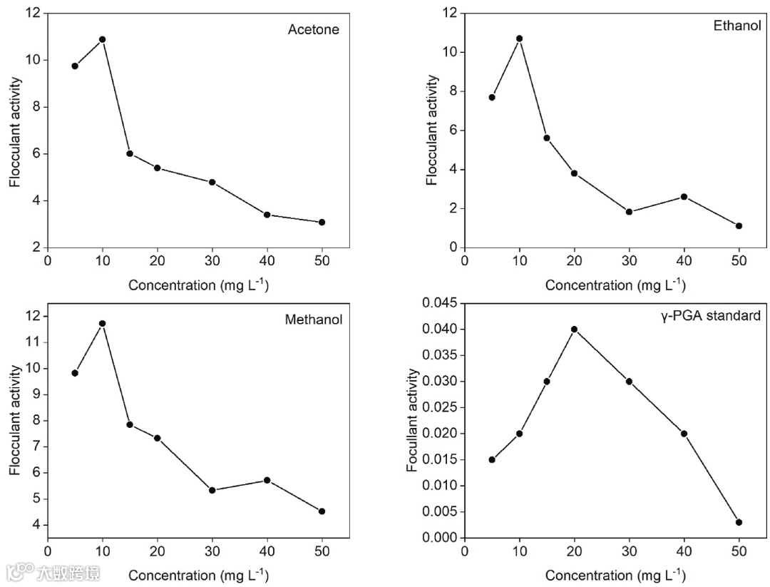
不同浓度γ-PGA的絮凝剂活性
从丙酮、乙醇和甲醇中提取的γ-PGA的絮凝行为相似(图5),但从甲醇中提取的γ-PGA的絮凝活性略好。如图5所示,絮凝剂活性的最佳浓度为10mg/L,显示以下值的减少。这种行为在所使用的三种溶剂上是相似的,其中显示最高效率的浓度为10mg/L对于三种溶剂。该浓度下,甲醇萃取γ-PGA的絮凝率为92.9%,丙酮为92.4%,乙醇为89.52%。
图 5.γ-PGA萃取过程中溶剂的变化所呈现的行为,用于絮凝过程和标准γ-PGA
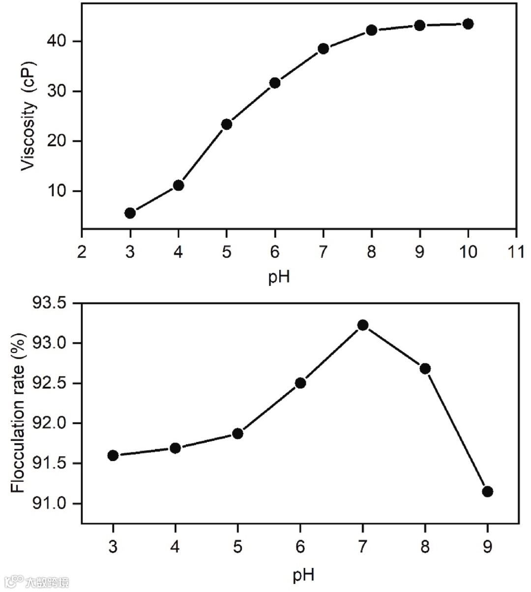
对于不同的pH值范围,γ-PGA以不同的方式呈现其结构构象链。该因素在絮凝体的形成中起决定性作用,因为它会干扰链上的自由电荷,这些自由电荷可用于在胶体之间形成桥梁,从而使絮凝过程成为可能。在酸性pH值小于3时,γ-PGA以酸性形式存在,并且由于强氢键而具有疏水性,因此,在pH值小于3时不进行测试。在25°C的室温下,在含有生物聚合物且具有酸性pH(小于4.5)的溶液中,γ-PGA呈α螺旋构象,通过分子内氢键稳定。在pH大于6.5时,γ-PGA分子仅存在于线性随机链构象中,这使得γ-PGA具有更大的功能来结合其表面的阳离子分子,如图6所示。
图 6.从N中提取的γ-PGA的絮凝速率和粘度1使用甲醇作为沉淀剂
粘度
纳豆N1使用甲醇作为溶剂的粘度值最高(表3)。在测试的三种纳豆中,N1是γ-PGA含量最高的产品,甲醇在提取过程中的效率最高。使用甲醇作为沉淀剂可能影响了溶液的剪切速率。由于粘度与溶液中存在的溶质的分子量有内在的联系,由于分子量越大意味着粘度的阻力越大,因此该分析的结果使我们能够推断出在纳豆N1的情况下,γ-PGA的分子量可能比其他两种研究的纳豆具有更高的值。
在不同pH值范围内γ-PGA萃取的粘度分析中,随着pH值的增加,黏度值越高。在酸性形式下,在低pH值下,由于分子内氢键强,γ-PGA呈联合化的游离酸形式。随着pH值的增加,这些氢键被破坏,分子的羧基被转化为阴离子基团。当达到pH值6或高于此值时,分子的羧基被电离,也就是说,pH值的增加导致在γ-PGA存在下具有更大的溶解度以及粘度,随后这种增加直到达到 pH8,如图5所示。
总 结
用丙酮萃取γ-PGA的效率最低,隔夜甲醇在提取的γ-PGA质量方面显示出最佳结果。与甲醇相比,12 小时的静置导致乙醇效率的百分比增加更高,从而减少了两种溶剂之间的差异。由于其毒性较低,应考虑采用乙醇作为γ-PGA溶剂。
引用
Ana Rosa Aon Cardoso Fernandes, William Gustavo Sganzerla, Nilton Pereira Alves Granado, Valquíria Campos,Implication of organic solvents in the precipitation of γ-polyglutamic acid for application as a sustainable flocculating agent,Biocatalysis and Agricultural Biotechnology,Volume 50,2023.
——————END——————
版权说明
文案 | 来源Ana Rosa Aon Cardoso Fernandes, William Gustavo Sganzerla, Nilton Pereira Alves Granado, Valquíria Campos,Implication of organic solvents in the precipitation of γ-polyglutamic acid for application as a sustainable flocculating agent,Biocatalysis and Agricultural Biotechnology,Volume 50,2023.
图片 | 来源Ana Rosa Aon Cardoso Fernandes, William Gustavo Sganzerla, Nilton Pereira Alves Granado, Valquíria Campos,Implication of organic solvents in the precipitation of γ-polyglutamic acid for application as a sustainable flocculating agent,Biocatalysis and Agricultural Biotechnology,Volume 50,2023.其它产品图来源光华时代(海南)生物科技有限公司拍摄或设计(不可作其它商用)
本文所有自主文案、图片等如需转载需事先联系光华时代(海南)生物科技有限公司授权,转载需注明来源!

