Areca catechu
近年来,随着生产上氮、磷、钾化肥用量的增加和有机肥用量的减少,槟榔叶片缺镁现象在海南槟榔主产区普遍存在,且呈逐年加重的趋势,已成为阻碍槟榔产量和品质提高的重要因素之一。
镁是植物叶绿体的重要组成成分,对维持叶绿体的结构有着举足轻重的作用。同时,镁还是植物体内多种酶的活化剂,在植物进行光合作用、呼吸作用、糖酵解、三羧酸循环等过程中发挥着关键作用。
李佳等以槟榔幼苗为材料,研究不同供镁水平对槟榔叶绿素荧光特性、叶绿体超微结构、非结构性碳水化合物含量以及相关酶活性的影响,以期探明缺镁加重槟榔叶片光抑制现象的生理机制,为槟榔的平衡施肥技术和高产优质栽培提供理论依据。
实验设计
试验用营养液为完全营养液配方的1/2浓度。试验设3个镁水平,即
①缺镁 (–Mg,0 mmol/L)
②正常供镁(CK,0.75 mmol/L)
③高镁 (+Mg,2.25 mmol/L)
每个水平处理20盆。
槟榔幼苗叶片镁含量的影响
从表1看出,槟榔幼苗地上部、地下部镁含量在不同供镁水平下具有差异显著,其地下部镁含量高于地上部,随着供镁浓度的提高,植株镁含量呈上升的趋势。
与对照相比,缺镁处理组槟榔地上部、地下部分别降低了32.4%、38.7%,而高镁组槟榔地上部、地下部分别提高了34.2%、18.7%。
表1不同供镁水平槟榔幼苗各部位镁含量(mg/kg)
注(Note):表中数据为平均值 ± 标准误差,同列数据后不同小写字母表示不同处理间在 0.05 水平差异显著。下同。
槟榔幼苗叶片相对叶绿素
及非结构性糖含量的影响
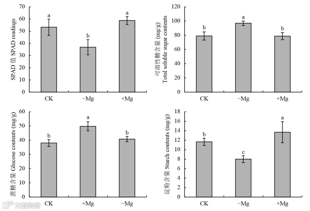
由图1可知,随着供镁浓度的升高,槟榔叶片相对叶绿素含量呈增加趋势。
与对照相比,缺镁处理组SPAD值显著降低了30.8%,而高镁处理组SPAD值与对照组差异不显著。非结构性碳水化合物在植物代谢中占据着重要的地位,它们是光合作用的主要产物,其组分的含量反映了植物碳水化合物的供应情况。
图1 不同供镁水平下槟榔幼苗叶片相对叶绿素与糖类物质含量
由图1可看出,在缺镁条件下,槟榔叶片的可溶性糖、蔗糖含量均显著升高,分别较对照组提高了22.7%、30.9%;而淀粉含量较对照组降低了31.3%;在高镁条件下,淀粉含量显著高于对照组,较对照组提高了17.5%,但可溶性糖和蔗糖含量与对照差异不显著。
槟榔幼苗叶片蔗糖合成酶(SS)
和蔗糖磷酸合成酶(SPS)的影响
SS和SPS是蔗糖代谢过程中两种关键酶,SPS是控制叶片中蔗糖合成的关键酶,其活性的高低直接影响可溶性糖含量及对库端的供应能力。
SS分解蔗糖生成腺苷二磷酸葡萄糖和果糖,用来合成淀粉等碳水化合物。由图2可看出,缺镁组槟榔叶片SS活性较对照组降低了39.1%,而高镁组较对照升高了16.9%,但三个处理组SPS活性差异不显著。
图2 不同供镁水平下槟榔幼苗叶片蔗糖合成酶和蔗糖磷酸合成酶活性
槟榔幼苗叶片
叶绿素荧光参数的影响
由表2可知,缺镁处理导致槟榔叶片光系统Ⅱ(PSⅡ)的最大光化学效率Fv/Fm、实际光化学效率Y(Ⅱ)和光化学淬灭系数qP显著降低,分别较对照降低了20.3%、43.9%和13.5%,而非光化学淬灭系数NPQ与对照差异不显著。
表2 不同供镁水平下槟榔幼苗叶片叶绿素荧光参数
高镁处理组槟榔叶片qP较对照升高了6.7%,但Fv/Fm、Y(Ⅱ)和NPQ与对照差异不显著。
以上结果说明缺镁胁迫对槟榔幼苗光合作用的影响显著,且大于镁过量胁迫,缺镁处理槟榔幼苗叶片易发生光抑制,从而产生光伤害。
干旱胁迫及复水处理对槟榔幼苗
丙二醛和脯氨酸含量的影响
由图3可知,不同供镁水平处理对槟榔叶绿体超微结构具有明显的影响。正常镁对照处理组槟榔叶片叶绿体发育良好,结构完整,呈规则的梭形,紧贴着细胞壁,基粒、基质片层清晰,基粒类囊体垛叠多且排列致密整齐,叶绿体内富含大的淀粉颗粒(图3-A、B);
在缺镁条件下,叶绿体膜解体,基粒片层大部分消失,类囊体片层结构断裂,噬锇颗粒数目增多,且大部分叶绿体中不含有淀粉颗粒 (图3-C、D);
图3 不同镁水平处理对槟榔叶片叶绿体超微结构的影响
在高镁条件下,叶绿体形状发生变形,形状不规则,有的呈圆球形,基粒片层部分消失,噬锇颗粒和淀粉粒较对照增多,散乱地分布在胞质中 (图3-E、F)。
以上结果说明,适宜的Mg2+浓度对维持叶绿体结构具有重要的作用,Mg2+过少时叶绿体结构会遭到破坏,淀粉颗粒明显减少,说明其光合作用受到了严重的影响;Mg2+过多时叶绿体结构虽然会发生变化,但淀粉颗粒明显增多,说明仍可以进行正常的光合作用。
引用
李佳,曹先梅,刘立云,等. 镁对槟榔幼苗光合特性和叶绿体超微结构的影响[J]. 植物营养与肥料学报,2019.
——————END——————
版权说明
文案 | 来源李佳,曹先梅,刘立云,等. 镁对槟榔幼苗光合特性和叶绿体超微结构的影响[J]. 植物营养与肥料学报,2019.
图片 | 来源李佳,曹先梅,刘立云,等. 镁对槟榔幼苗光合特性和叶绿体超微结构的影响[J]. 植物营养与肥料学报,2019.其他图片来源网络,若侵权可联系删除。其它产品图来源光华时代(海南)生物科技有限公司拍摄或设计(不可作其它商用)
本文所有自主文案、图片等如需转载需事先联系光华时代(海南)生物科技有限公司授权,转载需注明来源!

