土壤盐碱化严重影响了我国耕地质量,中国有38.4万公顷盐渍耕地,占耕地总面积的11.30%。次生盐碱化是主要由农业活动引起的土壤盐碱化过程,例如盲目施肥、不合理的灌溉和不当的种植模式,导致土壤养分失衡、土地退化、植物生长障碍以及产量和质量下降。植物修复是一种很有前途的盐碱地回收技术,因为它成本低、环境友好、适应性强、经济价值高。盐生植物的利用被认为是植物修复的可持续替代方案,可以缓解植物收获后的土地退化和改良盐碱土壤。唐东等以受离子污染的沙壤土为研究对象,进行了盆栽实验,通过两种盐生植物与γ-PGA应用程序集成。
PGA是什么?
γ-聚谷氨酸(γ-PGA)是一种可生物降解、无毒和多功能的生物聚合物,可以促进土壤团聚体的形成,以保持土壤肥力和调节微生物群落结构,提高植物抗氧化能力,缓解盐胁迫,促进植物生长。γ-PGA还可以稳定土壤中的Cd和Pb,以削弱其生物利用度,从而减少它们在作物中的吸收和积累。
实验设计
使用景天三七和田菁幼苗进行盆栽实验,100 mL不同浓度的γ-PGA 溶液加入1.5kg的供试土中并充分混合,然后分别填充在塑料盆中。在对照处理中,使用100 mL去离子水代替γ-PGA溶液。将生长相似的盐生幼苗移植到花盆中进行栽培。研究期间没有施用肥料。自然采光下相对湿度为62%–68%,温室温度为25±3°C。56天采集植物样品,立即测量鲜重和株高。人工分离植物叶片,在冰浴中完全匀浆,测定脯氨酸、可溶性蛋白、丙二醛和超氧化物歧化酶等生理参数。
Ca2+和Mg2+在盐渍土壤中与γ-PGA的结合
γ-PGA浓度、pH值和温度对盐渍土壤中Ca2+和Mg2+结合的影响进行了研究,结果如图1所示,可以看出,Ca2+和Mg2+的结合效率随着γ-PGA浓度的增加而增加,当γ-PGA浓度增加到1000 mg/L时趋于恒定(图1a),可用1000mg/Lγ-PGA溶液(pH7)在25°C下结合土壤中Ca2+和Mg2+。
图1 γ-PGA浓度(a)、pH (b)和温度(c)对盐渍土壤中Ca2+和Mg2+结合的影响
Ca2+和Mg2+与γ-PGA结合的动力学特征
图2a为加入γ-PGA后,盐渍土壤中水溶性Ca2+和Mg2+的浓度变化。可以看出,Mg2+浓度随时间呈下降趋势,15分钟后趋于恒定。水溶性Ca2+和Mg2+与γ-PGA的结合效率分别为51.59%和68.03%。γ-PGA具有多羧基结构,可以结合Ca2+和Mg2+,与单个和多个羧基形成配合物(图3a和b)。此外,γ-PGA也有氨基,Ca2+和Mg2+可与γ-PGA形成分子内和分子间的环状配合物(图3c和d)。
图 2 添加γ-PGA(a).后土壤中水溶性Ca2+和Mg2+的浓度变化拟一阶动力学模型(b)和二阶动力学模型(c)(γ-PGA浓度:1000mgL−1,pH:7,T:25◦C)的拟合曲线。
图 3.Ca2+和Mg2+与γ-PGA络合形成的可能产物
盐生植物和γ-PGA对盐碱地的综合修复
根据Ca2+和Mg2+与γ-PGA的结合能力,研究盐生植物对γ-PGA对盐土的修复性能,结果如图4所示。对于对照处理土壤中Ca2+和Mg2+的含量随着培养时间的增加而降低。培养56天后,景天三七对Ca2+和Mg2+的去除效率分别为64.10%和51.90%(图4a和c),施用γ-PGA后,土壤中NO3-含量呈先略有下降,然后迅速上升,最后迅速下降的变化趋势(图4e和f)。NO3-在L1、L2、L3和L4中56天的去除效率分别为82.09%、88.46%、84.26%和77.13%。与LCK相比,γ-PGA的应用可以有效地去除土壤中的NO3-。
图 4.γ-PGA的应用对盐生植物修复过程中土壤Ca2+、Mg2+和NO3-含量的影响
综合修复中盐生植物的生长
综合修复中两种盐生植物的鲜重和株高如图5所示。与LCK相比,景天三七在L1、L2、L3和L4的鲜重分别增加了74.36%、48.33%、147.4%和29.92%,而株高分别增加了34.65%、79.72%、169.46%和129.67%(图5a)。特别是,这两个指数在 L3 中都达到最大值。与PCK相比,所有γ-PGA处理的田菁株高均有所增加,但鲜重仅在P1中增加,在P2、P3和P4中未观察到显著差异(图5b)。P1处理鲜重和株高分别增加56.08%和53.61%。
两种盐生植物生长参数的差异可能与植物种类及其对γ-PGA的适应性有关。γ-PGA可以显著提高植物根系的养分吸收能力,促进植物生长,从而增加植物生物量。在这项研究中,γ-PGA可以结合Ca2+和Mg2+降低盐生植物在土壤中的含量,从而减轻盐生植物在生长期的盐分胁迫。盐生植物进入快速生长阶段后,能有效吸收释放的Ca2+和Mg2+在γ-PGA降解期间。
图 5 γ-PGA对景天三七(a)和田菁生长的影响(b)(不同字母表示在5%置信水平下,处理之间存在显著差异)
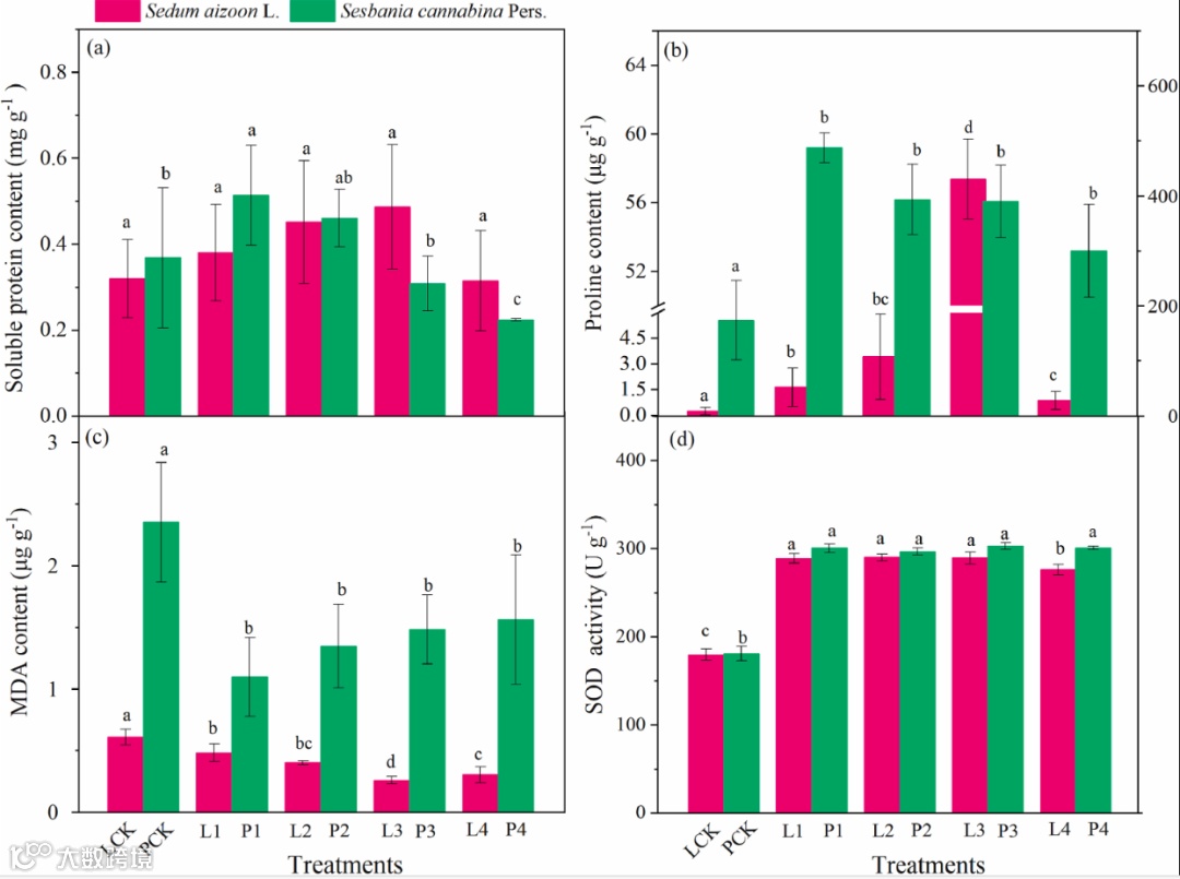
综合修复中盐生植物的生理参数
施用γ-PGA对植物生理参数的影响如图6所示。与LCK相比,景天三七的可溶性蛋白质含量随着γ-PGA的施用而增加,L4除外(图6a)。与PCK相比,田菁中的可溶性蛋白质含量在P1和P2中增加,但在P3和P4中减少(图6a)。随着γ-PGA的施用,MDA含量显著降低,景天三七和田菁的最小值分别出现在L3和P1中(图6c)。施用γ-PGA可明显增强两种盐生植物的SOD活性,但不同处理之间无显著差异(图6d)。两种盐生植物生理参数的差异可能与植物种类和γ-PGA施用量有关。
盐胁迫会增加活性氧(ROS)的产生并破坏细胞膜的完整性,导致渗透失衡和膜脂质过氧化,本研究施用1000和200 mg/Lγ-PGA可减轻盐胁迫对两种盐生植物的损害。
图 6.施用γ-PGA对植物生理参数的影响
结 论
1. 与景天三七相比,施用γ-PGA后对土壤具有较好的修复性能。
2. 施用1000mg/L的γ-PGA56天后,Ca2+、Mg2+和NO3-的移除效率(通过与γ-PGA的结合)分别达到93.25%、94.78%和84.26%。
3. 应用γ-PGA可以缓解盐胁迫,促进植物生长,提高抗氧化性能。
引 用
Yue Mu, Dong Tang, Liang Mao, Dan Zhang, Pei Zhou, Yuee Zhi, Jinzhong Zhang,Phytoremediation of secondary saline soil by halophytes with the enhancement of γ-polyglutamic acid,Chemosphere,Volume 285,2021.
——————END——————
版权说明
文案 | 来源Yue Mu, Dong Tang, Liang Mao, Dan Zhang, Pei Zhou, Yuee Zhi, Jinzhong Zhang,Phytoremediation of secondary saline soil by halophytes with the enhancement of γ-polyglutamic acid,Chemosphere,Volume 285,2021.
图片 | 来源Yue Mu, Dong Tang, Liang Mao, Dan Zhang, Pei Zhou, Yuee Zhi, Jinzhong Zhang,Phytoremediation of secondary saline soil by halophytes with the enhancement of γ-polyglutamic acid,Chemosphere,Volume 285,2021.
其它产品图来源光华时代(海南)生物科技有限公司拍摄或设计(不可作其它商用)
本文所有自主文案、图片等如需转载需事先联系光华时代(海南)生物科技有限公司授权,转载需注明来源!

