在亚洲,大约90%的大豆蛋白以豆腐的形式食用。豆腐通常被认为是一种盐或酸凝固的大豆蛋白凝胶,甘氨酸和β-协甘氨酸是大豆中的两种主要蛋白质,热诱导的变性导致大豆蛋白的疏水区域暴露。这些变性的大豆蛋白带负电荷,添加混凝剂可中和变性大豆蛋白的净电荷。因此,疏水相互作用诱导变性大豆蛋白的随机聚集,导致豆腐的凝胶形成,李璋媛等在此研究中探讨了γ-PGA添加对豆腐组织结构和流变特性的影响。
PGA特性
γ-聚谷氨酸(PGA)不仅具有优异的吸水性能,而且具有良好的金属离子配位能力,这些特性使其具有广泛的工业应用,包括营养补充剂、食品添加剂和防冻剂的使用。
实验设计
采用可控应力动态流变仪研究了样品的动态粘弹性特性。将豆腐切成直径40毫米、厚度2毫米的圆柱体。使用间隙为40毫米的平行板几何形状。在4°C下对样品进行频率扫描。所有流变测量均一式三份进行。
将豆腐切成直径15毫米、厚度5毫米的薄片。一组六块切片样品称重,并放在塑料盒内的不锈钢网上。网状物由小棍子提起。盒子用封口膜密封,以防止游离水蒸发。将样品在4°C下储存在盒子中24小时。对储存期24小时内渗出的总液体进行加权。然后将协同作用表示为渗出的液体重量占切片豆腐样品重量的百分比。采用扫描电子显微镜对豆腐的微观结构进行检测。
凝胶化
图1显示豆浆的初始pH值在6.0至6.5之间,加热30分钟后,豆浆pH值变化不大。然而,含有GDL的对照豆浆的pH值在加热过程中逐渐降低。不同分子量的含GDL和0.2%γ-PGA的豆浆pH值变化相似。豆浆的最终pH值在4.5至5.0之间。结果表明,γ-PGA的添加对含GDL的豆浆加热过程中的pH变化没有影响。
图 1.在80°C下加热30分钟时,含有0.3%GDL和0.2%γ-PGA的豆浆的pH值
图2显示了在25°C至80°C以5°C/分钟的非等温加热,然后在80°C下等温加热30分钟期间,0.3%GDL的豆浆的粘弹性行为图2A显示了豆浆的凝胶化曲线随温度的变化。在本研究中,豆浆在加入GDL之前在95°C下加热5分钟。因此,豆浆中大豆蛋白的变性是在加热过程中完成的。在非等温加热下加入GDL导致GDL逐渐裂解成葡萄糖酸,并在溶液中产生质子,导致pH值小幅下降(图1)。
图 2.在1 Pa的应力幅度下,0.3% GDL豆腐的热诱导凝胶化曲线随温度(A)和时间(B)的函数储存模量G′;损耗模量G“
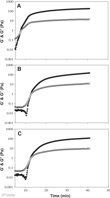
图3显示了高分子量γ-PGA添加对豆腐凝胶化的影响,γ-PGA的添加显著提高了豆腐的加热温度和达到凝胶点(G′高于G“的点)所需的时间。当高分子量γ-PGA的浓度从0.10%增加到0.20%时,豆腐的凝胶时间显著增加。
图 3.在0.10%(A)、0.15%(B)、0.20%(C)浓度下,0.3%GDL和高分子量γ-PGA豆腐的热诱导凝胶化曲线随时间在1 Pa的应力振幅下储存模量G′;损耗模量G“
表1显示了用GDL和γ-PGA制备的豆腐的粘弹性,以及用GDL一次性制备的对照豆腐在热诱导凝胶化过程中的粘弹性特性。G∗凝胶的豆腐中,T凝胶随着添加γ-PGA的分子量的增加而减少。增加添加γ-PGA的浓度,增加两个G∗凝胶和T凝胶豆腐。
流变特性
凝胶化后,将豆腐进一步移至4 °C贮藏1天,并评价豆腐的流变性能、脱水收缩和微观结构。图4显示了使用GDL的控制豆腐的典型频率扫描图。随着频率的增加,G′和G“均略有增加。G′高于G“,表明豆腐已形成连续的网络结构。图5显示了高分子量γ-PGA豆腐的G′和G“随频率的变化。γ-PGA豆腐的G′和G“也随频率的增加而略有增加。
图 4.在1 Pa应力振幅下,GDL为0.3% GDL的豆腐流变参数随频率的变化参数储存模量G′;损耗模量G“
图 5.在1 Pa应力振幅下,0.3%GDL和高分子量γ-PGA的豆腐在0.10%、0.15%和0.20%浓度下随频率变化的豆腐的储存模量(G′)和损失模量(G“)
表2总结了含有GDL和不同分子量和浓度的γ-PGA的豆腐在1 Hz频率下的G′、G“和tanδ值。豆腐的G′和G“随着添加γ-PGA分子量的降低而显著降低。高分子量γ-PGA浓度的增加显著降低了豆腐的G′和G“。不同浓度含中分子量γ-PGA的豆腐G′变化趋势相似。结果表明,尽管不同分子量和浓度的含GDL和γ-PGA的豆腐的模量值存在差异,但流变系统是相似的。
微观结构
对照豆腐的微观结构如图6所示。对照豆腐呈现蜂窝状结构,孔隙大小相对均匀。豆腐网络是由密集排列的细线构成的。由于变性大豆蛋白的表面电荷是逐渐筛选的,因此在低阳离子浓度下变性大豆蛋白的凝胶化沿线性方向优先。因此,大豆蛋白疏水区域之间的相互作用受到青睐,从而产生了丝状网络。本研究在质子的作用下,加热豆浆中可溶性聚集体的表面电荷逐渐减弱,促进了豆腐丝状结构的凝胶化。
图 6.豆腐的SEM显微照片以0.3%GDL形成
用高分子量和中分子量γ-PGA制备豆腐的微观结构分别如图7和图8所示。高分子量γ-PGA豆腐结构呈现出不连续的网络,小孔隙均匀分布。γ-PGA的添加降低了豆腐网的股线厚度。中等分子量γ-PGA的豆腐结构也呈现出不连续的网络。然而,中分子量γ-PGA豆腐的网络孔径大于高分子量γ-PGA豆腐。
图 7.0.3%GDL 和高分子量 γ-PGA的豆腐的 SEM 显微照片,浓度为 0.10% (A)、0.15% (B) 和 0.20% (C)
图 8.0.3%GDL和中等分子量γ-PGA豆腐的SEM显微照片,浓度为0.10%(A),0.15%(B)和0.20%(C)
低分子量γ-PGA豆腐的微观结构如图9所示。低分子量γ-PGA豆腐网的链厚小于高分子量或中分子量γ-PGA的豆腐。低分子量γ-PGA豆腐网络中有许多不连续的片段和不规则的孔隙。这可能是由于豆腐网络中可溶性聚集体之间的相互作用强度降低。添加的低分子量γ-PGA的浓度对豆腐的微观结构没有影响。
图 9.0.3%GDL和低分子量γ-PGA的豆腐的SEM显微照片,浓度为0.10%(A)、0.15%(B)和 0.20%(C)
协同作用
图10显示了用GDL和γ-PGA以不同分子量和浓度制备的豆腐的脱水收缩。对照豆腐的脱水收缩率为17.11%,添加γ-PGA可使豆腐的脱水收缩降低到10%以下,表明添加γ-PGA增加了豆腐的持水能力。增加添加γ-PGA的浓度可显著降低豆腐的脱水收缩。这种趋势在高分子量γ-PGA的豆腐上更为明显。
图 10.含有0.3%GDL和γ-PGA的豆腐在不同分子量和浓度下的脱水率
结 论
1.γ-PGA作为水结合剂来改善豆腐制备过程中的脱水收缩率。
2.γ-PGA可以延长豆腐的保质期,并改变豆腐的质地。
3.γ-PGA的分子量和浓度有效地改变了豆腐的流变特性。
4.增加γ-PGA的浓度可显著降低豆腐的脱水收缩率。
引 用
Effect of γ-polyglutamate on the rheological properties and microstructure of tofu.
——————END——————
版权说明
文案 | 来源Effect of γ-polyglutamate on the rheological properties and microstructure of tofu.
图片 | 来源Effect of γ-polyglutamate on the rheological properties and microstructure of tofu.其它产品图来源光华时代(海南)生物科技有限公司拍摄或设计(不可作其它商用)
本文所有自主文案、图片等如需转载需事先联系光华时代(海南)生物科技有限公司授权,转载需注明来源!

