槟榔主要生长在红土中,红土土壤具有磷固定、快速导水率、更快的渗透速度、碱性阳离子的浸出等特点;槟榔的早期研究表明,滴灌法的产量提高了45%,通过滴灌施肥可改善根际土壤P和K的养分运动。拉维·巴特等研究采用滴灌施肥10年而获得的土壤肥力状况的变化,并确定槟榔在红土中的养分吸收模式。
土壤pH值
滴灌施肥对10年实验期间土壤pH值有显著影响(图2)在0-25cm深度区间内,1996年试验开始前的土壤pH值为5.6,1999年保持不变。土壤pH值在2006年实验结束时增加到6.0。1999年和2006年土壤pH值因施肥水平和频率而没有显著变化,而1999年它们在0-25cm深度间隔下的交互作用显著。因子处理组和对照1在2006年记录了相同的土壤pH值(6.0)。因此,可以推断槟榔根际土壤pH值的变化不是由于养分的添加,而灌溉水是土壤pH值变化的主要来源。
图2.槟榔根区土壤pH值的变化受两个土壤深度间隔施肥水平和频率的影响
无论处理如何,非酸性肥料的使用和灌溉水的质量都可能导致土壤pH值升高。使用的灌溉水的pH值为6.9-7.0,天然含有钙和镁离子,导致这些营养物质在槟榔根际积累。槟榔根区中Ca和Mg的存在处于最佳范围(表2)证实了上述结果。由于红土土壤阳离子交换量(CEC)和缓冲能力较低,因此pH值可能会随着Ca和Mg含量高的灌溉水的施用而波动。
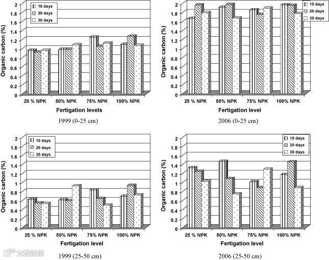
土壤有机碳
1999年至2006年期间,滴灌施肥显著改善了槟榔根区土壤有机碳状况(图3),在0-25cm深度区间,土壤有机碳(SOC)从1999年的1.06%增加到2006年的1.84%。在同一时期,在25-50cm深度区间记录到SOC的类似增加,从0.68%增加到1.13%。
交互效应显示,间隔20天施肥的100%NPK的SOC含量较高(1.27%),紧随其后的是间隔10天施肥的75%NPK(1.25%)。75%和100%NPK施肥对SOC的改善显著大于25%和50%NPK处理。在0-25cm深度区间,对照1中的SOC含量(1.43%)显著低于因子处理组(1.84%),但在25-50cm深度区间(0.93-1.13%)中不显著。
图3.槟榔根区土壤有机碳含量的变化受两个土壤深度间隔施肥水平和频率的影响
土壤有效P
在0-25厘米深度间隔,2005年平均P含量明显更高(5.90mg/kg)比其他年份高,将施肥剂量从50%增加到100%NPK并未导致磷含量显着增加,保持在5.24至5.32mg/kg的范围内(表1),在施肥频率中,间隔30天显著提高了速效磷含量(5.32mg/kg)在根际超过10天间隔(4.49mg/kg)。
图4.P含量的变化受两个土壤深度间隔的施肥水平和频率的影响
在25-50cm深度间隔处,有效P含量与0-25cm深度间隔的趋势相似。从图4有效磷含量在所有年份都保持不变(4.13–4.34mg/kg),除2004年在这两个土壤深度区间,2004年的速效磷显著低于其他年份。2004年有效磷的减少很可能是由于从2002年开始连续几年获得更高的作物产量。
本研究结果还显示,在0-25cm深度间隔和3.56mg/kg时有效P含量为4.96mg/kg,在25–50cm深度间隔(表1),超过25cm深度的P迁移率是滴注施肥的另一个优势。同一实验的先前报告,揭示了滴灌施肥除了保持有利的土壤含水量外,还将养分置于活跃的根区,从而导致磷和钾在槟榔根际的移动幅度更大。
从表1,可以观察到析因组处理(4.96mg/kg)显著优于对照1(2.62mg/kg),但对照2不显著(5.55mg/kg),在对照2,100%NPK土壤施用中,即使在施肥一个月后收集土壤样品,磷的可用性仍处于中等范围内。这一点凸显了土壤的高固磷能力以及分次施肥对提高利用效率的重要性。
在两个土壤深度区间,有效P含量的年变化如下所示图4,2000年和2005年施肥水平对土壤速效磷有显著影响,而施肥频率没有显著变化。2000年和2004年施肥水平和频率之间的交互作用显著。除2005年外,析因组在所有年份均显著优于对照1。
在这项长期试验中,在承载期(3.7-5.9mg/kg)在对照组1中,未施用肥料,平均有效磷含量较低(2.62-2.73mg/kg)与施肥(3.56-4.96mg/kg)相比,这意味着P是红土土壤中的限制性养分,因为槟榔对P的固定程度更高,对P的吸收更高,因为该地区的酸性土壤富含Fe和Al的水合和无定形氧化物,它们是有效的固磷剂。目前的研究结果表明,需要持续施用P肥料来满足土壤和植物的固磷需求。
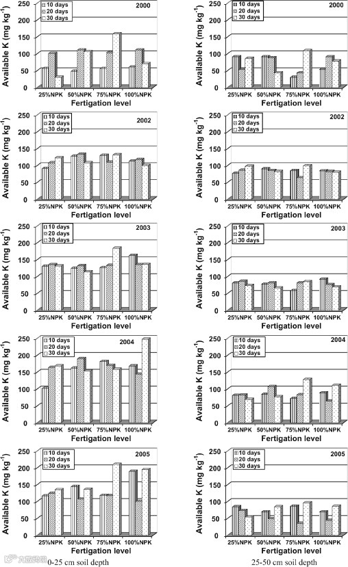
有效土壤K
对2000年至2005年5年数据的汇总分析显示,施肥水平和频率及其相互作用对有效钾含量的显着影响(表1),由于槟榔根际(图5)试验期间钾含量逐渐增加,达到峰值167mg/kg;然后下降到141mg/kg。
25%NPK显著低于75%和100%NPK,关于施肥频率,30天的间隔维持的速效钾显著高于20天和10天间隔,施肥水平和频率之间的相互作用表明,间隔30天施肥75%NPK时,有效钾显着升高(167mg/kg),在这些CEC和K固定率低的土壤中,当通过滴灌注入时,钾离子会随水一起移动。因此,谨慎的做法是通过滴灌分更多次施用钾肥,以实现最大的养分利用效率。
图6.11年生槟榔树的叶子、坚果和外壳对氮、磷和钾的吸收受施肥水平和频率的影响
通过滴灌分次施用钾肥是比土壤施用更好的槟榔选择。可用K含量保持在中等范围(表1和图5),可用K含量的深度变化相当大。K的可用性在0-25cm深度间隔处较高(129mg/kg),比25-50厘米的深度间隔(78mg/kg)高,滴灌施肥有可能最大限度地减少浸出损失,并改善根际的可用K状态,以便槟榔有效利用。
槟榔根际有效K含量的年变化如图5,施肥水平仅在2000年显著影响土壤速效钾,而施肥频率在2000年和2005年显示钾含量存在显著变化。2000年和2004年不同水平和频率之间的相互作用是显著的。在2000年、2004年和2005年发现析因处理组显著优于对照1,并且在所有年份都与对照2持平。
土壤中有效钙和镁含量
随着施肥频率从10-20天的间隔增加,有效钙从1.34g/kg显著增加到1.78g/kg,而它保持在1.62g/kg间隔30天。在25-50cm深度间隔处,由于施肥频率的不同,有效Ca显着变化:有效Ca随着施肥频率的增加而增加。在两个土壤深度区间,析因组处理中的有效Ca含量与对照1和对照2相当。
在0–25cm深度间隔处,与25%NPK(133毫克千克)相比50%、75%和100%NPK施肥处理的速效镁含量显著增加(170–173mg/kg),尽管施肥水平和频率之间的相互作用很大,但没有观察到明确的趋势。在25-50cm深度间隔处,只有施肥水平在有效镁方面显示出显着变化,没有明确的趋势。这可以归因于灌溉水对土壤中Mg添加的贡献。
养分吸收
受不同施肥水平和频率影响的槟榔叶、坚果和果壳对营养物质的吸收如下所示图6,由于施肥水平、频率及其相互作用,叶片对氮的吸收是显着的。叶N吸收在100%NPK水平显著低于其他水平。在槟榔中,树干生物量占槟榔总生物量的75%。树干中的平均氮含量为1%。因此,槟榔吸收的大量氮将被固定在树干中。100%NPK施肥中较高的树干生物量和较低的叶片生物量,可能有助于降低叶片对N的吸收。施肥频率对叶片氮吸收的影响显示间隔10天的施肥明显优于间隔20天和30天。
叶片对氮的较高吸收有助于提高滴灌施肥的净光合作用和产量水平,果实和果壳在不同施肥水平之间不显著。多项式回归方程显示施肥水平与果实对氮的吸收呈正相关。产量与果实对氮素吸收的正相关度相对较高的产量和叶片对氮的吸收。这些发现清楚地表明,产量与施肥和养分吸收密切相关。
叶、果实和果壳对磷的吸收在不同施肥水平和频率之间没有显著差异。多项式回归方程显示,在施肥处理中,不同部分对P的吸收显著高于对照1,果实/壳对P的吸收与产量之间的显著关系(R2=0.984)表示通过滴灌频繁间隔在红土中连续施用P的重要性。在本研究中,树干总P含量为0.02%,根系总P含量为0.16%,被认为是固定的。
由于施肥水平和频率以及它们的相互作用,叶片对K的吸收差异很大。尽管果实/壳对钾的吸收在不同处理间没有显著差异,但多项式回归方程显示与施肥水平和频率呈正相关且显著相关。
总氮吸收量在地上部分的0%NPK施肥量从143到75%NPK施肥量,总P摄取量在0%NPK的15和75%NPK的施肥水平25之间变化。最大总钾吸收量发生在75%NPK水平(62)中,其次是25%和50%NPK(56)、100%NPK(54)和0%NPK(46)。滴灌在槟榔根际保持了足够的土壤含水量,高于田间容量水平(18-22%),距离滴灌线90厘米,有利的土壤含水量和养分有效性对槟榔树的养分吸收有很大影响。
结 论
采用滴灌施肥是一种很好的管理技术,可用于红土土壤,以抵消气候和土壤限制并满足槟榔的养分需求。
滴灌施肥对土壤pH值、土壤有机碳(SOC)、P和速效钾含量有积极影响。养分分布模式显示,多年来,75%和100%NPK水平在槟榔根际保持相似的速效磷和钾状态。
研究表明,每隔10天施用75%NPK肥料方案可提高槟榔对肥料的利用率,将使槟榔中更高的营养分配到经济部分。由于槟榔是一种多年生棕榈,因此在制定施肥计划时,还应考虑固定在树干和根中的养分量以及叶子、坚果和外壳去除的养分。
引用
RaviBhat,S.Sujatha,Soilfertilityandnutrientuptakebyarecanut(ArecacatechuL.)asaffectedbylevelandfrequencyoffertigationinalateritesoil,AgriculturalWaterManagement,Volume96,Issue3,2009.
——————END——————
版权说明
文案 | 来源 RaviBhat,S.Sujatha,Soilfertilityandnutrientuptakebyarecanut(ArecacatechuL.)asaffectedbylevelandfrequencyoffertigationinalateritesoil,AgriculturalWaterManagement,Volume96,Issue3,2009.
图片 | 来源RaviBhat,S.Sujatha,Soilfertilityandnutrientuptakebyarecanut(ArecacatechuL.)asaffectedbylevelandfrequencyoffertigationinalateritesoil,AgriculturalWaterManagement,Volume96,Issue3,2009.
其它产品图来源光华时代(海南)生物科技有限公司拍摄或设计(不可作其它商用)
本文所有自主文案、图片等如需转载需事先联系光华时代(海南)生物科技有限公司授权,转载需注明来源!

