胡椒是喜阴植物,而主要植区在海南省,3-12月份的光照强度高,在胡椒主花期需要适度遮荫,研究不同程度遮荫对叶片碳代谢及主花期成花量的影响,是确定该时期适宜荫蔽度,进而确定胡椒与搭配作物间作时适宜复合栽培密度的关键,
遮荫对胡椒主花期开花量的影响
试验处理:择4种荫蔽度(15%、30%、60%、75%)的遮阳网进行全树体遮荫处理,以全光照为对照(CK)。
与对照(CK)相比,30%和60%荫蔽度对胡椒主花期(9~11月)花穗数目无显著影响(图1一A),60%遮荫显著增加花穗长度(图1一C),即显著提高了单穗花量,15%和75%两个遮荫处理对主花期花穗数目和长度无显著影响。从单个月份来看,30%和60%遮荫条件下,主花期中后期(10-11月)胡椒的花穗数目高于CK,树体恢复期(8月)和主花期前期(9月),这2个处理对胡椒花穗数目没有显著影响(图1一B)。
对于花穗长度,2个处理在主花期前期和中期(9-10月)都对花穗长度有正效应,主花期后期(11月)对花穗长度没有显著影响(图1一D)。15%和75%处理下,树体恢复期和主花期花穗数目都低于CK(f图1一B):15%处理下胡椒花穗长度随时间推移呈上升趋势,在主花期前期和中期显著增加了花穗长度,后期与CK无显著差异,75处理下胡椒花穗长度在树体恢复期和主花期前期有所增加,后期显著低于CK(图1一D)
图1 遮荫对胡椒主花期开花量的影响
遮荫对胡椒主花期
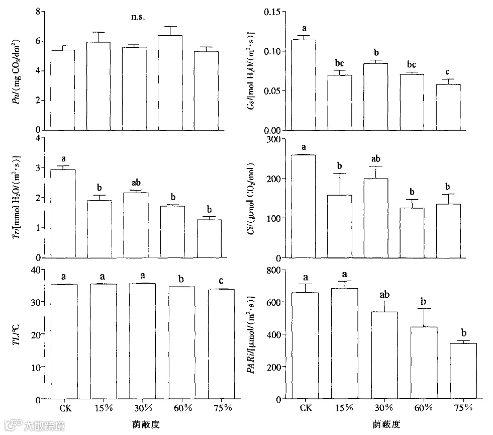
叶片光合作用的影响
对胡椒主花期完全稳定叶片光合作用进行测定,发现遮荫对该时期无显著影响,但显著抑制了GS(全基因组选择)、Tr(转录调节因子)(图2)。
图2 遮荫对胡椒主花期完全展开叶片光合参数的影响
胡椒主花期叶片光合作用对该时
期成花量及胡椒最终产量的影响
分析胡椒主花期叶片光合作用与单株花穗数目的相关关系(表1),发现化是影响单株花穗数目的主要参数,Pn(净光合速率)是影响花穗长度的主要参数,Tr对产量有显著正效应,胡椒主花期叶片和什的分析如图3所示。
分析结果表明,CK处理下TL和Tr都达最大值,30%遮荫处理下,TL和Tr都与CK处理下的这2个参数无显著差异,所以该时期不遮荫或给予30%遮荫都有利于胡椒开花,进而提高胡椒产量。
表1胡椒主花期光合参数与成花量及胡椒产量之间相关性分析
图3 遮荫对胡椒主花期完全展开叶TL和Tr的影响
遮荫对胡椒主花期
叶片糖积累的影响
遮荫对胡椒主花期叶片糖积累的影响如图4所示,与CK相比,30%和60%处理使胡椒叶片可溶性糖含量在主花期前期分别提高约25%和22%,主花期中期这2个处理与CK无显著差异,在主花期后期60%处理比CK高约62%,
总体来看,可溶性糖和蔗糖含量在主花期中后期含量显著高于主花期前期,淀粉含量在主花期中期达到峰值。
图4 遮荫对胡椒主花期糖积累的影响
糖积累对胡椒主花期花量的影响
可溶性糖、蔗糖和淀粉均对主花期当月单株花穗数目有负效应(如表2所示),其中淀粉影响最大可能因为花穗的生长需要消耗大量的碳水化合物。导致叶片中的碳同化产物发生转运,其中以淀粉的消耗量最多;而次月单株花穗数目则与上述各类糖积累呈极显著正相关关系,其中可溶性糖影响最大。
结果表明,叶片中糖的积累是调控胡椒次月花穗数目和花穗长度的关键因子。
表2 主花期碳水化合物与花穗数目和长度的关系
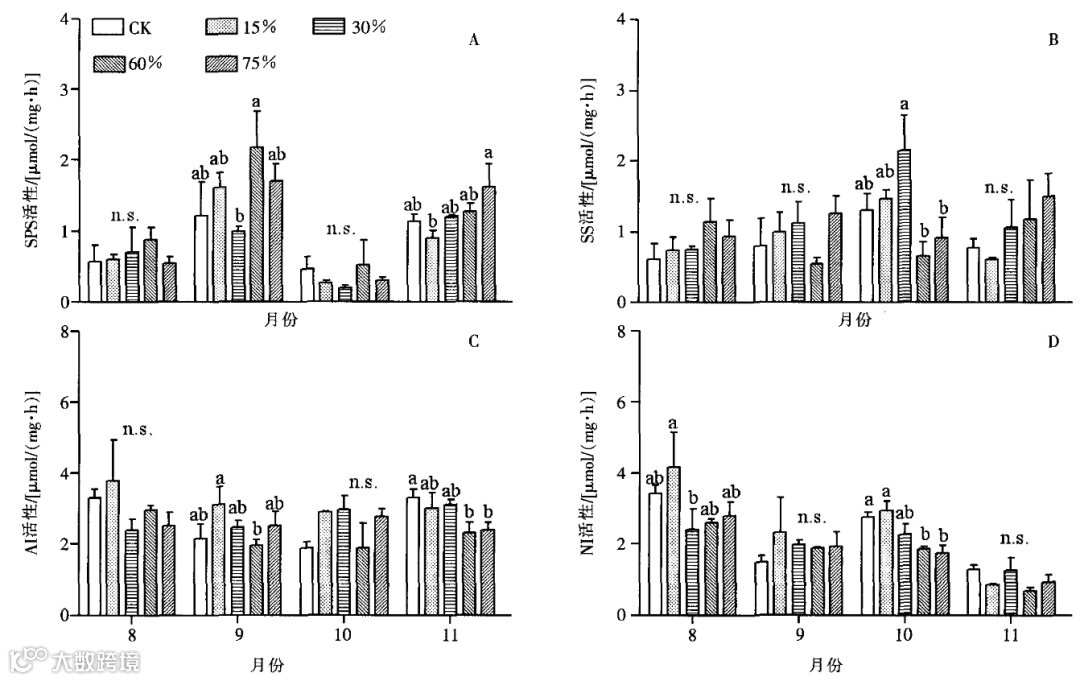
遮荫对蔗糖代谢相关酶活性的影响
遮荫对胡椒主花期蔗糖代谢相关酶活性的影响如图5所示,SPS活性(蔗糖磷酸合成酶)在主花期前期达到峰值,主花期中期活性最低,遮荫对SPS活性没有显著影响;SS活性(蔗糖合成酶)在主花期中期达最大值,树体恢复期活性最小,遮荫没有显著抑制SS活性;AI活性(酸性转换酶)在树体恢复期显著高于主花期,主花期后期60%和75%遮荫处理显著抑制AI活性;NI(镍)活性在树体恢复期最高,主花期后期最低,60%和75%处理在主花期中期显著抑制了NI活性。
图5 遮荫对胡椒主花期糖代谢相关酶的影响
蔗糖代谢相关酶活性
对糖积累的影响
分析主花期各个月份的叶片蔗糖代谢相关酶对糖积累的影响,发现SPS活性与糖积累呈极显著负相关关系,SS对糖积累有显著正效应,AI与糖积累相关性极低,NI与可溶性糖积累负相关,与淀粉积累正相关。与蔗糖含量相关性很弱(表3)。
表3 主花期蔗糖代谢相关酶对糖积累的影响
结 论
在树体恢复期和主花期前期,搭配作物对胡椒遮荫的荫蔽度为30%左右时,可以促进糖积累,为花芽发育提供充足的物质基础,以保证胡椒与搭配作物间作时主花期花量。
引用
祖超,杨建峰,李志刚,等. 遮荫对胡椒主花期叶片碳代谢及成花量的影响[J]. 热带作物学报,2015,36(9):1561-1567.
——————END——————
版权说明
文案 | 来源 祖超,杨建峰,李志刚,等. 遮荫对胡椒主花期叶片碳代谢及成花量的影响[J]. 热带作物学报,2015,36(9):1561-1567.
图片 | 来源 祖超,杨建峰,李志刚,等. 遮荫对胡椒主花期叶片碳代谢及成花量的影响[J]. 热带作物学报,2015,36(9):1561-1567.其它产品图来源光华时代(海南)生物科技有限公司拍摄或设计(不可作其它商用)
本文所有自主文案、图片等如需转载需事先联系光华时代(海南)生物科技有限公司授权,转载需注明来源!


