
对铁磁流体液滴在疏水和超疏水表面上的平衡构型的实验分析表明,当磁场增强时,液滴形状会发生非线性变形,其特征是液滴曲率和接触角的改变。此外,座滴法实验测量表明,随着磁场强度或梯度的增强,磁场诱导的表面不稳定性可能会在铁磁流体中产生尖锐或平坦的液滴轮廓,其平衡形状取决于载液和固体基底的性质。
本文研究了具有不同亲水性的铁磁流体液滴在玻璃基底上的润湿动力学特性。采用无底滴技术研究了玻璃基底表面的润湿现象。铁磁流体液滴沉积在亲水和疏水基板上,动态接触角由光学接触角仪自动获取。接触角量的时间演变是通过对以16 ms为间隔捕获的铁磁流体液滴图像的数字分析确定的。所有测量在恒温(25°C)下进行,该过程重复至少10次,液滴量在4.0 ~ 5.0 μL之间变化。
接触角实验时,使用直径为20mm,厚度为2mm的钕圆盘磁铁。如图1所示,永磁体的顶面与亲水性和疏水性基板的最小距离为Z0 = 2mm。测量了放置在磁体中心对应位置r = 0的铁磁流体液滴接触角的时间演变。磁场的强度和梯度是通过改变磁体和基底之间的距离来改变的。

图1. 测量铁磁流体液滴在亲水和疏水基质中的动态接触角时所使用的实验装置模拟图
在图2中,我们展示了在亲水基质上润湿动力学过程中铁磁流体滴的图像。我们通过改变磁体和基底之间的距离Z来考虑不同的磁通密度B值。更具体地说,B表示磁通密度轴向分量在r = 0时的幅值,对应于钕圆盘磁体的中心位置。

图2. 铁磁流体滴落在亲水性基底后不同时间的图像
在润湿动力学过程中,我们注意到当磁通量密度低于饱和磁化强度(B<µ0Ms = 22 mT)时,随着接触线的移动,磁滴呈现出近似的球帽形状。当磁通密度高于饱和磁化强度时,液滴形状受到轻微扰动,空气/铁磁流体界面的畸变对动态接触角敏感。对于B = 40 mT,我们观察到液滴滴在载玻片上后立即(t = 16 ms)产生了一个小的变形,其特征是顶点周围界面曲率的变化。当t = 1.6 s时,我们注意到界面曲率的变化几乎不明显,铁磁流体液滴呈现出非常接近球帽的形状。然而,当t = 16 s时,可以注意到球帽形状的偏差,这对应于液滴顶点的小扁平化。这些结果表明,当磁通密度高于饱和磁化强度时,亲水玻璃载玻片上磁滴表面变形的几何形状在润湿动力学过程中呈现出时间依赖的特征。
考虑不同的磁感应强度B值时,在疏水基材上磁滴的润湿动力学图像如图3所示。当B<µ0Ms时,可以注意到磁滴在润湿动力学过程中呈现球形帽状。当磁通密度高于饱和磁化强度(B = 40 mT)时,铁磁流体液滴在疏水玻璃载玻片(t = 16 ms)上释放几毫秒后,呈现出明显的球形帽形曲率。

图3. 铁磁流体滴落在疏水性基底后不同时间的图像
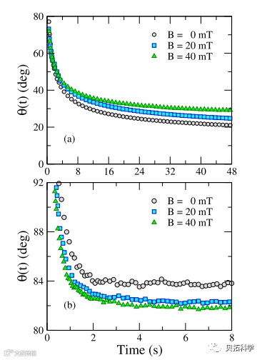
在图4中,我们展示了平衡接触角与磁通密度强度的关系。对于发生在亲水性衬底中的润湿现象,我们观察到随着磁通量密度的增加,平衡接触角呈线性增加。

图4. (a)亲水性基底和(b)疏水性基底上铁磁流体滴接触角在不同磁通密度下的时间演化:B = 0 mT(灰色圆圈),B = 20 mT(蓝色正方形),B = 40 mT(绿色三角形)。
通过利用接触角测量仪座滴法,分析了非均匀磁场对控制润湿现象的物理参数的影响。研究结果表明,随着接触线的移动,液滴形状的场致变形呈现出时间依赖的行为。特别是,我们观察到液滴在顶点周围曲率的变化取决于瞬态接触角,对固体衬底的亲水性或疏水性很敏感。
参考文献:
[1]Souza, P. J., Lira, S. H. A., de Oliveira, I. N., Wetting dynamics of ferrofluids on substrates with different hydrophilicity behaviors[J]. Journal of Magnetism and Magnetic Materials, 2019, 483, 129–135.

