大数跨境

系统切换:电子口岸代理报关委托系统将于8月25日停止服务

系统切换:电子口岸代理报关委托系统将于8月25日停止服务 广州正州供应链
2020-08-09
1
导读:系统切换通知


中国电子口岸执法系统“代理报关委托书/委托报关协议”子系统将于2020年8月25日停止服务,目前已更新切换至新执法系统和单一窗口平台,企业请登录新执法系统下“报关代理委托”或单一窗口货物申报模块下“报关代理委托”系统进行业务操作。


1.新执法系统地址:

https://e.chinaport.gov.cn
2.单一窗口地址:
https://www.singlewindow.cn



电子口岸“代理报关委托书/委托报关协议“子系统切换通知


尊敬的电子口岸用户:

为提升用户体验,提高服务能力,数据中心对执法系统中“代理报关委托书/委托报关协议“子系统进行了升级,并已更新至新执法系统和单一窗口平台。


请登录新执法系统(https://e.chinaport.gov.cn/)下“报关代理委托”或单一窗口(https://www.singlewindow.cn)货物申报模块下“报关代理委托”系统进行业务操作。


中国电子口岸执法系统“代理报关委托书/委托报关协议”子系统计划于2020年8月25日停止服务,为此造成的不便,敬请谅解。




新系统登录入口



新执法系统入口


单一窗口入口


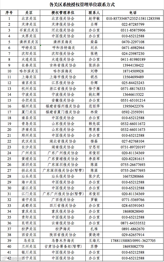
中国报关协会关于《代理报关委托书/委托协议》管理系统更新切换的通知:







附件1:



附件2:



附件3:



请点击文末“阅读原文”下载附件。



来源:关务小二

【声明】内容源于网络
0
0
广州正州供应链
专业黄埔南沙港FOB报关、拖车服务,我们拥有自己的 报关行,拖车行,通关能力强,合同保证安全。主要服务于货代公司,贸易公司,贸易工厂等的报关,拖车,仓库等业务。提供安全-细节通关服务!
内容 41
粉丝 0
广州正州供应链 专业黄埔南沙港FOB报关、拖车服务,我们拥有自己的 报关行,拖车行,通关能力强,合同保证安全。主要服务于货代公司,贸易公司,贸易工厂等的报关,拖车,仓库等业务。提供安全-细节通关服务!
总阅读22
粉丝0
内容41