2024年DSE延伸数学M1/M2考试于今日已顺利结束啦!在开考前夕,我们举办了DSE延伸数学M2考前冲刺线上公开课,覃菲菲老师倾情分享了延伸数学M2核心考点,其中讲到9大题型:数学归纳法、二项式定理、三角学、极限与导数的定义、求导法则和导数的应用、积分法则和积分的应用、矩形、线性方程组、向量,全考到了啦!考题数量和预测几乎一致,太赞赞赞啦!
图:线上公开课部分PPT
在这DSE大考的重要阶段,我们与考生们并肩作战,共赴考场之战!为此精心策划了【4月DSE考前冲刺线上公开课】,带领大家考前精准锁定必考知识点,实现考前高效备战!敬请期待下周一晚八点,凌天择老师精彩开讲DSE物理考前冲刺线上公开课!点击参加讲座:4月DSE考前冲刺线上公开课 | 考前快速提分全攻略,助力斩获5**!
本次DSE延伸数学M1/M2考试,威学一百的老师们也亲身参与其中应考,在考后以迅捷高效的教研效率,对整个考试流程和具体考情进行了精心整理与详细分析,旨在为后续考生提供清晰且精准的备考方向!
接下来,港校小助手就来带大家揭秘今年DSE延伸数学M1/M2的考题汇总、考试流程和考情分析。同学们切勿错过本次的分享哦,从中可获取丰富而实用的考试信息与备考策略哦!
M1
1.离散随机变量,独立与互斥事件

(a) 求a,b的值
(b) 定义
为事件C,
为事件D,C与D是否相互独立?
(c) 有一事件E,如事件C与事件E互斥,则P(E)的最大值是多少?
2. 条件概率

(a) 随机选取一人,已知该人戴眼镜,则是女生的概率?
(b) 随机选取一人,戴眼镜且为女生的概率
3.进阶概率
掷硬币,掷到字的概率为p,0<
p<1,掷20次后,掷1次字的概率和掷3次字的概率比为49:57
(a) 求p
(b) 掷k次,至少掷到一次字的概率不低于0.85,求k的值
4.置信区间

5.e的展开式与二项式定理

6.求导与切线方程

7.导数的应用:变化率问题

8.积分与积分的应用:求面积问题

9. 概率综合应用

10. 统计四种分布的应用-泊松分布及其对应的概率综合题
一个快递员每天送快递的件数服从泊松分布,平均每天送1.6件,如果晚送快递的数量少与3件则称为顺利
(a) 求顺利的概率
(b) 求一周七天都顺利的概率
(c) 已知一周7天都顺利,求恰好晚送10个快递的概率
(d) 已知至少2个快递晚送了,求一周七天都顺利的概率
11.积分的综合应用-函数线性化,梯形法则

12.微积分综合应用-二阶导与积分

M2
1.向量

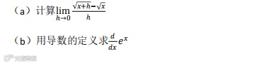
2.极限和导数定义

3.二项式定理:展开式,通项的应用

4. 三角学:证明,解三角方程

5.不定积分和不定积分的运用:积分计算--分部积分法

6.线性方程组:齐次方程组的解,综合三角方程的解

7.导数和导数的运用:隐函数求导法则,切线问题

8. 数学归纳法

9.导数和导数的运用:相关变化率

10.导数和导数的运用:函数的性质---渐近线,最值,作图,积分求面

(a)求G的渐进线
(b)求f(x)的导数
(c)求G的极大点和极小点
(d)描绘G的图像
(e)求G和x轴,y轴围成的面积
11. 积分和积分的运用:积分计算---积分换元

12. 线性方程组:方程组解的问题,向量的综合运用

13. 矩阵:矩阵的计算

M1
1.24年M1的题型设置继续保持了经典的出题模式,试卷结构与题型与过往三年也基本保持一致,如今年的第9题与21年和23年的题型类似,12题与23年真题也保持了较为连贯的出题思路。
2.今年甲部有部分题目的运算量较前三年略有提升如第1题。
3.整体难度与去年难度基本持平。
M2
1.考试题量变大,往年只考12题,今年考13题。
2.考试考点的分布顺序有比较大的变化,和经典的考点分布顺序有比较大的出入。
3.整体计算量非常大,尤其是增加了题目数量之后,对考生的熟练程度和运算能力要求非常高。
4.整体向量的难度系数有所下降,向量的题目整体出题位置更靠前。从平均难度来看,由于向量的难度系数有所下降,整体题目的难度系数不是特别高,积分都是常见的类型,三角函数的运算也不复杂,总体来看,考试的难度在于计算量变大,从深度上看,难度系数不是特别高。个别的新的题型难度不是特特别大。

图:近四年考点分布
图:近四年考点分布
考试流程
1️⃣8:15前在休息室(waiting area)等候。
2️⃣8:15进入考场,桌上有“电脑条形码”和“两张草稿纸”(草稿纸不够可以要)
3️⃣8:15主考官宣读考场纪律要求,全程粤语。
4️⃣8:25左右发试卷,刚拿到不能查阅,要等到考官要求阅读试卷封面信息,确认试卷是否完整时可以打开试卷查阅。
5️⃣8:30考官宣布考试开始,考生可以先填写考生编号以及贴条形码。
6️⃣距离考试结束15分钟,5分钟分别提醒考试时间。
7️⃣11:00点考试结束,考官收卷时草稿纸与试卷均会收走。(如果中途去上洗手间,需要举手示意老师,监考老师会引导学生登记并陪同学生去洗手间。)
结语
我们深耕国际教育领域多年,深度了解港系国际学校备考,对于DSE课程更是深入剖析,我们现在推出的DSE全年班,实行15人小班制授课,助力学员冲击香港名校!欢迎预约入学评估!


