玻色因(Pro-XylaneTM),最早是由欧莱雅从山毛榉树中发现的一种木糖衍生物,本质是由「水+丙二醇+羟丙基四氢吡喃三醇」构成的原料组,其中有效活性成分为羟丙基四氢吡喃三醇,故而以此作为备案名称。由于具有良好的抗衰功效,玻色因自出世便受到化妆品行业的广泛关注。
羟丙基四氢吡喃三醇详细信息
目前,国内化妆品原料界将羟丙基四氢吡喃三醇等同称作玻色因,然而值得注意的是,化妆品所宣称的玻色因含量通常是指原料组在产品中的添加量,其中活性成分的占比并不能确定。2019年欧莱雅专利到期后,国内市场上出现了众多玻色因产品,由于缺乏行业标准,市场上的玻色因良莠不齐,其含量也存在差异。
细胞外基质(ECM)是控制皮肤机制性能与生物特性的主要结构,由弹性蛋白、胶原蛋白和大量的蛋白聚糖(PGs)共同构成。
ECM结构示意图
PGs能影响对皮肤弹性至关重要的纤维胶原结构,亦能通过其与细胞、生长因子、细胞因子之间的相互作用,参与细胞粘附和信号传导等其他过程。基本单位的PG由一个核心蛋白与多个糖胺聚糖链(GAG chain)组成,它具备的许多生物功能均来源于这些糖胺聚糖(GAGs)。
PG、GAG示意图
GAGs在水溶液中呈现扩展结构,当多个GAGs与核心蛋白共价连接时,这种效应进一步增强。含有大量GAGs的PGs在其分子域中保留大量水分,并占用巨大的水动力空间,这种特性不仅构成了基本的真皮层结构,还起到了保湿作用。
不同类别的GAGs结合成链,它们始于木糖与丝氨酸的连接,由链条起始端的木糖基转移酶催化,因此木糖在GAGs的起始合成中具有关键作用。玻色因的本质是木糖衍生物,能促进GAGs合成。
随着皮肤老化,ECM结构发生变化,PGs和GAGs的合成会大幅降低。通过刺激GAGs进而促进PGs合成,玻色因能大幅度增加ECM的水分含量,使皮肤紧致有弹性,从而达到抵抗衰老的作用。
玻色因作用图
除此之外,玻色因还能影响ECM中另一个重要结构——真表皮连接层(DEJ)。由于表皮层没有血管,只能由真皮层进行营养输送,DEJ便像双面胶一般将表皮和真皮连接起来,使皮肤保持紧致和弹性。随着皮肤老化,DEJ趋于平整,对表皮的营养输送断裂,导致皮肤出现松弛、粗糙等问题。
DEJ主要由Ⅳ、Ⅶ、Ⅹ、Ⅶ型胶原蛋白和层粘连蛋白构成,玻色因可通过刺激IV型和VII型胶原蛋白合成,改善整体DEJ形态,使真皮层和表皮层的连接更为紧密。
DEJ示意图
根据欧莱雅几十年来针对玻色因的动物研究显示,玻色因确实可通过细胞间信息传递促进GAGs的合成,增加ECM的水分含量,使皮肤变得更细腻有弹性。然而人体的机制十分复杂,论及玻色因对人体皮肤的抗衰效力,最终还得看其临床表现。
1. 对DEJ结构的影响
欧莱雅研究论文
doi:10.1684/ejd.2010.1225
2011年,欧莱雅实施了一场临床试验,实验受试者为5名年龄在60-75岁之间的绝经女性,每日分别在前臂涂抹两次320 mg(2 mg/cm2)含有10%玻色因的乳膏和安慰剂。3个月后,研究人员取受试者前臂应用区域的皮肤作为活检标本,通过透射电子显微镜进行观察。
实验结果显示,在使用安慰剂的老化皮肤样本中(下图样本A、C、E),DEJ结构出现了致密层沿基底膜几个区域内的重复,致密层重复被认为是导致皮肤老化的因素之一;而在使用了含10%玻色因乳膏的皮肤样本中(下图样本B、D、F),DEJ结构表现得更为均匀,致密层的重复明显减少。
A、C、E是对照组;B、D、F为玻色因组
层连粘蛋白332(laminin-332)和α6-整合素(α6-integrin)是DEJ结构的主要构成成分。通过对受试者皮肤进行免疫荧光标记实验检测,玻色因被证明能提升DEJ构成成分的累积,与对照组(样本A、B)相比,经玻色因处理过的老化皮肤(样本C、D)在laminin-332和α6-integrin上分别增强了30%和50%。
laminin-332,α6 integrin实验数据
CD44蛋白是由胞外、跨膜及胞质三个部分构成的糖蛋白,主要功能为介导细胞与细胞间、细胞与细胞外基质间的相互作用,其表达将随着年龄的增长而降低。另一组免疫荧光标记实验结果证明,玻色因可显著刺激表皮中CD44蛋白的表达,与对照组相比,经玻色因处理过的皮肤样本中CD44荧光强度的增加高达117%。
CD44实验数据
以上三项研究结果证明,玻色因能刺激DEJ构成成分的表达,对DEJ结构具有一定的修复作用。
2. 对整体老化皮肤的影响
欧莱雅研究论文
doi:10.2340/00015555-2572
针对玻色因的整体抗衰功效,欧莱雅旗下的薇姿实验室于2016年组织了一场临床试验。实验中,240名年龄在55-65岁之间的绝经女性被分为两组,A组早晚使用含有3%浓度玻色因的护肤精华液和一款保湿霜,而B组仅使用保湿霜。经过为期60天的试验周期,研究人员通过光子数字图表对受试者的皮肤进行量化打分。
0-60天皮肤老化迹象对比
A组为玻色因组;B组为对照组
实验结果表明,与B组相比,A组在各项指标上均得到更明显的改善。并且,A组女性对自身皮肤改善的满意程度高于B组,证明玻色因可有效减轻绝经女性的皮肤老化迹象。
玻色因的初次面世是在2006年被添加于兰蔻产品之中。作为欧莱雅的王牌成分,玻色因贯穿集团旗下高中低端所有品牌,从贵妇级品牌赫莲娜、兰蔻,到平价亲民品牌巴黎欧莱雅, 其身影随处可见。
随着专利到期,欧莱雅一家独享的保护罩失效,国内众多品牌纷纷追赶热潮,推出以玻色因作为主打成分的产品,如米蓓尔、觅研、美即等均以高性价比抓住了消费者的注意力。根据价位,我们整理出了含有玻色因成分的高中低端三条产品线。
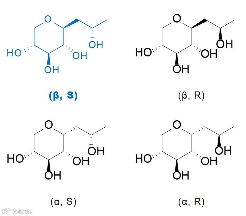
从结构上来看,羟丙基四氢吡喃三醇并不复杂,是一个分子量不到200的活性物。然而羟丙基四氢吡喃三醇这类化合物有多种立体异构体,不同的异构体特征对活性的影响非常大。从立体化学角度来看,该化合物有四种立体构型:[α,R]、[α,S]、[β,R]、[β,S]。
不同构型羟丙基四氢吡喃三醇的化学结构式
欧莱雅在研究论文(Synthesis of Pro-XylaneTM: A new biologically active C-glycoside in aqueous media.)中提到β-糖苷键对维持玻色因生物活性的重要性远大于α-糖苷键;而在不同非对映异构体比例的生物活性研究中,实验数据表明dr=70/30的生物活性大于dr=50/50,其中dr表示非对映异构体比例。
dr公式
此外,欧莱雅在专利《新的C-糖苷衍生物及其化妆用途》中明确指出[β,S]构型为优势构型,其生物活性远大于[β,S]和[β,R]构型的混合物。因此,我们可以得出结论:[β,S]构型在化合物中的比例越高,化合物的生物活性越好。
欧莱雅研究论文
DOI:10.1016/j.bmcl.2008.12.037
欧莱雅专利
《新的C-糖苷衍生物及其化妆用途》
瑞德林全球率先将生物合成技术应用于羟丙基四氢吡喃三醇的规模化生产,产品纯度高、杂质少、无刺激性气味和毒性物质残留。截止2021年11月,公司已在羟丙基四氢吡喃三醇的合成工艺上成功斩获三项发明专利,包括:“一种酶组合物及化学酶法合成玻色因的方法”、“一种通过缩醛/缩酮保护再还原合成玻色因的方法”、“一种通过酰化保护再还原合成玻色因的方法”。
瑞德林专利
不同于市面上其他黄色粘稠液状产品,瑞德林所产羟丙基四氢吡喃三醇呈白色晶体状,证明为纯S构型-羟丙基四氢吡喃三醇。
瑞德林S构型-羟丙基四氢吡喃三醇
一般情况下,导致羟丙基四氢吡喃三醇呈液状的原因有三种:
(1)纯度不够:产品中如硼酸、醋酸等杂质会使其难以结晶;
(2)构型不纯:dr>90/10时才有可能结晶成为固体;
(3)溶剂影响:当产品中含有一定量的溶剂残留时,也不易结晶。
而导致产品呈黄色的原因则为色素,目前大部分原料商采用的化学合成法很难避免产品中出现色素。
1. X-粉末射线衍射
通俗来讲,X-粉末射线衍射就是把肉眼无法直接观察到的微观分子转换成可直接观看的三维立体结构(化学书中球棍模型),欧莱雅S构型-羟丙基四氢吡喃三醇的X-衍射图如下图所示。
欧莱雅S构型-羟丙基四氢吡喃三醇
X-射线衍射图显示瑞德林所产羟丙基四氢吡喃三醇为S构型。
[β,S]与[β,R]构型对比及瑞德林羟丙基四氢吡喃三醇的X-射线衍射图
2. 氢谱
氢谱提供了三类极其有用的信息:化学位移(吸收位置在碳链上的位置)可分析出羟丙基四氢吡喃三醇6号位置上氢的化学位移与氢的个数,也可看出7号位上S构型羟基或R构型羟基对6号位置上2个氢化学位移的影响。谱图显示,S构型6号位上1个氢受异构体影响的化学位移δ为1.67,而R构型该氢出现的化学位移为δ1.52。下图为瑞德林所产羟丙基四氢吡喃三醇的S、R构型氢谱重叠图。
瑞德林所产羟丙基四氢吡喃三醇的S、R构型氢谱重叠图
3. 质谱
羟丙基四氢吡喃三醇的分子量为192,瑞德林产品实际测得MS (ESI-):m/z : MS (ESI+):m/z : 215.08 [M + Na]+,可以看出质谱很干净,说明瑞德林所产羟丙基四氢吡喃三醇没有其他杂质。
瑞德林羟丙基四氢吡喃三醇质谱图
4. 化学纯度
我们开发了一套示差HPLC方法,能够区分开S构型-羟丙基四氢吡喃三醇和其他杂质。结果显示,瑞德林所产羟丙基四氢吡喃三醇的纯度>99.0%。同时,通过分析不同厂家产品的色谱纯度,我们发现市面上的羟丙基四氢吡喃三醇纯度差异非常之大。
不同厂家产品色谱纯度对比图
5. 手性纯度
我们开发了S构型-羟丙基四氢吡喃三醇的手性液相色谱法,结果显示瑞德林所产羟丙基四氢吡喃三醇中S构型>99.0%。通过分析不同厂家产品的手性纯度,我们发现,市面上所谓的羟丙基四氢吡喃三醇手性纯度差异明显,很多是消旋体或S构型仅占小部分,这样的产品将对最终添加量造成极大影响。
瑞德林S构型-羟丙基四氢吡喃三醇手性高效液相色谱对比图
不同厂家产品手性纯度对比图
基于以上分析结果,我们得出结论:
(1) 瑞德林所产羟丙基四氢吡喃三醇为S构型,具有高活性优势;
(2) 瑞德林所产羟丙基四氢吡喃三醇的纯度>99.0%,优于其他厂家产品;
(3)瑞德林所产羟丙基四氢吡喃三醇中S构型>99.0%,优于其他厂家产品。
我们委托兰州大学,通过MTT比色方法检测瑞德林S构型-羟丙基四氢吡喃三醇的安全性;通过双抗体两步夹心酶联免疫吸附法(ELISA),检测瑞德林S构型-羟丙基四氢吡喃三醇对促进人体成纤维细胞内生成胶原蛋白与弹性蛋白的效果,并与市面上其他厂家产品对比。
空白对照为未做任何处理的正常细胞
实验结果表明,瑞德林S构型-羟丙基四氢吡喃三醇在0-500 μM(0-96 ppm)的浓度范围内对细胞无杀伤能力,作用安全。
空白对照为未做任何处理的正常细胞;阴性对照即用200mJ/cm2的紫外照射4分钟后的紫外损伤模型组别
实验结果显示,瑞德林S构型-羟丙基四氢吡喃三醇在低浓度下便开始发挥作用,随着浓度增加,其促I型胶原蛋白生成的效果愈加明显,且效果均高于对照组。
空白对照为未做任何处理的正常细胞;阴性对照即用200mJ/cm2的紫外照射4分钟后的紫外损伤模型组别
与其他厂家产品相比,瑞德林S构型-羟丙基四氢吡喃三醇促I型胶原蛋白生成的效果更优越,随着浓度增加,作用效果更加显著。
空白对照即未做任何处理的正常细胞;阴性对照即用200mJ/cm2的紫外照射4分钟后的紫外损伤模型组别
实验结果显示,瑞德林S构型-羟丙基四氢吡喃三醇在低浓度下便开始发挥作用,随着浓度增加,其促弹性蛋白生成的效果愈加明显,且效果均高于对照组。
基于以上实验结果,我们得出结论:
(1)瑞德林S构型-羟丙基四氢吡喃三醇在0-500 μM(0-96 ppm)浓度范围内对人体成纤维细胞无明显毒性。
(2)瑞德林S构型-羟丙基四氢吡喃三醇能显著促进I型胶原蛋白及弹性蛋白生成,具有优异的抗衰功效。
(3)与其他厂家产品相比,瑞德林S构型-羟丙基四氢吡喃三醇促I型胶原蛋白生成的效果更加优越。
我们根据羟丙基四氢吡喃三醇的特性,提供它在不同类型护肤品中的搭配参考,如有不同建议,欢迎大家留言讨论。
1. 抗衰祛皱眼霜:辛酸癸酸甘油三酯,角鲨烷,十六、十八烷基醇(和)十六、十八烷基葡糖苷,聚二甲基硅氧烷(50CST),霍霍巴油,鲸蜡硬脂醇,棕榈酸异辛酯,对羟基苯甲酸丙酯,水,卡波姆,羟乙基丙烯酸盐/丙烯酰二甲基牛磺酸钠共聚物,甘油,1、3 丁二醇,透明质酸钠,β-葡聚糖,对羟基苯甲酸甲酯,三乙醇胺,二肽二氨基丁酰苄基酰胺二乙酸盐,μ芋螺肽,乙酰基六肽-8,羟丙基四氢吡喃三醇,1、2 己二醇。
2. 抗皱面霜:牛油树脂,棕榈酸异辛酯,十六、十八烷基醇(和)十六、十八烷基葡糖苷,硬脂酸甘油酯/PEG-100硬脂酸酯,霍霍巴油,聚二甲基硅氧烷(350CST),VE,鲸蜡硬脂醇,水,卡波姆,羟乙基丙烯酸盐/丙烯酰二甲基牛磺酸钠共聚物,甘油,丁二醇,透明质酸钠,对羟基苯乙酮,三乙醇胺,1、2己二醇,羟丙基四氢吡喃三醇,四氯甲基嘧啶羧酸,脱羧肌肽,九肽-1,甘油葡糖苷。
深圳瑞德林生物技术有限公司成立于2017年,是一家以合成生物技术为核心,以多学科交叉应用技术平台为依托,专注于研发、生产功能性健康原料的高新技术企业。我们以“绿色科技成就健康生活”为使命,致力打造以氨基酸、核苷酸、糖为单体的“生命分子”原料的创新产品和业务解决方案,产品应用覆盖功效护肤、营养健康、动物保健、生物医药、绿色农业及生物材料六大领域。
向下滑动查看
// 广州恒滔 //
如需更多信息或样品
请联系广州恒滔市场部
电话:020-39230185-827
邮箱:wencycheuk@gzhito.com.cn

