点击上方马上关注更多资讯
8月12日,商务部公告2025年第39号,公布对原产于加拿大、日本和印度的进口卤化丁基橡胶反倾销调查的初步裁定。
根据《中华人民共和国反倾销条例》(以下简称《反倾销条例》)的规定,2024年9月14日,商务部(以下称调查机关)发布2024年第38号公告,决定对原产于加拿大、日本和印度的进口卤化丁基橡胶(以下称被调查产品)进行反倾销立案调查。
调查机关对被调查产品是否存在倾销和倾销幅度、被调查产品是否对国内卤化丁基橡胶产业造成损害及损害程度以及倾销与损害之间的因果关系进行了调查。根据调查结果和《反倾销条例》第二十四条的规定,调查机关作出初步裁定(见附件)。现将有关事项公告如下:
一、终止对原产于印度的进口被调查产品的反倾销调查
经调查,调查期内自印度进口被调查产品数量占同期中国进口卤化丁基橡胶总量的比例低于3%。根据《反倾销条例》第九条和第二十七条规定,调查机关认定该进口数量属可忽略不计,决定终止对原产于印度的进口被调查产品的反倾销调查。
二、初步裁定
调查机关初步认定,原产于加拿大和日本的进口被调查产品存在倾销,国内卤化丁基橡胶产业受到实质损害,而且倾销与实质损害之间存在因果关系。
三、征收保证金
根据《反倾销条例》第二十八条和第二十九条的规定,调查机关决定采用保证金形式实施临时反倾销措施。自2025年8月14日起,进口经营者在进口原产于加拿大和日本的卤化丁基橡胶时,应依据初裁决定所确定的各公司的保证金比率向中华人民共和国海关提供相应的保证金。
被调查产品的具体描述如下:
调查范围:原产于加拿大、日本的进口卤化丁基橡胶。
被调查产品名称:卤化丁基橡胶(在《中华人民共和国进出口税则》中的名称为卤代丁基橡胶)
英文名称:Halogenated Butyl Rubber(Chlorobutyl Rubber,Bromobutyl Rubber)
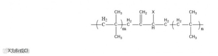
主分子结构式:
物理化学特性:卤化丁基橡胶是丁基橡胶与卤化剂反应的产物,是普通丁基橡胶的改良品。卤化反应包括氯化和溴化,因此,卤化丁基橡胶可分为氯化丁基橡胶与溴化丁基橡胶两类。卤化丁基橡胶产品形式为白色到浅琥珀色的胶块。卤化丁基橡胶具有硫化速度快、与其他不饱和橡胶的相容性好、自粘性和互粘性高等特点。
主要用途:卤化丁基橡胶主要用于无内胎的气密层、耐热内胎、耐热软管和输送带、药用瓶塞、防震垫、粘合剂和密封材料等。
该产品归在《中华人民共和国进出口税则》:40023910和40023990。
对各公司征收的保证金比率如下:
加拿大公司
阿朗新科加拿大有限公司 26.2%
(ARLANXEO Canada Inc.)
其他加拿大公司 40.5%
日本公司
日本丁基株式会社 13.8%
(Japan Butyl Co., Ltd.)
其他日本公司 30.1%
四、征收保证金的方法
自2025年8月14日起,进口经营者在进口原产于加拿大和日本的卤化丁基橡胶时,应依据初裁决定所确定的各公司的保证金比率向中华人民共和国海关提供相应的保证金。保证金以海关确定进口货物的计税价格从价计征,计算公式为:保证金金额=(海关确定进口货物的计税价格×保证金征收比率)×(1+进口环节增值税税率)。
五、评论
各利害关系方在本公告发布之日起10天内,可向调查机关提交书面评论意见。
往期回顾

