Available online:1 May 2020
The University of Western Ontario
导读
虽然Li金属在Li5.5PS4.5Br1.5中的化学性质不稳定,但工作2500h后,在过电位和电阻较小的锂对称电池中仍可实现稳定的循环特性。裸NCM622和涂有LiNbO3的NCM622与Li5.5PS4.5Br1.5电解质和In或Li负极组合使用时均显示出较长的循环寿命。LiNbO3层可以有效地改善不同负极的固态电池的容量和循环性能。此外,充放电电压窗对Li5.5PS4.5Br1.5基固态电池的电化学性能也有影响。
关键词
合成,锂辉石,离子电导率,负极相容性,固态电池
背景简介
1. 锂辉石与液体电解质的比较
在无机固体电解质中,锂辉石Li6PS5X(X=Cl、Br和I)通过使用低成本原材料和简单合成路线,提供可使用的室温下锂离子电导率(∼10-3S/cm),使其成为应用于固态电池的有希望的固体电解质候选材料。虽然锂辉石的离子电导率比大多数无机电解质高,但仍比有机液体电解质的导电率低一个数量级(10-3 vs.10-2S/cm)
2.提高锂辉石离子电导率的方法
元素置换。由于位错的存在,P与Ge、Si、Sn等元素的取代可以大大提高锂辉石的离子电导率。通过提高Li6+xP1-xGexS5I中锗的含量,使冷压状态下锂辉石的锂离子导电率达到5.4±0.8mS/cm,烧结后锂离子电导率达到18.4±2.7mS/cm。除了P位的取代,另一个有效的策略是用Se或Cl取代S,这可以大大提高离子的导电性。Cl取代的Li6PS5Cl的最佳组成Li5.5PS4.5cl 1.5在室温下的离子电导率为9.4±0.1mS/cm。之前的研究还表明,Li5.7PS4.7Cl1.3的室温电导率为6.4mS/cm。Br-(1.96 Å)的离子半径远大于Cl-(1.81 Å)的离子半径,导致在Li6PS5Br中用Br-代替S2-(1.84 Å)的难度更大。然而,用Br-取代S2-(1.84 Å)是提高Li6PS5Br锂离子导电性的可能途径。
文章介绍
通过交流阻抗谱、7Li核磁共振和AIMD模拟,揭示了Li5.5PS4.5Br1.5与Li6PS5Br相比电导率改善的详细机理。采用同步辐射X射线吸收、近边光谱法和EIS法研究了Li5.5PS4.5Br1.5在不同条件下的锂相容性。裸NCM622和涂有LiNbO3的NCM622与Li5.5PS4.5Br1.5电解质和In或Li负极组合制备固态电池,并研究不同充放电电压窗口下的电化学性能。
图1.电导率与结构特征
(a) The room-temperature ionic conductivities of Li6PS5Br and Li5.5PS4.5Br1.5 annealed at various temperatures for 5h.
(b) The Arrhenius plots of Li6PS5Br annealed at various temperatures for 5h.
(c) The Arrhenius plots of the mechanical milled (550rpm/16h) and annealed Li5.5PS4.5Br1.5 at various temperatures for 5h. The plot of Li5.5PS4.5Br1.5 annealed at 400°C for 10h is also shown for comparison.
(d) XRD diffraction patterns of Li6PS5Br annealed at 550°C for 5h and Li5.5PS4.5Br1.5 annealed at 400°C for 10h.
(e) Temperature-dependent 7Li spin-lattice relaxation time (T1) changes of the corresponding Li6PS5Br and Li5.5PS4.5Br1.5.
(f) Simulation results of Li6PS5Br and Li5.5PS4.5Br1.5. Indium foil was chosen as the blocking electrode in the measurements.
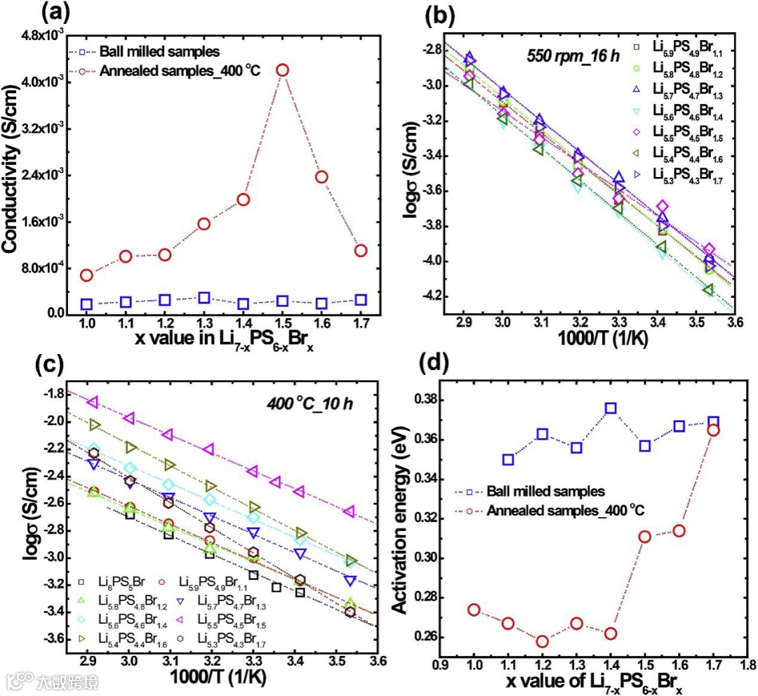
图2.性能变化
(a) The lithium ionic conductivity of Li7-xPS6-xBrx (x=1.0, 1.1, 1.2, 1.3, 1.4, 1.5, 1.6, and 1.7) obtained from mechanical milling processes (550rpm/16h) and heat treatment processes (400°C/10h).
(b) The corresponding Arrhenius plots of Li7-xPS6-xBrx (x=1.1, 1.2, 1.3, 1.4, 1.5, 1.6, and 1.7) obtained from milling processes (550rpm/16h).
(c) The Arrhenius plots of Li7-xPS6-xBrx (x=1.0, 1.1, 1.2, 1.3, 1.4, 1.5, 1.6, and 1.7) annealed at 400°C for 10h.
(d) The activation energies changes of ball milled and annealed Li7-xPS6-xBrx (x=1.0, 1.1, 1.2, 1.3, 1.4, 1.5, 1.6, and 1.7).
图3.电化学阻抗谱
(a-d)The complex impedance plots of Li/Li5.5PS4.5Br1.5/Li cell, In/Li5.5PS4.5Br1.5/In cell, LiNbO3-NCM622/Li5.5PS4.5Br1.5/Li cell, and LiNbO3-NCM622/Li5.5PS4.5Br1.5/In cell as a function of storage time. The frequency range was fixed between 7MHz and 1Hz with an applied voltage of 0.02V. The insets in Fig. 3(b–d) show the magnified Nyquist plot of resistance changes as a function of storage time. All measurements were performed at room temperature.
(e) P K-edge and (f) S K-edge XANES of the bare Li5.5PS4.5Br1.5 and the Li5.5PS4.5Br1.5 attached with lithium metal. The S K-edge XANES of Li2S is also shown in Fig. 3f for comparison.
图4. Li/Li6PS5Br/Li电池与Li/Li5.5PS4.5Br1.5/Li对称电池电化学性能
(a-b)Electrochemical behavior of the Li/Li6PS5Br/Li cell at 0.1mA/cm2 and the Li/Li5.5PS4.5Br1.5/Li symmetrical cell under a density of 0.1mA/cm2 for 0.1mAh/cm2.
(a-1), (a-2), (a-3), (b-1), (b-2), and (b-3) are the magnified regions of the voltage profiles found in Fig. 4a and b.
Fig. 4(a-4) and 4 (b-4) are the impedance spectra of these symmetrical cell after various cycling time. All of these measurements were performed at room temperature.
图5. 裸NCM622/Li5.5PS4.5Br1.5/Li和LiNbO3-NCM622/Li5.5PS4.5Br1.5/Li固态电池充放电曲线
(a-c)The charge/discharge galvanostatic voltage curves for the assembled Bare-NCM622/Li5.5PS4.5Br1.5/Li and LiNbO3-NCM622/Li5.5PS4.5Br1.5/Li solid-state batteries under different cut-off voltages, which cycled between 3.0 and 4.2V, between 3.0 and 4.4V, and between 3.0 and 4.8V vs. Li/Li+. The charge/discharge current density is fixed at 0.127mA/cm2.
(d) The corresponding charge/discharge capacity retention as a function of cycling number under different cut-off voltage windows.
(e) The changes of the average discharging voltage under different cut-off voltages with increasing cycling number.
(f) The cyclic voltammograms of the LiNbO3–LiNi0.6Mn0.2Co0.2O2/Li5.5PS4.5Br1.5/Li solid-state batteries for different upper cut-off voltages at a scanning rate of 0.1mV/s. All of these measurements were performed at room temperature.
图6.最初5圈循环曲线
(a) The initial five charge/discharge plots of Li5.5PS4.5Br1.5-based solid-state battery using LiNi0.6Mn0.2Co0.2O2 with and without LiNbO3 coating layer in combination with a In anode under the current density of 0.255mA/cm2 (∼0.2C) between 2.38 and 3.78V vs. In (between 3.0 and 4.4V vs. Li/Li+).
(b) The corresponding charge/discharge capacities and Coulombic efficiencies as a function of cycle number.
(c-e) The GITT plots, charge polarization voltages, and discharge polarization voltages during the first two cycles.
(f) The CV profiles of LiNbO3-coated LiNi0.6Mn0.2Co0.2O2/Li5.5PS4.5Br1.5/In scanned under various voltage windows with a rate of 0.1mV/s. All of these measurements were performed at room temperature.
文章链接:
https://www.sciencedirect.com/science/article/pii/S2405829720301343
导师简介:
孙学良 教授
加拿大首席科学家(Canada Research Chair),现任加拿大西安大略大学教授,主要从事纳米材料及清洁能源方面的研究。1985年获得天津科技大学学士学位,1999年获得英国曼彻斯特大学材料化学博士学位。1999-2001年,在加拿大不列颠哥伦比亚大学从事博士后工作,2001-2004年,在加拿大魁北克大学国家科学研究院任助理研究员,2004年以助理教授身份加入西安大略大学,2008年升为副教授,2012年升为正教授。
孙教授主要从事应用于清洁能源领域的纳米材料的研究,涉及了基础科学、应用纳米技术、新兴工程学等领域,以开发和应用基于纳米材料的新型能源系统和器件为研究核心。目前具体从事开发不同方法来合成低维纳米材料,如碳纳米管,石墨烯,半导体和金属纳米线,纳米颗粒,薄膜和它们的复合材料,它们可作为能量转换和存储的电化学电极,包括燃料电池,锂离子电池和锂空气电池。同时,孙教授也利用高级表征技术如同步分析来分析材料的合成、性能、应用之间的相关性,与T.K. Sham教授在同步分析方面有密切的合作。同时,孙教授与公司和政府实验室(如巴拉德动力系统、通用、加拿大Phostech公司以及加拿大国防部)也开展了相关合作研究。
版权声明:
1) 本文仅代表原作者观点,不代表本平台立场,请批判性阅读。
2) 本文内容若存在版权问题,请联系我们及时处理。
3) 如作者对该文章有误解误读,请联系我们进行修改,欢迎各位老师进行批评指正。
4) 本文版权归科学材料站公众号所有,翻版必究。
投稿请联系contact@scimaterials.cn

