Available online 28 April 2020
导读
仿真结果证实,界面处的锂离子迁移与阴离子物理特性密切相关。结合实验和计算结果可以推断出锂离子的活化能(Ea)包括Janus界面,阴离子吸附层和阳离子吸附层。由于相同的Janus界面和阳离子吸附层,四种电解质中Ea的差异必须来自内亥姆霍兹平面(IHP)中的阴离子吸附层。这项工作对开发水性电解质系统具有指导意义。
关键词
固液界面;亥姆霍兹平面;磷酸铁锂;可充电锂电池
背景简介
1. 锂离子正极材料界面结构的研究现状
1. 最近的研究进展及存在的问题
图1. 图片概要
文章介绍
基于以上现状,北京大学潘锋团队在国际知名期刊Nano Energy 上发表题为“The role of anions on the Helmholtz Plane for the solid-liquid interface in aqueous rechargeable lithium batteries”的论文。Jiangtao Hu为本文第一作者。
在这项工作中,作者改进了以前的单颗粒(SP)模型,以处理更宽的温度范围,以探索阴离子在水性电解质中的作用。在不同的电解液(1 M LiNO3,1 M LiCl,0.5M Li2SO4和1 M CH3COOLi)和不同温度下测试了LiFePO4的准单粒子(QSP)电极。
通过对四种电解质的循环伏安曲线(CV)进行仿真和比较,作者发现锂离子嵌入和脱嵌间的标准速率常数(k0)与离子半径有很强的关系:离子半径越大,k0值较小。此外,阴离子和锂离子之间的相互作用对于锂离子的运输也很重要,例如虽然CH3COOLi具有最短的半径,与LiNO3和LiCl相比,由于CH3COO之间的强相互作用,锂离子的传输速度较慢。
通过理论九三,作者证明了不仅H2O,而且阴离子在真空条件下都可以实现界面重建并形成八面体结构,但是H2O在实际液体环境中具有优先权。在水性电解质中,阴离子将通过静电相互作用在Janus LiFePO4 / H2O内部亥姆霍兹平面(IHP)旁被吸收,吸收层的厚度(d值)对锂离子在电解质和活性材料之间的传输有很大影响。
文章亮点
1、首次通过与我们开发的LiFePO4纳米粒子系统和从头算计算相结合,探索了阴离子对表面重建以及亥姆霍兹平面与锂离子在固液界面上的迁移的影响。
2、通过从头算计算,我们证明了不仅H2O,而且阴离子在真空条件下都可以实现界面重建并形成八面体结构,但是H2O在实际液体环境中具有优先权。
图2.结构、形貌、充放电曲线及CV曲线图
(a) The XRD data of LiFePO4.
(b) SEM image of the QSP electrode, obviously, the electrode materials scattered very well in the CNT network.
(c) Charge-discharge curves of the QSP electrode in 1M LiNO3 at different temperature at 0.1C, the inserted picture is partial enlarged detail of c, which shows us the polarization voltage in different temperature.
(d) The normalized CV curves of the LiFePO4 QSP electrode measured in 1M LiNO3.
(e and f) The difference of normalized CV curves measured in different electrolytes at 0°C, the Full Width at Half Maximum (HWHM) data of each curves are listed and inserted into (e) and (f).
图3. LiNO3中的放电曲线及不同温度下QSP电极的CV曲线
(a) The normalized discharge curve of QSP electrode measured in 1 M LiNO3, which was divided into three parts for convenience of simulation.
(b) The CV curves of QSP electrode tested in 1 M LiNO3 at different temperature, the dotted lines are the simulation curves by the updated SP-model.
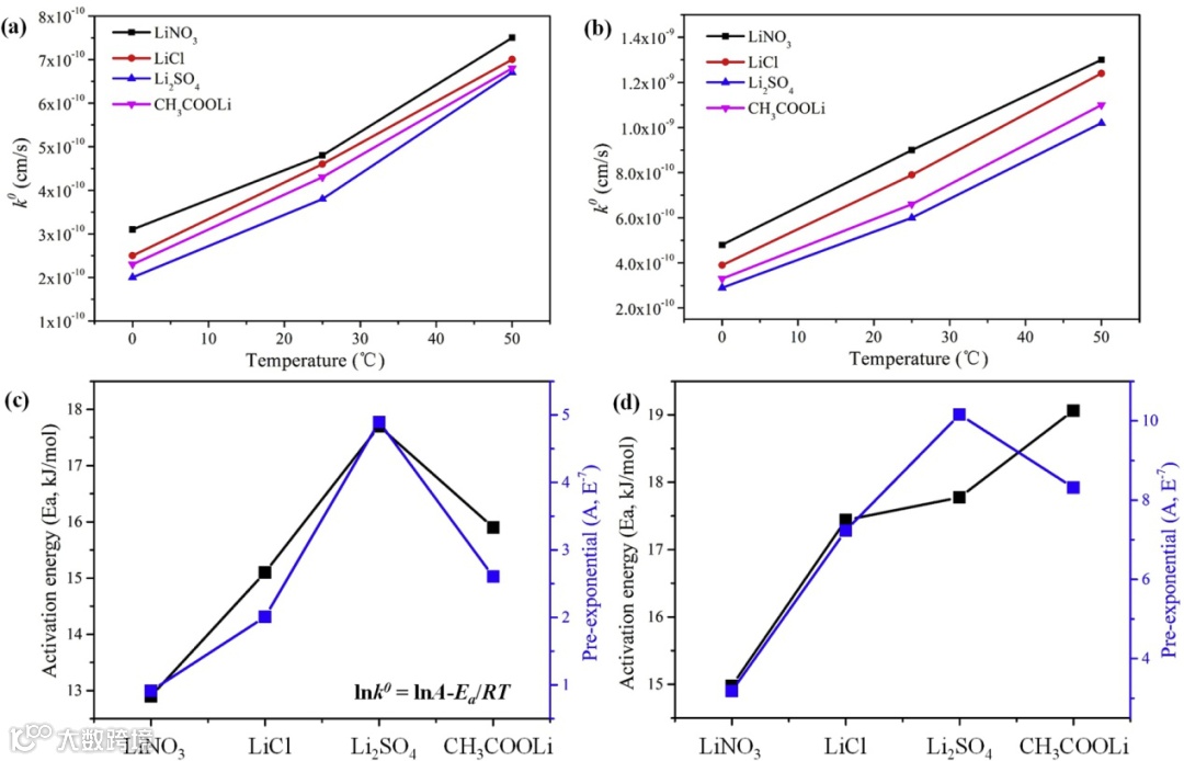
图4. 不同电解质中充放电时k0和温度关系曲线以及LiFePO4 的Ea和A曲线
The relationship between standard rate constant (k0) and temperature (T) in different electrolytes during (a) charge and (b) discharge processes. Activation energy (Ea) and pre-exponential (A) of LiFePO4 in different electrolytes, calculated by Arrhenius equation during (c) charge and (d) discharge processes.
图5. 结构模型
(a) The structure of (0 1 0) surface of FePO4 with (b) H2O adsorbed, (c) Cl- adsorbed, (d) NO3- adsorbed, (e) CHCOO- adsorbed and (f) SO42- adsorbed. (g) The structure of pristine (0 1 0) surface of FePO4.
The structure of (0 1 0) surface of LiFePO4 with (h) H2O adsorbed, (i) Cl- adsorbed, (j) NO3- adsorbed, (k) CHCOO- adsorbed and (l) SO42- adsorbed. (m, n) the detailed Janus solid–liquid interface structure of LiFePO4 and FePO4 built by H2O.
(o) The binding energies of the Slab-H2O and Slab-Anion-Li+ models of FePO4 and LiFePO4.
(p) The binding energies with de-solvation energy taken into consideration of the Slab- H2O and Slab-Anion-Li+ models of FePO4 and LiFePO4.
The structure of “Janus” solid-liquid interface reconstructed by Li+(H2O)2 on (010) surface of LiFePO4 with (q) H2O, (r) Cl-, (s) NO3- , (t) CHCOO- and (u) SO42- adsorption.
图6.阴离子对锂离子从电解质向电极传输的影响的示意图和Li+的迁移能垒与内亥姆霍兹平面(IHP)和外亥姆霍兹平面(OHP)的关系图
(a) Schematic descriptions of the effect of anion on Li-ion transport from electrolyte to electrode.
(b) The relationship of migration energy barrier of Li+ with the inner Helmholtz plane (IHP) and outer Helmholtz plane (OHP).
文章链接:
https://www.sciencedirect.com/science/article/abs/pii/S2211285520304213#!
导师简介:
潘锋 教授,博士生导师
北京大学深圳研究生院新材料学院创院院长, 美国劳伦斯伯克利国家实验室高级访问科学家。2016年作为首席科学家组织11家单位(8所大学+深圳超算+2家深圳百亿产值的电池企业)承担国家材料基因组平台重点专项(“基于材料基因组的全固态锂电池及关键材料研发”)。潘锋教授在SCI收录国外期刊发表近250多篇技术论文和书章,被Elsevier列为2015,2016和2017年中国高被引学者(Most Cited Chinese Researchers)之一,2018年获得美国电化学协会“ECS电池领域科技创新奖”。3项国际发明专利,近80项国内专利申请。
版权声明:
1) 本文仅代表原作者观点,不代表本平台立场,请批判性阅读。
2) 本文内容若存在版权问题,请联系我们及时处理。
3) 如作者对该文章有误解误读,请联系我们进行修改,欢迎各位老师进行批评指正。
4) 本文版权归科学材料站公众号所有,翻版必究。
投稿请联系contact@scimaterials.cn

