
Available online 19April 2020
北京化工大学
【本文亮点】
(1)作者提出了一种将二维T3C2Tx-MXene纳米片直接转化为三维碳包覆MXene结构的简单方法。
(2)采用多巴胺在T3C2Tx纳米片表面自聚合、炭化的方法合成。
(3) 三维碳包覆结构可以保护T3C2Tx免受空气氧化和结构聚集的影响。
(4) 作为锂离子电池和钠离子电池的负极材料,它具有高容量和优良的倍率性能。
【关键词】
MXene,碳层,银耳状结构,锂离子电池,钠离子电池
【导读】
Mxene由于其高容量电容和稳定的能量分布,近年来成为一种很有前途的储能器件。然而,Mxene易发生表面氧化和层间再堆积,影响了其在储能领域的实际应用。
本文提出了一种简单的方法,直接将2D T3C2Tx Mxene纳米片转换为3D碳包覆T3C2Tx结构。通过多巴胺在MXene表面自聚合,然后冷冻干燥和炭化,制备了纳米杂化材料。多巴胺的自聚合不仅促进了2D-T3C2Tx片向3D银耳状结构的转变,且随后的炭化作用导致了一层薄碳包覆的完全覆盖,该包覆层保护了结构免受空气氧化和结构聚集的影响。在用作锂和钠离子电池的负极材料时,实现了快速电荷传输、超高容量、优异的速率性能和长循环性。

【背景介绍】
1.MXene简介
MXenes是最近引入的一组二维材料,由于其引人注目的物理和化学特性,在能源界引起了极大的关注。这些以M n+1XnTx为代表的过渡金属碳化物或氮化物可以通过从它们的三元前体(即Mn+1AXn相)蚀刻‘A’层而容易地合成,其中‘M’是早期过渡金属,而‘A’是周期表中13到14组的元素,X是C或N,N = 1–4,“Tx”代表表面终端,如-OH、-O、-F和-Cl。
2. MXene的特性与应用前景
二维层状表面积、高亲水性和可调表面功能性使Mxene成为一种多用途材料,具有各种应用所需的特性。与石墨烯不同,Mxene的化学多样性使其成为各种应用的潜在材料。例如,端接的Cr2CTx和Cr2NTx以其反铁磁特性而闻名,而Cr2NO2只能表现出铁磁特性,而含Mo的Mxene则显式地显示出类似半导体的特性。
在众多可用的Mxene中,Ti3C2Tx是最常见和研究最广泛的成员之一。类似石墨烯的特性,加上高亲水性和极性表面终止,使Ti3C2Tx成为储能、催化、电磁干扰屏蔽、分离膜和传感器的良好候选材料。
与石墨烯相反的是,Ti3C2Tx及其杂化衍生物以其具有赝电容特性的增强体电容而闻名,使其成为超级电容器、锂/钠离子电池、锂硫电池和锂金属电池领域很有前景的材料。对于锂离子电池,Ti3C2Tx的理论锂扩散势垒(0.07 eV)比石墨碳(0.3 V)相对较低,这为Ti3C2Tx提供了支持锂离子快速传输和更高速率性能的能力。
3. MXene与生俱来的缺点和改进策略
现在,尽管Ti3C2Tx基负极具有诱人的能量分布,但由于各种二维材料中普遍存在的范德华相互作用,Ti3C2Tx基负极对层的再堆积非常敏感。这样的表面堆积抑制了电解离子的易接近性,同时降低了电荷转移路径,从而损害了MXene作为电池负极材料的真正潜力。此外,Ti3C2Tx-MXene极易氧化,导致T-C键完全转变为TiO2颗粒和碳,严重影响其储能能力。
为了克服上述瓶颈问题,作者考虑了各种策略,包括使用模板、自组装和机械剪切。在最近的方法中,将2D MXene片转换为3D架构也被证明是有效的。在此背景下,Xiu等人提出了MXene的三维层次结构,并用简单的喷雾干燥方法得到。具有无聚集网络的三维结构认可了更高的表面积和更高的导电性,从而使所构建的阳极显示出相对优越的性能。
同样,Gogotsi等人报道了用PMMA模板法制备的MXene基空心球薄膜。与二维薄膜相比,在SIBs中的性能有所提高。MXenes与传统电活性材料如碳纳米管、导电聚合物和石墨烯的集成也被认为是一种可行的选择,因为这两种活性成分的并列可以以互补的方式相互促进。
在最近的研究中,Ren等人介绍了利用暴露的活性中心和缩短的Li+扩散路径制备MXene/CNTs多孔膜,该多孔膜在LIBs中表现出更强的容量和更高的速率性能。尽管将2D-MXene转换为3D架构可能会克服再堆叠问题,但在MXene被设想用于LIBs的实际应用之前,控制不希望的氧化是另一个需要解决的挑战。因此,设计一种简单而有效的策略是至关重要的,该策略允许在不损害Ti3C2Tx的组成完整性和固有稳定性的情况下,将2D-Ti3C2Tx轻松转换为具有外露表面的3D架构。
【核心内容】
近日,北京化工大学徐斌教授团队提出了一个简单而有效的策略来获得一种新型的银耳状的碳包覆Ti3C2Tx(T-MXene@C)三维结构,作为LIBs和SIBs的有效负极材料。采用惰性气体碳化,多巴胺在纯Ti3C2Tx纳米片上自聚合,得到了独特的结构。多巴胺的自聚合促进了Ti3C2Tx向银耳状3D结构的转变,碳化后形成一层薄薄的碳膜,保护了暴露的表面,防止了空气氧化和结构聚集。
为了充分了解T-MXene @ C的潜力,作者对冷冻干燥的Ti3C2Tx(f-MXene)和热处理的Ti3C2Tx(h-MXene)进行了竞争性的电化学测量。其中,具有外露和稳定表面的3D结构(T-MXene@C)能够在用作锂(LIBs)和钠离子电池(SIBs)的负极材料时支持更快的电荷传输、超高容量、优越的速率性能和扩展的循环稳定性。
总的来说,T-MXene@C的相对优越的性能使其成为一种理想的能源应用材料,而同时控制Ti3C2Tx的形貌和稳定性是进一步预测MXene在储能器件中与石墨烯具有优异的互易性。

图1. 材料合成示意图和表征
(a) Schematic diagram generalizing the preparation of T-MXene@C. (b) SEM image, (c) Low-magnification TEM, (d) High-magnification TEM and (e) STEM images with representative EDS mapping indicating the distribution of Ti, C, O and N elements of the T-MXene@C.

图3. T-MXene@C、f-MXene和h-MXene储锂性能对比
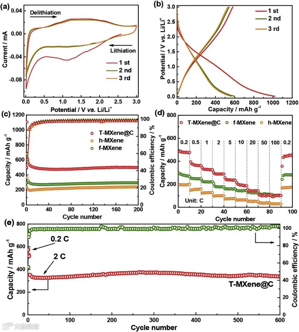
Lithium-ion storage study of T-MXene@C. (a) CV profiles in the potential window of 0.01–3 V at a scan rate of 0.1 mV s−1, (b) initial three charge/discharge curves at a current rate of 0.2 C, (c) cycling performance at a current rate of 0.2 C, (d) rate performance of T-MXene@C in comparison to f-MXene, and h-MXene, (e) long-term cycling performance (600 cycles) of the T-MXene@C at 2 C (1C = 320 mA g−1).

图5. T-MXene@C、f-MXene和h-MXene储钠性能对比
Fig. 5. Sodium-ion storage behaviors of T-MXene@C in comparison to f-MXene, and h-MXene. (a) CV profiles of T-MXene@C measured within the potential window of 0.01–3 V at a scan rate of 0.1 mV s−1, (b) corresponding competitive cycling performance at a fixed current density of 0.05 A g−1, (c) rate performance at different current densities, (d) long-term cycling performance of T-MXene@C at 1 A g−1 with 3000 cycles, (e) the Na+ diffusion coefficients estimated from the GITT potential profiles, (f) CV curves for T-MXene@C at different scan rates, (g) the plot of corresponding current log(i) and log (v), (h) bar-graph depicting capacitive and diffusion controlled current contribution when scan rate changes from 0.2 to 10 mVs−1.
文章链接

老师介绍:
徐斌 教授/博导
研究领域
先进化学电源与能源材料
超级电容器
先进二次电池(锂/钠/钾离子电池、锂-硫电池)
电化学储能多孔/纳米炭材料
新型二维MXene材料及其复合材料
环境催化材料
承担科研项目
作为课题负责人先后主持国家自然科学基金项目(3项)、国家863课题(2项)、国家重点研发计划子课题、北京市科技计划课题、北京化工大学高层次引进人才启动项目、横向课题等,作为骨干成员参加国家973、国家863等课题多项。
研究成果及获奖情况
长期从事先进化学电源与能源材料的研究与开发,兼任材料电化学过程与技术北京市重点实验室副主任、中国超级电容产业联盟副秘书长、Advanced Functional Materials 客座编辑、 Nano-Micro Letters 编委和Chinese Chemical Letters 通讯编委。在Advanced Materials, Advanced Energy Materials, Advanced Functional Materials, Energy & Environmental Science, ACS Energy Letters, Nano Energy等期刊共发表SCI论文100余篇,其中第一/通讯作者影响因子大于10的论文19篇,SCI总引用5500次以上,H因子40,10篇论文入选ESI高被引论文。申请国家发明专利20余项,获全国优秀博士学位论文提名和省部级科技进步二等奖2项。
版权声明:
1) 本文仅代表原作者观点,不代表本平台立场,请批判性阅读。
2) 本文内容若存在版权问题,请联系我们及时处理。
3) 如作者对该文章有误解误读,请联系我们进行修改,欢迎各位老师进行批评指正。
4) 本文版权归科学材料站公众号所有,翻版必究。

