关注我们
First published: 06 May 2020
关键词
DFT计算, 电极磁性MOF, 金属有机框架, 半导电MOF, 超级电容器
导读
本文报道了第一种半导体和磁性膦酸盐金属-有机骨架(MOF)TUB75,它包含一个1D无机建筑单元,该单元由一个锯齿形的角共享铜二聚体链组成。TUB75的固态UV-vis光谱揭示了1.4eV窄禁带的存在,这与密度泛函理论(DFT)计算的1.77eV禁带一致。在室温下,对单个晶体不同取向的单晶电导进行测量可产生10-3至103S m-1的一系列电导,这表明TUB75中电导的方向性。磁化强度测试表明,TUB75由反铁磁耦合的铜二聚体链组成。由于其丰富的结构化学和极高的热/化学稳定性,TUB75等膦酸盐MOF有望为超级电容器的工程电极开辟新的前景。
背景简介
1. MOF的性能和应用简介
金属-有机骨架(MOF)是21世纪初出现的一类新型微孔材料。它们由无机建筑单元(IBU)和有机连接体组成,它们结合在一起形成微孔骨架。由于有机连接体的几何形状和官能团的广泛性,孔表面的后合成改性选择,许多不同的MOF化学应用已经出现,包括小分子储存,温室气体隔离, 药物递送,和解毒剂和IBUs的存在已经导致在多相催化,磁性方面和导电性的应用,磁性MOF最近引起了极大的关注,因为它可以通过改变孔隙位置的主客体相互作用或利用MOF呼吸引起的结构变化来产生可调磁性材料;与活性炭电极相比,导电MOF有望成为具有更高和可定制表面积的下一代多孔电极材料。
2. 传统MOF的转变
传统的MOF主要依赖于被广泛称为桨轮模式的分子IBU, 要基于分子IBU合成磁性MOF,IBU必须彼此足够近才能产生所需的磁性相互作用。通常,较短的连接体如CN或偶氮连接体使无机组分之间的磁性相互作用成为可能。此外,可以产生自由基的连接体可用于制造具有磁性的MOF。然而,由于MOF化学已经朝着在更大的表面积上使用更长的有机连接物的方向发展,分子间的距离增加了,从而降低了用分子间的IBU构建磁性MOF的可能性。因此,需要新的结构策略来合成磁性MOF。沿着这些路线,1D和2D离子束可以为磁相互作用提供一个更合适的平台,因为金属中心可能在这种几何结构中彼此接近。在高温和水热反应条件下合成的MOF通常形成1D链离子束。
3. 导电MOF的构造面临的挑战
导电MOF的构造需要更精细的设计元素, 例如,已知高度共轭的连接物,如酞菁或卟啉与邻二亚胺、邻二羟基和偶氮金属结合单元,通过由单个金属离子组成的分子IBU连接,可产生导电性。由于单一氮供氧连接体的金属结合模式数量有限,以及这些体系中金属结合的高度保守性质,导电MOFs的设计进展受到限制。构建下一代导电MOF需要能够产生丰富结构多样性和导电性的替代金属结合单元。
文章介绍
结合使用高温下的Heisenberg链模型和低温下的布里渊函数,可以很好地拟合温度相关的磁化率数据。我们的实验测量伴随有DFT计算,得出的带隙为1.77 eV,与实验值完全吻合,并支持IBU的AFM性质。鉴于膦酸酯MOF的高热/化学稳定性以及膦酸酯的多种金属结合模式,我们的发现表明它们可用于能够承受恶劣工作条件的下一代电极和超级电容器。膦酸酯MOF的巨大结构多样性可能会导致新一代具有可控表面积和磁/导电性能的多孔材料。目前,我们正在研究膦酸酯MOF的网状化学,以探索这些可能性。
文章亮点
图二: AFM配置中TUB75的向上和向下旋转投影状态密度。
A) Copper.
B) Carbon.
C) Nitrogen.
D) Phosphorous.
E) Oxygen.
图三:
A) Spin‐up and spin‐down projected density of states of the 1,4‐NDPA and 4,4′‐bpy carbons for TUB75 in the AFM configuration.
B) Indirect Tauc plot derived from the UV–Vis absorption spectrum of TUB75 (shown in Figure S2, Supporting Information), revealing a typical semiconductor pattern and a bandgap of Eg = 1.4 eV.
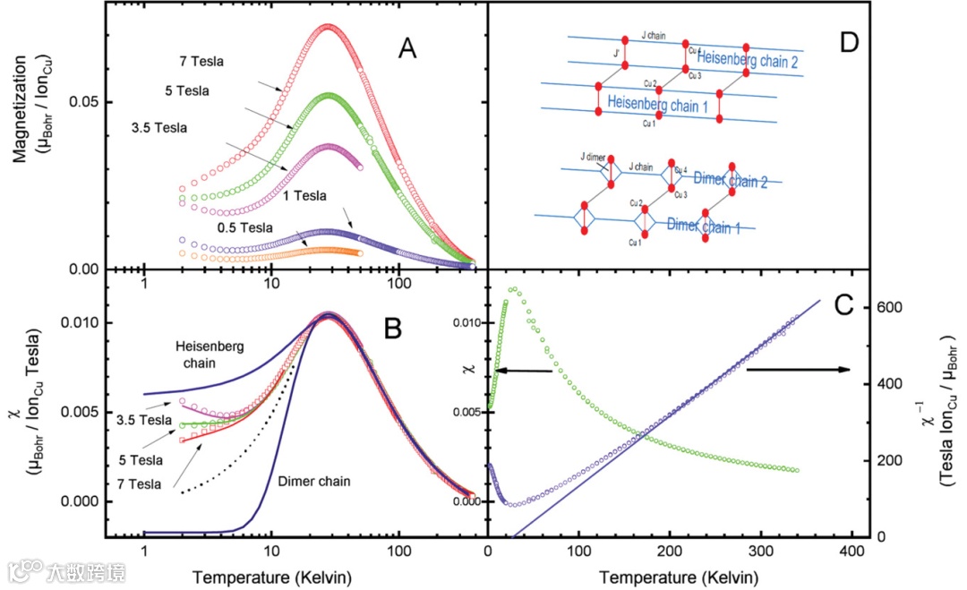
图四: TUB75的磁响应数据.
A) Magnetization versus temperature data for TUB75 in different applied magnetic fields.
B) Magnetic susceptibility, χ, (colored circles) obtained from the magnetization data along with fits (solid blue lines) to the Heisenberg chain and dimer chain models. The upturn in the low‐temperature signal (<10 K), which is suggestive of the presence of paramagnetic impurities, is fit by Brillouin functions (solid colored lines) with a baseline signal (dotted black line).
C) Magnetic susceptibility (green circles) obtained in a 5 T magnetic field, corrected for the diamagnetic background, and the inverse susceptibility (purple circles) on which a Curie–Weiss high‐temperature linear fit is shown (solid purple line).
D) Schematic pictures of Heisenberg chains and dimer chains, the models used to fit the magnetic susceptibility data. See Supporting Information for details.
图五: 最小能量结构
Minimum energy structure of the 1 × 3 × 1 supercell depicting the antiferromagnetic configuration of the electrons on each copper (α‐spin: red, β‐spin: blue). Color definitions: O—red; N—orange; Cu— cyan; C—black; P—blue; H—white.
图六: IBU一部分的自旋密度等值面。
β/α spin density is shown in blue/red and corresponds to a difference between the spin‐up and spin‐down density of 0.005 electrons per Å3. Color definitions: O—red; N—orange; Cu—cyan; C—black; P—blue; H—white.
文章链接:
https://onlinelibrary.wiley.com/doi/10.1002/adma.202000474
版权声明:
1) 本文仅代表原作者观点,不代表本平台立场,请批判性阅读。
2) 本文内容若存在版权问题,请联系我们及时处理。
3) 如作者对该文章有误解误读,请联系我们进行修改,欢迎各位老师进行批评指正。
4) 本文版权归科学材料站公众号所有,翻版必究。
投稿请联系contact@scimaterials.cn

