全固态锂硫电池是近年来发展起来的一种新型超高能量密度电池。另外,固体电解质的高机械强度可以抑制金属锂枝晶的生长。然而,反应动力学和循环稳定性差是全固态锂硫电池面临的重要挑战。此外,硫的绝缘性和充放电过程中体积膨胀大也是不容忽视的问题。因此,研制高活性、稳定的正极/电解质界面是实现高性能全固态锂硫电池的关键。
近日,华中科技大学谢佳教授课题组报道了一种Te掺杂和Li7P3S11包覆同时使用的策略,可以大大提高全固态锂硫电池硫正极的活性和稳定性。首先,该工作对S@pPAN进行Te元素的掺杂得到Te0.05S0.95@pPAN。然后,通过液相原位反应在其表面包覆一层快离子导体Li7P3S11固体电解质提高了硫正极的电化学性能。由于Te掺杂和固体电解质表面包覆的协同作用,硫正极与电解质的反应动力学和界面相容性得到显著改善。在室温下,组装的全固态电池具有良好的倍率和长循环性能,可逆容量为1173.1 mAh g-1,循环稳定性达到500次。
本文的第一作者是华中科技大学博士后张薇,本文通讯作者是谢佳教授。这篇文章发表在国际知名期刊Nano energy上:Elevating reactivity and cyclability of all-solid-state lithium-sulfur batteries by the combination of tellurium-doping and surface coating.
要点一:原位液相法合成Li7P3S11包覆的Te0.05S0.95@pPAN。
图1. Li7P3S11包覆的Te0.05S0.95@pPAN合成示意图。
图1显示Li7P3S11包覆Te0.05S0.95@pPAN的合成路径图。
首先通过球磨将Te0.05S0.95@pPAN与碳纳米管均匀混合,然后通过液相原位反应在其表面包覆一层超薄Li7P3S11固体电解质。
要点二:XRD和高分辨HR-TEM证明Te掺杂S@pPAN正极表面包覆层Li7P3S11的存在。
图2. Te0.05S0.95@pPAN电解质包覆前后的结构表征图。
(a)XRD图;(b-c)FT-IR图;(d)Raman图。
图2为Te0.05S0.95@pPAN电解质包覆前后的结构表征图。XRD和FT-IR从光谱的角度证明了包覆层Li7P3S11的存在。
在图2(a)的XRD比较中,Te0.05S0.95@pPAN以及S@pPAN的XRD具有相似的衍射图,两者都有一个(002)面的宽峰,对应于24.6°的石墨化碳,表明Te0.05S0.95@pPAN以及S@pPAN具有相似的化学结构,两者都以无定形的形式存在。在Te0.05S0.95@pPAN表面涂覆一层LPS电解质后,在2θ=17.5°、18.2°、23.2°和29.8°处出现新的特征峰,与Li7P3S11的峰相吻合,证明了Li7P3S11的存在。
在图2(b-c)的FT-IR中,少量的Te掺杂不会改变S@pPAN结构。S和C通过S-C键在分子尺度上均匀分散在导电碳网络中。
在图2(d)的拉曼光谱中,S@pPAN,Te0.05S0.95@pPAN和Te0.05S0.95@pPAN@Li7P3S11在1345cm-1和1595cm-1处有两个宽的特征峰。分别对应于碳化后的无序石墨(D带)和结晶石墨(G带)。
同时,Te0.05S0.95@pPAN@Li7P3S11在410cm-1和426cm-1处出现新的特征峰,分别对应于Li7P3S11中的P2S7 4-和PS4 3-。
图3 Te0.05S0.95@pPAN电解质包覆前后的电镜图。
(a)Te0.05S0.95@pPAN的SEM图;(b)Te0.05S0.95@pPAN的TEM图;(c)Te0.05S0.95@pPAN@Li7P3S11的SEM图;(d)Te0.05S0.95@pPAN@Li7P3S11的TEM图;(e)Te0.05S0.95@pPAN@Li7P3S11的高分辨HR-TEM图;(f)Te0.05S0.95@pPAN@Li7P3S11的选区电子衍射图;(g-i)Te0.05S0.95@pPAN@Li7P3S11的TEM EDS mapping图。
图3显示了Te0.05S0.95@pPAN电解质包覆前后的SEM和TEM图像。如图3(a,b)所示,e0.05S0.95@pPAN呈规则形状的球形纳米粒子,直径约为200纳米。加入CNT和Li7P3S11包覆后,Te0.05S0.95@pPAN@pPAN仍然可以保留原来的形状,但表面更加粗糙(图3(c,d))。
在图3(e)的HR-TEM表面,包覆在Te0.05S0.95@pPAN表面上的Li7P3S11的厚度约10纳米,Li7S3S11的晶面((2-1-1)和(1-33))晶格条纹和相应的选区电子衍射图进一步证明了Li7P3S11的存在(图3(f))。在图3(g-i)的TEM-EDS图中,元素P和Te的重叠可以进一步证明表面包覆层的存在。
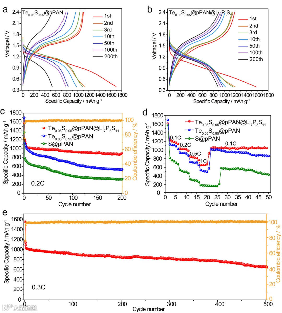
要点3:得益于Te掺杂和Li7P3S11包覆的协同效应,全固态电池的长循环性能和倍率性能显著提升。
图4. Te0.05S0.95@pPAN电解质包覆前后的储锂性能图。
(a)Bare Te0.05S0.95@pPAN复合材料在不同循环次数下的充放电曲线图;(b)Te0.05S0.95@pPAN@Li7P3S11复合材料在不同循环次数下的充放电曲线图;(c)Te0.05S0.95@pPAN电解质包覆前后的循环性能图,电流密度为0.2C;(d)Te0.05S0.95@pPAN电解质包覆前后的倍率性能图;(e)Te0.05S0.95@pPAN@Li7P3S11的长循环性能图,电流密度为0.3C。
在室温下,全固态电池分别以S@pPAN、Te0.05S0.95@pPAN和Te0.05S0.95@pPAN@Li7P3S11为正极材料经行组装循环和倍率测试。其中,活性物质(Te0.05S0.95)的负载量为1.04-1.30 mgcm-2。可见,无论是循环还是倍率性能,未经Te掺杂修饰和未经表面处理的S@pPAN正极性能最差。对Te元素进行掺杂改性后,其性能得到了一定程度的改善。经过电解质表面包覆处理后,循环和倍率性能都有较大提高。
具体而言,在电流密度为0.2C(图4(c))下,经过200次循环后,S@pPAN容量衰减很快,只剩下324.8 mAh g-1;Te0.05S0.95@pPAN 为542.6 mAh g-1,而Te0.05S0.95@pPAN@Li7P3S11的容量高达890.1 mAh g-1。在长周期循环性能试验中(图4(e)),电流密度为0.3C时,Te0.05S0.95@pPAN@Li7P3S11的可逆容量为1173.1 mAh g-1。在500次循环后,容量为665.3 mAhg-1,表现出良好的长周期稳定性。
我们在120次循环后对正极板进行了扫描异位电镜(SEM)测试,发现Te0.05S0.95@pPAN@Li7P3S11的表面比较平整,没有明显的间隙和塌陷,说明电池在循环过程中可以保持电极结构的稳定性;从电池极片截面看,电极/电解质界面接触较紧密,未出现明显裂纹,整个电极内元素分布均匀。由此推断,Te掺杂改性和Li7P3S11的表面包覆方法在一定程度上保持了电极结构的相对稳定性,改善了电池的循环性能。
在倍率性能测试中,Te0.05S0.95@pPAN@Li7P3S11还显示出出色的倍率性能,而S@pPAN的性能最差,请参见图4(d))。在0.1C,0.2C,0.5C,1C时,Te0.05S0.95@pPAN@Li7P3S11的放电容量分别为1225.4、1031.7、848.4和668.2 mAh g-1。当电流密度回到0.1C时,Te0.05S0.95@pPAN@Li7P3S11仍具有高达1067.3 mAh g-1的容量。
不同方式改性的三种正极材料的性能差异明显,表明仅采用简单的球磨法制备的正极材料(S@pPAN)活性很低,电池容量难以发挥。加入少量相同主族的Te元素(Te0.05S0.95@pPAN)后,Te的分子水平分散和高电导率可显着加速反应动力学。如果进一步改善Te0.05S0.95@pPAN的界面,在其表面包覆一层超薄的Li7P3S11,可以大幅度改善正极/电解质界面稳定性,可以大大提高电池的性能。
要点四:增强电极/电解质界面动力学以提高全固态电池性能
图5.Te0.05S0.95@pPAN电解质包覆前后的动力学性能。
(a)过电位对比图;(b)极化电压对比图;(c)50次循环前后的阻抗变化图,(d)氧化峰的Ip-V0.5图。
为了解释Te掺杂和Li7P3S11包覆能显著提高Te0.05S0.95@pPAN性能的原因。实验中对三种正极材料组装成全固态电池时的本征电化学反应进行了进一步的表征测试。
通过比较所全固态电池的充放电过电位,我们发现Te0.05S0.95@pPAN@Li7P3S11具有最小的反应过电位(0.41V)(图5(a)),这证明Te掺杂和Li7P3S11包覆可以有效地改善电极/电解质的界面接触,降低界面阻抗,从而达到降低界面阻抗的目的,进而降低反应的极化和过电位。
GITT试验进一步表明,在间歇充放电过程中,经过足够的弛豫时间后,S@pPAN、Te0.05S0.95@pPAN和电解质包覆后的Te0.05S0.95@pPAN@Li7P3S11,所有三者都表现出单独的电压平台,表明电极反应是Li2Te0.05S0.95/Li2S和Te0.05S0.95/S的一步反应机理。
此外,Te0.05S0.95@pPAN@Li7P3S11显示出更高的容量和最小极化(图5(b))。通过比较三种材料的阻抗和锂离子扩散能力,Te掺杂和Li7P3S11包覆后的Te0.05S0.95@pPAN@Li7P3S11具有最小的阻抗和最优异的锂离子扩散能力(图5(c-d))。
本文通过液相原位反应合成了一种新型Te0.05S0.95@pPAN@Li7P3S11复合材料。通过Te掺杂和Li7P3S11包覆,大大提高了硫正极的反应活性和稳定性,全固态电池表现出优良的倍率性能和循环性能,这将为高性能全固态锂硫电池的研制提供指导。此外,通过优化电极材料改性方法和电池组装工艺,将进一步提高活性材料负载和电池性能,从而促进全固态锂硫电池的商业化。
Elevating reactivity and cyclability of all-solid-state lithium-sulfur batteries by the combination of tellurium-doping and surface coating. Nano energy, 2020. DOI: 10.1016/j.nanoen.2020.105083.
张薇现在华中科技大学电气与电子工程学院担任博士后研究员。分别在2010年和2013年于北京理工大学获得学士学位和硕士学位,2019年于武汉大学获得博士学位。研究重点是高性能Li/Na-S电池、全固态电池体系。
谢佳现任华中科技大学教授、博士生导师,国家重点基础研究计划(青年973计划)项目“高比能二次锂硫电池界面问题基础研究”首席科学家。2002年于北京大学化学与分子工程学院获学士学位,2008年于斯坦福大学化学系获博士学位;2008-2012年美国陶氏化学任资深研究员;2012年初回国,担任合肥国轩高科动力能源股份公司研究院院长,从事动力锂离子电池研发及产业化工作;2015年担任华中科技大学教授。近年来在高比能低成本电池材料与器件及其应用等方向取得了多项原创性成果,在国际核心期刊Nat. Commun.、Energy Environ. Sci.、Adv. Energy Mater.等发表论文 60 余篇。获授权专利 48 项,其中发明专利 23 项。
课题组网站:http://rest.seee.hust.edu.cn/index.htm
说明
🔹本文内容若存在版权问题,请联系我们及时处理。
🔹欢迎广大读者对本文进行转发宣传。
🔹《科学材料站》会不断提升自身水平,为读者分享更加优质的材料咨询,欢迎关注我们。
投稿请联系contact@scimaterials.cn
点击“在看”分享你的观点