作者:王冉*,王敬*,陈实,原强,李丹华,张晓燕,陈来,苏岳锋,谭国强*,吴锋
单位:北京理工大学,北京理工大学重庆创新中心,国家高技术绿色材料发展中心
近年来,随着新能源汽车行业的快速发展,电动汽车在全球范围内销量持续增长,极大地带动了锂离子电池产业的发展。高能量密度的锂离子电池赋予电动汽车更长的续航里程,目前,具备高比容量的高镍正极材料和硅基负极材料是制备高性能锂离子电池的优选。
然而,这两种材料仍各自面临诸多应用问题:如高镍正极材料在循环过程中易发生结构相变、微裂缝及过渡金属离子溶解等;硅基材料面临严重的体积膨胀问题,另外电极与电解液接触界面的不稳定也是关键问题之一。
上述这些因素严重限制了两者的商业化应用。为此科研工作者们采用了大量的表面工程技术来解决上述问题,其中表面包覆是解决电极与电解液界面不稳定的主流方法。
然而目前被报道的众多表面包覆改性工作仅仅局限于单独解决正极或负极材料存在的问题,忽略了在全电池体系中正极与负极之间相互作用的关联性,因此改性的电极材料通常只在半电池中表现出不错的性能,而非在全电池中,这也严重限制了两种关键电极材料在高性能锂离子电池中的应用。
基于以上现状,近日北京理工大学吴锋院士团队在国际顶级期刊Nano Energy (影响因子:15.548) 上发表题为“Effectively Stabilizing Electrode/Electrolyte Interface of High-Energy LiNi0.9Co0.1O2//Si-C System by Simple Cathode Surface-Coating”的研究工作。
该工作借助于配位作用机理,简单快速地在LiNi0.9Co0.1O2 (NC91)正极材料表面构筑了一层多功能硅氧烷基保护膜,该薄膜有效提升了LiNi0.9Co0.1O2//Si-C全电池体系中正负极与电解液接触界面的稳定性。
论文第一作者为北京理工大学博士研究生王冉,王敬副教授和谭国强教授为本文的共同通讯作者。
LiNi0.9Co0.1O2//Si-Graphite 全电池在正极材料表面包覆改性前后的电化学反应机理示意图。
(a)NC91和(b)NC91-1正极材料的SEM图.(c, d)NC91和(e, f)NC91-1正极材料的TEM图。
图2示例了NC91正极材料在包覆前后形貌结构的变化。图2a显示原始的NC91正极材料由众多块状的一次颗粒堆积而成,一次颗粒之间界限明显,但图2b显示经包覆后,一次颗粒之间的界限变模糊。TEM显示NC91正极材料颗粒表面光滑,为典型的层状结构,而经包覆后,颗粒表面被无定型态的薄膜均匀包裹,其厚度约为3nm,但材料主体结构依然保持层状,这表明表层包覆膜的存在不会破坏材料的晶体结构。
(a)NC91和(b)NC91-1正极材料的XRD图谱.(c)Si 2p及(d)Ni 2p XPS图谱. NC91-1样品在不同溅射深度处的(e)Si 2p及(f)Ni 2p XPS图谱. (g)不同溅射深度处Ni2+/Ni3+含量变化。
图3a和3b的XRD图谱对比表明,包覆膜不会影响材料主体的晶体结构。
图3c显示,NC91-1样品表面出现Si-O信号,证实了硅氧烷基薄膜的存在。
由于该薄膜中含有氨基基团,它可与材料表面的Ni2+发生配位作用,但图3d的Ni 2p图谱表明,这种弱的配位作用不会影响材料主体的晶体结构,这与XRD结果相一致。
对于NC91-1样品来说,在不同的溅射深度处Si-O信号基本未发生变动,这说明包覆膜可沿着一次颗粒的缝隙向内渗透,实现内部一次粒子的均匀包覆,且不会影响正极主体晶体结构。
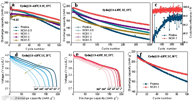
各包覆样品在(a)0.2 C及(b)1 C倍率下的循环性能测试.(c)NC91和NC91-1样品在1 C倍率下循环300周的库伦效率对比.(d)NC91及(e)NC91-1样品在特定循环周次下的放电电压曲线.(f)NC91和NC91-1样品在50 ℃高温下的循环性能. 上述测试的电压范围均为2.8-4.35 V。
图4对比了不同包覆量的NC91正极材料在半电池中的电化学性能。
图4a显示在0.1 C小电流下,当包覆量小于1 wt%时,材料的首次放电比容量不会发生大的变化;但是当包覆量超过此值时,其首次放电比容量会大幅下降,这主要与材料表层包覆膜的厚度相关,包覆膜过厚会影响增加电极的极化阻抗,阻碍锂离子的传输。当样品在0.2 C及1 C倍率下分别循环100周和300周后,原始NC91样品的容量保持率可分别从72.7%和51.7%提高至86.6%和77.2%,同时NC91-1包覆样品的平均库伦效率也远高于本体NC91样品。
此外,图4d和4e的电压曲线也充分说明包覆膜的存在可有效减缓NC91电极材料在循环过程中结构的衰退。图4f表明经硅氧烷基功能膜包覆后,材料的高温循环性能也得到显著改善。
要点3:包覆薄膜有效抑制正极材料在循环过程中表层结构相变
图5.包覆前后NC91材料在循环过程中阻抗及晶体结构演变
(a)NC91及(b)NC91-1样品在不同循环周次下的阻抗图谱.(c-g)NC91及(h-l)NC91-1样品在循环300周后的TEM及FFT图。
为了进一步探究包覆后材料电化学性能提升的机理,我们对包覆前后不同循环周次下的电池进行交流阻抗测试。
如图5a和5b所示,很明显,本体NC91材料在循环过程中阻抗的增加值要高于包覆后的NC91-1样品,这说明包覆膜可以有效稳定电极材料与电解液的接触界面,有利于降低界面处的离子传输阻力,因此NC91-1样品的电化学循环性能才会优于本体的NC91样品。
另外,我们利用HR-TEM对长循环300周后的材料进行表层晶体结构的表征。图5c显示本体的NC91材料在长时间循环后颗粒表面会被电解液侵蚀,颗粒表面会变得不规则。同时图5d-g显示,颗粒表层在数十纳米范围内会发生从层状到尖晶石相以及岩盐相的结构转变,这种非常严重的结构衰退问题是造成高镍正极材料性能下降的主要原因。
而对于包覆后NC91-1样品来说(图5h-l),其表层结构的稳定性要明显高于原本体NC91材料,并且颗粒表面的包覆膜依然还能稳定存在,这说明硅氧烷基包覆膜在酯类电解液具有很好的兼容性。
上述结果充分说明材料表面的包覆膜在长循环过程中可有效的保护NC91正极材料免受电解液的侵蚀,抑制颗粒表层发生不可逆的结构的衰退。
要点4 硅氧烷基薄膜吸附电解液中的HF从而有效提升全电池中正负极与电解液界面的稳定性
图6.LiNi0.9Co0.1O2//Si-Gr全电池的电化学性能及Si-Gr负极表面SEI膜化学成分分析
以NC91及NC91-1样品为正极的LiNi0.9Co0.1O2//Si-Gr电池的(a, b)前三周充放电曲线及(c)循环性能.长循环后的Si-Gr负极表面的(d, e)TOF-SIMs溅射曲线及(f, g)EPMA图谱,其中(d, f)匹配NC91正极,(e, g)匹配NC91-1正极。
为进一步验证该包覆薄膜在全电池中的作用,我们将NC91及NC91-1样品分别与预锂化的Si-gr负极匹配组装成pristine NC91//Si-Gr及NC91-1//Si-Gr的全电池,并对其进行电化学性能测试。图6a和6b显示,两种电池在0.1 C小电流下的可逆容量接近,同时首次库伦效率也接近于半电,说明Si-Gr负极预锂化后的能够有效补偿其首次可逆容量的损失。图6c显示NC91-1//Si-Gr电池的循环性能明显优于pristine NC9-1//Si-Gr,循环300周后的容量保持率可从58.2%提升至83.1%。
通常情况下,我们认为NC91-1//Si-Gr电池循环性能的提升主要与正极一侧在经表面包覆后其结构稳定性的提升有关,但是在实际电池中,正极和负极均会对电池的性能产生影响。在pristine NC91//Si-Gr全电池中,对于NC91正极一侧来说,在循环的过程中会发生因遭受电解液中HF侵蚀而导致的过渡金属离子的溶解问题,同时溶解的过渡金属离子会经电解液迁移至Si-Gr负极一侧,并沉积在负极表面,这会严重破坏负极表面SEI膜的稳定性,引起SEI持续生长,最终造成电池可逆容量持续下降。但在NC91-1//Si-Gr全电池中,NC91-1正极表面存在硅氧烷功能膜,它通过Si-O功能基团实现对HF的捕获,可有效抑制正极一侧过渡金属离子的溶解,进而保护Si-Gr负极表面的SEI膜,同时也降低电解液中的HF对负极一侧的侵蚀,提高全电池整体的电化学性能。
为验证上述观点,我们对两种全电池循环300周后的Si-Gr负极表面进行了TOF-SIMs及EPMA测试。图6d和6e的溅射TOF-SIMs曲线显示,在pristine NC91//Si-Gr电池中的Si-Gr负极表面的Ni的含量明显要比NC91-1//Si-Gr全电池中Si-Gr负极表面的高。同时在两种Si-Gr负极表面也检测到了与SEI膜息息相关的LiF2-、C2HO-及C3OF-成分,但非常明显的是pristine NC91//Si-Gr电池中的Si-Gr负极的SEI膜要更厚一些。同时图6f和6g的EPMA测试结果也显示NC91-1//Si-Gr全电池中Si-Gr负极Ni和F的含量均会更低一些。上述结果说明NC91材料在经硅氧烷基功能膜包覆之后可同时提升全电池中正极及负极两侧电极-电解液界面的稳定性,因此LiNi0.9Co0.1O2//Si-Gr全电池才会展现出如此优异的电化学循环性能。
在此工作中,我们借助于氨基硅氧烷与LiNi0.9Co0.1O2正极材料中过渡金属离子之间的配位作用,对其实现有效的表面包覆改性。我们发现,NC91正极表面包覆的无定型硅氧烷基薄膜因其独特的物理和化学特质,在电池中可展现出多种功能效应。一方面它可以将正极材料与电解液隔绝开来,避免两者之间产生更多的副反应, 同时可以与电解液中具有强腐蚀性的 HF发生反应将其消耗, 以此来降低其对正负极颗粒的侵蚀,这有利于提高电极材料本身以及电极-电解液界面的结构稳定性,因此其LiNi0.9Co0.1O2//Si-Gr全电池展现出了优异的电化学循环性能。总之,这种简单快捷的正极表面包覆设计有效地解决了锂离子电池中普遍存在的界面结构稳定性问题,大大提高了LiNi0.9Co0.1O2//Si-C电池体系的商业化应用前景。
Effectively Stabilizing Electrode/Electrolyte Interface of High-Energy LiNi0.9Co0.1O2//Si-C System by Simple Cathode Surface-Coating
https://www.sciencedirect.com/science/article/abs/pii/S221128552030642X
说明
🔹本文内容若存在版权问题,请联系我们及时处理。
🔹欢迎广大读者对本文进行转发宣传。
🔹《科学材料站》会不断提升自身水平,为读者分享更加优质的材料咨询,欢迎关注我们。
投稿请联系contact@scimaterials.cn
点击“在看”分享你的观点