点击科学材料站,关注我们
悉尼科技大学汪国秀教授联合日本国立材料科学研究所高義佐佐木(Takayoshi Sasaki)教授等人在国际知名期刊Nature Communicaions上发表”Strain engineering of two-dimensional multilayered heterostructures for beyond-lithium-based rechargeable batteries”一文。熊攀,张凡,张秀云为本文的共同第一作者。
导师专访
Q:该领域目前存在的问题?这篇文章的重点、亮点。
可再生能源的飞速发展引发了对大规模,高成本效益,高能量密度的固定式储能系统的巨大需求。目前广泛应用的锂离子电池,由于锂资源的分布不均匀,价格上涨及安全隐患等因素,促使人们急切需要找到可以代替其的储能技术。近来,超锂基可充电电池,例如钠,钾,锌和铝离子电池等开始受到人们的广泛关注。这些元素的含量远超过锂,并且与锂具有相似的化学性质。尤其,锌和铝离子电池由于多电子反应,可以产生更高的理论能量密度。尽管这些电池的优点令人鼓舞,但是由于缺少合适的电极材料,超锂基电池的发展受到了阻碍。
汪国秀 教授 悉尼科技大学
图1.
简要来说,本文展示了一种新型的零应变正极,通过二维多层VOPO4-石墨烯异质结构的界面应变工程,实现了多种离子(Na+、K+、Zn2+、Al3+)的可逆插层。原位表征和理论计算揭示了阳离子在二维多层异质结构中的可逆插层机制,且电极材料的体积变化可忽略不计。
背景简介
可再生能源的快速发展引发了对大规模、低成本、高能量密度的固定储能系统的巨大需求。为此,近来广泛研究了钠离子电池(SIBs)、钾离子电池(PIBs)、锌离子电池(ZIBs)和铝离子电池(AIBs)等超锂离子电池(LIBs)。其中Na、K、Zn和Al是地壳中丰富的金属元素,含量远远超过Li。
与Li的化学性质相似,Na和K具有合适的氧化还原电位,因此SIBs和PIBs具有高终端电压和潜在的高能量密度。尤其是ZIBs和AIBs,由于多电子转移反应,其具有优越的理论体积能量密度。尽管具有一定的优势,但由于缺乏合适的电极材料,这些超LIBs的发展受到了阻碍。
导师专访:汪国秀教授
Q:该工作有哪些重要意义?
该工作首次在电化学储能反应种引入界面应变工程的策略,实现了超锂基电池(Na, K, Zn, Al)的高能量密度和优异的循环稳定性,有望成为下一代高能量密度,低成本和大规模储能应用的候选者。
应变工程的策略可以扩展到许多其他纳米材料,我们的研究结果为接下来合理设计电极材料,以实现超锂基的高能量存储系统带来了新的途径。
核心内容
-
本文利用二维多层VOPO4-石墨烯异质结构的界面应变工程,制备了一个零应变正极,该二维多层异质结构正极可以进行多种超锂离子的可逆夹层,体积变化可以忽略不计。 -
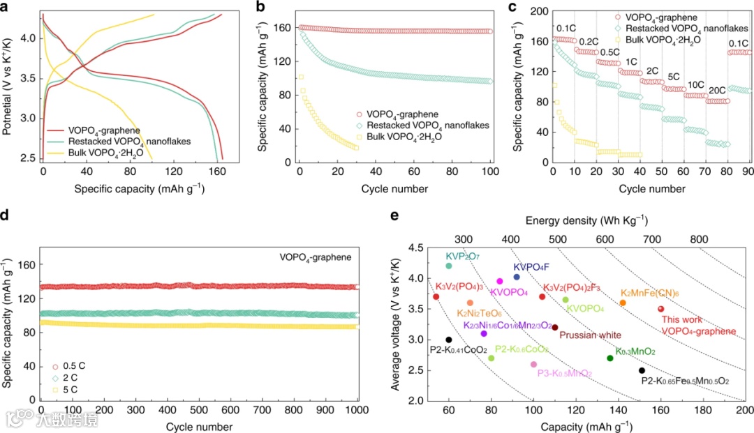
采用该二维多层异质结构作为正极,实现了稳定的可逆容量为160 mA h g-1、高能量密度为约570 W h kg-1的高性能K+离子电池。 -
此外,作为Na+、Zn2+和Al3+离子电池的正极,二维多层异质结构也可以提供高循环稳定性。 应变工程的策略为合理设计电极材料提供了一个新思路,并且可以应用于其他纳米材,该策略对实现超锂离子化学的高能量存储应用具有重大意义。
第一作者专访
Q1. 该研究的设计思路和灵感来源?
界面处的应变工程是控制2D材料特性的有效方法,已在电子学和催化领域得到了广泛的证明。直到最近,才有报道称,二维碳-MoS2异质结构纳米片的界面应变工程可以控制MoS2插入锂的电化学反应性。理论计算也表明,通过应变工程可以二维调节过渡金属碳化物的储锂能力。
我们团队在前期已经开发了多种二维异质结构/超晶格(Adv. Mater. 2020, 32, 1902654; Nano Lett. 2019, 19, 4518; Energy Storage Mater. 2019, 19, 281; ACS Nano 2018, 12, 12337; ACS Energy Lett. 2018, 3, 997; ACS Nano 2018, 12, 1768)。这些二维异质结/超晶格是由不同的二维单层纳米片相互交替面面组装而成,可以看作是一种新型的层状电极材料,其层间理论上可以用于许多碱金属离子的插层反应。由于不同纳米片面内晶格不匹配等因素,在二维异质结/超晶格界面处会产生界面应变。
这些界面应变作用使得相邻纳米片之间在面内和垂直面内方向上具有强的相互作用。在插层反应中,外来离子的插层往往会在层状材料垂直面内的方向上产生向外的膨胀力。基于这些开创性的结果,我们预期2D异质结构的界面应力作用可以适应这些超Li+(如Na+,K+,Zn2+, Al3+)的嵌入带来的体积膨胀,从而获得高度稳定的循环寿命。
材料合成:
该实验中材料合成具有一定难度,如何获得稳定高质量的VOPO4纳米片以及VOPO4与石墨烯纳米片的有序堆叠是该实验的关键。在报道的工作中,往往采用直接溶剂超声剥离块状前驱体的方法来获得VOPO4纳米片。然而,采用该方法获得的纳米片厚度不均匀,产量低。
在此工作中,我们采用插层剥离的方法来获得高质量的VOPO4纳米片。先在块状前驱体中预插层有机小分子,扩大层间距,降低层间相互作用,接着采用溶剂超声剥离。所获得纳米片尺寸均一,产量高。获得均一厚度的VOPO4纳米片是实现接下来有序堆叠制备二维多层异质结的关键。
材料表征:
本文依据报道过的手段,采用拉曼光谱对界面应力进行表征。采用此方法需要对样品多个地方的信号进行采集,然后对所获得的数据进行分析整理统计,才能获得有效的结论。
本文对钠离子电池和钾离子电池进行了原位XRD表征测试,原位XRD结果很好地证明了该二维多层异质结构在充放电过程中的稳定性。然而,由于原位XRD测试具有很多干扰因素,如信号不强,杂峰较多等,实验初期花了较多精力排除干扰因素。
电化学测试:
本文中验证了该二维多层异质结构材料对钠、钾、锌、铝离子具有稳定的存储能力,验证了其优越性。我们实验室对钠和锌电体系的工艺较为成熟,因此比较顺利。钾电和铝电工艺经过不断尝试和优化才得以克服。
Q3.该报道与其它类似报道最大的区别在哪里?
该工作报道了一种新型的可应用于超锂基电池的零应变正极材料。由于大的离子半径所带来的体积膨胀等影响,纯的VOPO4纳米片在嵌入脱出K离子之后,结构迅速坍塌,循环稳定不佳。这与大部分报道的结果类似。然而将VOPO4纳米片与石墨烯组装成二维异质结后,循环稳定性得到大大提升。
原位研究结果表明,Na/K离子在二维异质结构的层间进行可逆的嵌入脱出反应,且整个过程所产生的体积膨胀可以忽略不记(小于2%)。进一步将这种二维异质结构运用到锌和铝离子电池中,也表现出比纯VOPO4纳米片优异的循环稳定性。这种具有零应变、可适用于不同金属离子可逆插层反应的正极材料鲜有报道。
图2. 二维VOPO4-graphene多层异质结构表征
图3. 钾离子零应变嵌入过程
图4. 钾离子存储和扩散理论模拟分析
图5.钾离子电池电化学性能
图6. 钠离子电池,锌离子电池和铝电池电化学分析
熊攀 目前任职南京理工大学 化工学院 软化学与功能材料教育部重点实验室 教授。曾任职澳大利亚悉尼科技大学博士后研究员,日本国立材料科学研究所JSPS博士后,美国德克萨斯大学奥斯汀分校访学博士。主要研究方向为二维多功能纳米材料,发表第一作者/通讯作者SCI论文24篇,其中影响因子大于10的15篇,包括Nat. Commun.、Adv. Mater.、ACS Nano, Nano Lett.、ACS Energy Lett.等。
投稿请联系contact@scimaterials.cn
点击“在看”分享你的观点![]()

