文章信息
研究背景
文章简介
要点解析
图1. 3多孔复合光催化剂合成示意图。
图2. 催化剂结构表征。
图3. 催化剂形貌、晶体结构及元素组成与分布。

图4. 催化剂比表面积及孔径分布分析。
图5. 催化剂组成元素、表面化学态及键合作用分析。
图6. 催化剂模拟日光诱导水解产氢性能评价。
图7. 样品的光电化学表征。
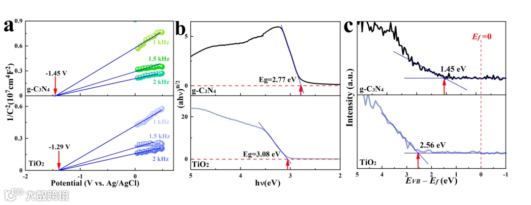
图8. 电子能态分析。
图9.
结论
文章链接
通讯作者介绍
添加官方微信 进群交流
SCI二氧化碳互助群
SCI催化材料交流群
备注【姓名-机构-研究方向】
投稿请联系contact@scimaterials.cn

