点击科学材料站,关注我们
背景简介
金属锂具有理论比容量高、还原电位低的特点,被认为是锂硫电池、锂氧电池、锂二氧化碳电池和锂空气电池等高能量密度可充电电池负极材料。锂金属负极(LMA)的实际应用需要大的面积容量、高的金属锂可逆性和长的循环寿命。可逆锂金属的最大含量决定了整个电池的能量密度。因此,库仑效率(CE)表征锂电镀/剥离过程的可逆性对LMA的设计具有重要意义。
尽管最近的几项研究表明对称电池(Li||Li)具有高面积容量(>10 mAh cm-2)LMA,但很少有报道称高稳定的CE(>99%,>50个周期)与半电池配置(Li||集流体)的高面积容量相结合。因此,在保持半电池结构足够长的循环寿命的同时,开发具有优异CE的高面积LMA势在必行。
不幸的是,具有这种特性的理想LMA的发展面临着诸如不可控的锂枝晶和大的体积变化等关键挑战。为此,人们进行了大量的工作,包括优化电解液、构建三维载体以及将熔融锂渗透到多孔基体中。特别是三维自支撑基体由于其抑制/延缓枝晶形成和缓冲体积变化的能力而受到广泛关注。
然而,在长循环过程中,尤其是在高沉积容量的情况下,锂枝晶无法完全消除,导致CE快速衰减,可逆容量降低。究其原因,主要是由于整个沉积区电场极化严重,离子通量分布不均匀。
根据Sand时间模型,电场强度的调节对最终枝晶锂的生长和三维载体电活性表面积的最大利用起着至关重要的作用。此外,通过将基体空间划分为高度相互关联的小范围,实现离子通量均匀化,也有利于锂的均匀成核和非枝晶生长。然而,将电场调节和离子通量均匀化相结合的策略在以往的文献中从未报道过。到目前为止,还没有实现具有高面积容量高CE的长寿命(>1500小时)可逆LMA。
文章介绍
要点解析
为展示3D-HPCF在电场和Li+通量分布方面的优势,作者在COMSOL-Multiphysics中创建了模拟实验装置的模拟单元。比较了两个简化电极的电场分布,分别模拟了实心铜纤维(表示为CF)(图1a)和3D-HPCF(图1c)的复杂几何形状和拓扑结构。
如图1b所示,互连CF顶部(靠近正极)的电场强度远强于底部,表现为电场极化现象和顶部的屏蔽效应。因此,进入的Li+很可能聚集在CF基体的上表面,形成枝晶。
相反,如图1d,e所示,整个3D-HPCF电极中的电场分布相对均匀,这可归因于其较低的表面接触电导,对应于具有适当厚度的表面氧化层的存在。此外,在锂沉积300 s后,进一步模拟并绘制了3D-HPCF实际二维剖面的Li+通量和电流密度流线(图1f)。
由于3D-HPCF阵列的中空多孔结构,流线可以进入纤维的内部空间和纤维之间的空隙,甚至在底部也会发生这种情况。Li+通量在整个磁畴中分布均匀。
上述模拟结果表明,3D-HPCFs在有效利用三维基体的同时实现均匀的锂形核和沉积,从而为设计一种新型的可逆高能量密度LMA奠定了基础。
图1.
图2.
在15 mAh cm-2的超高面容量下,研究了锂金属在3D-HPCF中的重复沉积过程。图3a展示了3D-HPCF基体中的锂成核和生长过程,并通过离位SEM图像(图3b-d)进行了验证。图3b显示锂最初被镀入纤维的中空空间。
随着锂的进一步电镀达到6 mAh cm-2,纤维中的中空空间被完全填充,骨架表面上形成了几个球形锂颗粒(图3c)。
当锂沉积容量达到9 mAh cm-2时,可以观察到扁平状的锂片,但没有明显的锂枝晶(图3d)。当锂电镀高达15 mAh cm−2时,3D-HPCF中几乎所有的空隙都在该状态下被锂填充(图3e、f)。
值得注意的是,金属锂可从3D-HPCF中可逆剥离,使基体恢复其原始形态(图3g-i)。在15 mAh cm-2的深度电化学电镀/剥离锂30个周期后,金属锂仍可在整个基体中电镀,并保持光滑表面(图3j)。
图3.
如图4a所示,在15 mAh cm-2的超高锂沉积面容量下,3D-HPCF电极在整个53个周期(约1590 h)内的最终稳定CE(最后10个周期的平均CE)高达98.99%,电流密度为1 mA cm-2,平均CE(ACE)为98.87%。
3D-HPCF电极的相应充放电曲线显示其极为稳定的电镀/剥离行为(图4b)。相比之下,基于CF和Cu泡沫的电池在与3D-HPCF电极相同的活化过程后,在此条件下甚至不能循环。
图4c显示,在1 mAh cm-2的低面容量下,3D-HPCF在0.5 mA cm-2下350次循环(~1400 h)的最终稳定CE保持在99.21%,在1 mA cm-2下,总300次循环(~600 h)的最终稳定CE保持97.80%。
相比之下,由于锂枝晶和固体电解质界面层(SEI)丰富的不稳定结构,CF基电池在0.5 mA cm-2下200次循环和1 mA cm-2下125次循环后,CE下降至<90%,在0.5 mA cm-2和1 mA cm-2下150次循环后,甚至出现短路。对于商用泡沫铜电池,CE仅在0.5 mA cm-2下100次循环后迅速下降至约85%,在1 mA cm-2下80次循环后CE迅速下降至约75%。
值得注意的是,3D-HPCF电极的性能,即高面积容量下的高CE,具有令人印象深刻的长寿命,优于其他已报道的LMA(图4d)。
图4.
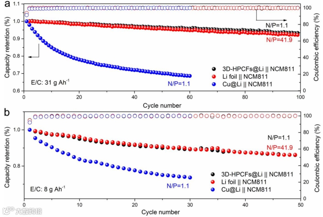
全电池采用镀锂3D-HPCF(3 mAh cm-2)、镀锂商用铜泡沫(3 mAh cm-2)和Li箔(580μm,过量Li)作为负极,与NCM811正极匹配。如图5a所示,3D-HPCF@Li||NCM811电池的循环性能分别优于Cu@Li||NCM811和Li箔||NCM811。
在E/C比为8 g Ah-1的少电解液情况下也发现了相同的趋势(图5b)。
这些研究结果表明,3D-HPCF结构在锂金属电池中具有良好的应用潜力,特别是电场和离子通量同时均匀化的策略。
图5.
结论
综上所述,本文证明了均匀化空心多孔交联和表面氧化管状基体(即3D-HPCF)的电场和Li+通量分布可以显著提高锂沉积的面积容量和电镀/剥离CE。COMSOL模拟证实了3D-HPCF中电场和离子通量均匀化的良好性能。所设计的结构不仅为锂成核提供了大量有效的活性中心,而且通过平滑锂沉积行为来抑制锂枝晶。
因此,基于3D -HPCF的LMA实现了高达15 mAh cm-2的超高面积锂沉积容量,以及在整个53个周期(~1590 h)内98.99%的最终稳定CE,当与NCM811正极耦合时,能够实现一个优异的可充电锂金属电池。对于对称电池测试,基于3D-HPCF的LMA可以在低电位滞后的情况下工作1500h。
因此,电场和Li+通量的联合均匀化将是迈向可扩展制造具有稳定高CE高面积容量LMA的高能电池的关键一步。
文章链接:
https://pubs.acs.org/doi/10.1021/acs.nanolett.0c00797
导师简介:
李宝华,清华大学教授,博士生导师。清华大学深圳研究生院能源与环境学部主任,炭功能材料国家地方联合工程实验室副主任,广东省先进电池与材料工程技术研究中心主任,973计划项目专家组成员,广东省特支计划科技创新领军人才,深圳市国家级领军人才。主要研究方向包括锂离子电池及其关键技术、纳米新能源材料、储能与动力电池相关技术、储能与动力电池耐久性和安全性研究、超级电容器及其关键技术等。
投稿请联系contact@scimaterials.cn
点击“在看”分享你的观点![]()

