非富勒烯受体分子中激子和电子波函数的离域助力高效有机太阳电池
First published: Aug. 07, 2020
第一作者:张桂传
通讯作者:陈先凯*,Philip C. Y. Chow(周慈勇)*,邹应萍*,叶轩立*
单位:华南理工大学,华南协同创新研究院,佐治亚理工学院,亚利桑那大学,香港大学,中国科技大学,莫纳什大学,澳大利亚核科学组织,香港科技大学,纽伦堡-埃尔朗根大学,亥姆霍兹研究所(埃尔兰根-纽伦堡),中南大学,郑州大学
有机太阳能电池具有重量轻、柔韧性好、无毒、美观等优点。作为便携式电源与光伏建筑综合应用的新技术,具有巨大的发展潜力。然而,由于有机半导体材料的激子特性,OSC的效率在很大程度上仍落后于无机光伏器件。部分原因是因为,电子-空穴对在施主/受主界面的分离通常需要额外的能量,这会导致大量的能量损失。
然而,近几年来,新开发的非富勒烯受主(NFA)不仅具有较强的光吸收能力、更宽的光谱范围和能级可调性,而且会造成较大的能量损失,使得振幅降低到0.6eV以下,因此基于NFA的电池器件的效率优于以富勒烯受体为基础的设备。在这些NFA中,基于Y6的A-DA'D-A NFA展示了高效电池设备的最佳性能,可以同时实现低能量损失和高电荷产生效率的高效率电池器件(目前最高效率约为18%)。
目前,很多工作都是通过对Y6分子结构进行改性或采用不同的材料组合或其他器件工程来提高OSC的效率。而对基于Y6的OSC系统工作机理的基本认识研究却较少。
近日,华南理工大学发光材料与器件国家重点实验室的叶轩立教授课题组和其它课题组在国际顶级期刊Nature Communications (影响因子:12.121) 上发表题为“Delocalization of exciton and electron wavefunction in non-fullerene acceptor molecules enables efficient organic solar cells”的研究工作。
本文通过实验与理论模拟分析相结合的方法,建立了目前最先进的Y6基OSC体系的材料结构、材料性能、器件性能关系。作者发现,Y6特殊的分子堆积结构带来了分子间强烈的电子和激子耦合和离域,这使得Y6具有更高的发光效率,降低了非辐射复合的电压损失,增加了施主/受主界面处电荷转移(CT)状态下的空穴与电子之间的距离,减小了其库仑结合力,提高了电荷产生的效率。
华南理工大学叶轩立教授、亚利桑那大学Jean-Luc Bredas教授、陈先凯博士、香港大学Philip C. Y. Chow教授以及中南大学邹应萍教授为本文共同通讯作者。
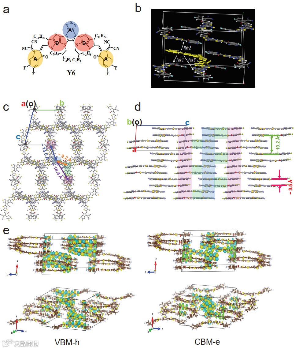
图1. Y6的分子和单晶结构以及波函数分布。a-e
(c)扩展晶体结构的俯视图和(d)侧视图(蓝色柱是b方向的端基堆叠层,粉红色柱是c方向的端基堆叠层,绿色是 D-A’片段的分子堆积对)。
(e)在Y6单晶的Γ点(布里渊区的中心),计算出的空穴(左)的价带最大值(VBM)和电子(右)波函数的导带最小值(CBM)。
图1b、c、d显示了Y6的单晶结构,从中可以看出Y6的A-DA'd-A弯曲分子构型形成了类似石墨烯的规则的三维网络分子堆积结构。其中,分子间的堆积除了由端基A单元(常见于A-D-A型非富勒受体分子的主要堆积形式,如ITIC系列)的π-π相互作用形成的之外,分子中心的A'单元也形成了π-π相互作用,从而使得部分D单元之间也形成了π-π堆积,从而导致图1b中的三种分子对堆积形式出现。
这种较强的三维网络π-π分子堆积结构不同于ITIC系列,使其具有较强的电子耦合。模拟计算发现,电子和空穴的耦合分别为81meV和74meV。
图1e通过模拟显示了空穴波函数的最大价带(VBM)和电子波函数的导带(CBM)最小值在晶体结构中的分布。除了集中分布的端组A单元的重叠外,其HOMO主要分布在核数据段的重叠部分,形成了一个特殊的三维高效双极传输网络。
同时,通过空间电荷限流法的实验验证了这一结论。Y6是一种双极性半导体材料,其电子和空穴迁移率可达10-4cm2 V-1s-1。
(b,e)纯PBDB-T-2F和(c,f)PBDB-T-2F:Y6薄膜的二维GIWAXS衍射图(顶部)和轮廓曲线(底部)。
本文利用掠入式广角X射线衍射(GIWAXS)研究了实际旋涂法制备的薄膜的分子堆积结构。
从图2a可以看出,纯Y6薄膜中强烈的衍射信号证明其分子堆积是相对有序的,图2d中峰的位置能更好地对应图1c和d中晶体结构的距离参数,这很好地证明了Y6薄膜中分子的堆积结构薄膜中Y6晶体保存完好。
另外,从图1c和f可以看出,PBDB-T-2F:Y6共混膜还保留了一部分类似于晶体结构的分子堆积形式。
a-b,(a)纯Y6和(b)PBDB-T-2F:Y6薄膜中的分子动力学模拟结果的示意图。在纯膜和共混膜中存在大量与Y6晶体结构中类似的二聚体
作者利用分子动力学模拟进一步证实了Y6分子在薄膜中的堆积结构。如图3所示,分子动力学模拟结果表明,无论是纯膜还是共混膜,Y6在晶体结构中的分子堆积对都得到了很好的保存,这与GIWAXS测试结果一致。
a,Y6,IT-4F和ITIC薄膜在660 nm激发的光致发光光谱及其量子效率。
b,对于基于PBDB-T-2F:Y6的器件,通过FTPS(EQEFTPS)(黑色球)和归一化EL(深黄色球)评估的EQE的半对数图作为能量的函数。ϕEL / ϕbb的比率用于绘制低能状态下的EQE(红线),其中ϕEL和ϕbb分别代表发射的光子通量和室温黑体光子通量。 基于二元共混膜测量归一化的PL光谱(橙色线)。
Y6特殊的分子结构不仅带来了更好的电荷转移特性,而且使其具有更好的能量转移特性。作者通过理论计算发现,相邻Y6分子间存在着较大的激子耦合,约为44~57meV。如此大的激子耦合将产生强的离域特性,降低激子振动耦合,从而获得较慢的无辐射衰减速率。
这体现在即使Y6是一种窄带隙材料但人具有较高的PLQE(图4a)。结合PBDB-T-2F与Y6的之间较小的HOMO能级差,PBDB-T-2F:Y6系统中的CT态可以与Y6的激子杂化,从而增加其辐射复合的概率,使得PBDB-T-2F:Y6系统的非辐射电压损失较低(0.27V)(图4b)。
通过使用TD-ωB97XD/ 6-31G(d,p)方法和PCM模型结合的分子簇,界面CT态的自然转变轨道(左:一个PBDB-T-2F给体片段和一个Y6分子;右:一个带有三个Y6分子的PBDB-T-2F给体片段)。
更重要的是,由于Y6分子团簇中电子的离域特性,在施主/受主界面产生CT态变得更加有效。
如图5所示,由于电子波函数的离域,一个Y6分子的空穴与电子之间的距离(de-h)从一个Y6分子的22 Å增加到3个Y6分子团簇的51 Å(这种结构可以在分子动力学的结果中观察到),从而将界面上电子-空穴对的库仑结合力从160 meV降低到70 meV。
因此,尽管PBDB-T-2F:Y6体系中激子分离的驱动力(HOMO能级差)很小,但由于弱库仑束缚效应,CT态仍具有较高的分离效率,这体现在基于PBDB-T-2F:Y6电池器件中较大的短路电流和较高的填充因子上。
(a)Y6三元器件(20%PC71BM)的J-V曲线。 插图显示了这种三元器件的归一化效率随测试时间的变化(封装后在空气中使用LED光(360至960 nm)连续照射)。
(b)Y6三元器件的EQE谱(EQE谱的积分Jsc为25.4 mA-1 cm2,与通过J-V扫描获得的Jsc相比误差<5%)。
Y6三元共混膜的二维GIWAXS衍射图(c)和轮廓曲线(d)。
此外,作者们通过在PBDB-T-2F:Y6体系加入20%给体质量比的PC71BM,同时提高了电荷传输性质和平衡了电子和空穴传输,从而使器件效率从15.7%提高至16.5%(NREL认证效率为15.6%,认证时间为2018年11月15日),三元器件依然保持着类似二元器件的高电荷产生效率和低电压损失。
通过GIWAXS的测试,作者们发现与二元薄膜相似的,在三元共混薄膜中Y6分子仍部分保存着晶体结构中的分子堆积形式。这进一步证明了Y6特殊的分子堆积结构是获得高效器件的关键因素。
Y6的A-DA’D-A弯曲的分子构型使得形成了特殊的π-π分子堆积形式,这种堆积不仅存在于单晶中,同时通过GIWAXS测量和分子动力学模拟证实其也保留在旋涂薄膜中。这种分子堆积使电子波函数表现出3D离域化并形成有效的电子和空穴传输通道,使Y6成为具有平衡的空穴和电子传输特性的双极性分子材料。当它与具有较小HOMO能量偏移的给体聚合物(PBDB-T-2F)共混时,此独特功能可促进有效的空穴传输和电荷收集。
更重要的是,这种特殊的分子堆积在同时具有低电压损失和高电荷产生效率的基于Y6的电池器件中起着重要作用。首先,离域激子的形成和较低的非辐射衰退速率提供了长寿命的激子实现了较高的PLQE。结合二元共混物中激子和CT状态之间的小能量差,对于这种低带隙体系,实现了相对较低的非辐射电压损失。
其次,电子波函数在给/受体界面处的离域显着降低了空穴和电子对的库仑束缚力,从而降低了CT态解离的势垒。通过集成三元共混策略来改善电荷传输而又不影响Y6分子堆积,在保持低电压损失和高效电荷产生的同时,器件的填充因子得以提高,使得效率进一步提高至16.5%。这个工作阐明了这种最先进的基于Y6的OSC体系的基本结构-性质-性能关系,从而为合理的材料设计和商用OSC器件的开发指明了道路。
Delocalization of exciton and electron wavefunction in non-fullerene acceptor molecules enables efficient organic solar cells
https://www.nature.com/articles/s41467-020-17867-1
张桂传,2012年本科毕业于华南理工大学,2017年博士毕业于华南理工大学,导师为黄飞教授,之后留在华南理工大学从事博士后研究工作,合作导师为叶轩立教授。目前的研究方向主要集中于有机太阳电池非富勒烯高性能体系的结构与性能关系的研究,期望能深入理解这些先进体系的工作机理以推动发展更高性能的新一代有机太阳电池体系。在Nature Commun., J. Am. Chem. Soc. Joule, Adv. Mater., Adv. Energy Mater., Adv. Funct. Mater., ACS Energy Lett., Sci. Bull., ACS Appl. Mater. Interfaces, Solar RRL等期刊发表SCI研究论文20余篇,其中第一作者及共同一作5篇,通讯作者1篇,论文引用次数1600余次,H-指数为15。主持了国家自然科学基金青年科学基金项目、博士后科学基金面上项目及特别资助项目、中央高校基本科研业务费专项等多项基金项目。
叶轩立,华南理工大学发光材料与器件国家重点实验室教授, 兼任华南协同创新研究院印刷有机太阳电池创新中心主任。目前的研究方向主要集中于协同利用材料、界面和器件工艺等策略提高聚合物及钙钛矿光电器件的性能。在Nature, Science, Nature Photonics, Nature Commun., Adv. Mater., Adv. Energy Mater., Energy Environ. Sci., Joule等期刊发表SCI研究论文220余篇,论文被引用22000余次,H-指数为78,并连续于2014至2019年度入选全球 “高被引科学家”。
叶轩立教授课题组主要有三个大研究方向,分别是:有机光伏、钙钛矿光伏、钙钛矿发光。其中有机光伏主要集中研究当今高性能体系的结构与性能关系进一步发展更高性能的体系、器件稳定性研究、大面积模组器件的开发、半透明器件及其应用探索等方向。有关课题组更详尽介绍可阅览 www.yipgroup.info
华南理工大学博士后主要从事相关方向的基础及应用基础研究,薪酬待遇:20-32万(税前),并参照校内同级人员的标准为博士后缴纳“五险一金”;住房保障:提供博士后公寓租住或享受租房补贴;子女入学:按学校教职工子女同等待遇办理入园、入学;学校鼓励和支持优秀的博士后出站后申请专职科研系列岗位,同等情况下,优先考虑考核结果特别优秀的博士后; 学校鼓励、支持博士后申报国家和广东省的各类博士后人才项目和研究项目。
华南协同创新研究院博士后主要从事有机光伏产业化技术研究,薪酬待遇:26-32万(税前),并参照院内同级人员的标准为博士后缴纳“五险一金”;享东莞市相应的人才生活补贴、安家补贴和住房保障政策;优秀的博士后出站可推荐留院工作。
说明
🔹本文内容若存在版权问题,请联系我们及时处理。
🔹欢迎广大读者对本文进行转发宣传。
🔹《科学材料站》会不断提升自身水平,为读者分享更加优质的材料咨询,欢迎关注我们。
投稿请联系contact@scimaterials.cn
点击“在看”分享你的观点