点击科学材料站,关注我们
镍活化过渡金属碳化物在酸碱性溶液中高效析氢
通讯作者:李轩科*、杨年俊*、张琴*
研究背景
为了减轻水污染和空气污染等环境问题,研究者做出了巨大的努力来寻求绿色能源替代化石能源,清洁能源氢气被认为是理想的替代品。电解水析氢反应(HER)被认为是实现高效、大规模氢转化的有力手段。
因此开发廉价的具有较高活性和稳定性的非贵金属催化剂至关重要。过渡金属碳化物(TMCs)中金属的d轨道与碳的s和p轨道杂化使得TMCs中金属的d轨道变宽,令其具有类似Pt的电子结构。但是,TMCs表面的氢脱附困难,阻碍了其在HER催化体系的应用。
文章简介
近日,武汉科技大学李轩科教授、德国锡根大学杨年俊博士、武汉科技大学张琴副教授在国际顶级期刊Advance Energy Materials (影响因子:25.245) 上发表题为“Ni‐Activated Transition Metal Carbides for Efficient Hydrogen Evolution in Acidic and Alkaline Solutions”的研究工作。
该工作通过在TMC表面(Ni/TMC)引入吸附镍(Niads),提出Ni活化TMC(M = V,Fe,Cr和Mo)策略。酸性和碱性溶液中,用于HER的Ni / TMC催化剂的过电势和Tafel斜率都有明显的降低。值得注意的是,在高电流密度下,两者的过电势在碱性环境中可以与Pt/C相媲美。
通过DFT计算和XPS、XAFS分析,这种Ni活化策略有效地优化了TMCs的d带电子结构并改善了HER性能。这项工作提供了一条普适性策略来活化TMCs,用以在不同介质中实现高效HER。
该文章第一作者为湖南大学博士研究生杨晨帆,李轩科教授、杨年俊博士和张琴副教授为本文通讯作者。
要点解析
图1.Ni-GF / VC催化剂的合成:
图2. Ni-GF / VC催化剂的表征:
图3.Ni-GF / VC催化剂的HER性能:
图4. 在酸性和碱性介质中TMC的Ni活化增强HER的机理:
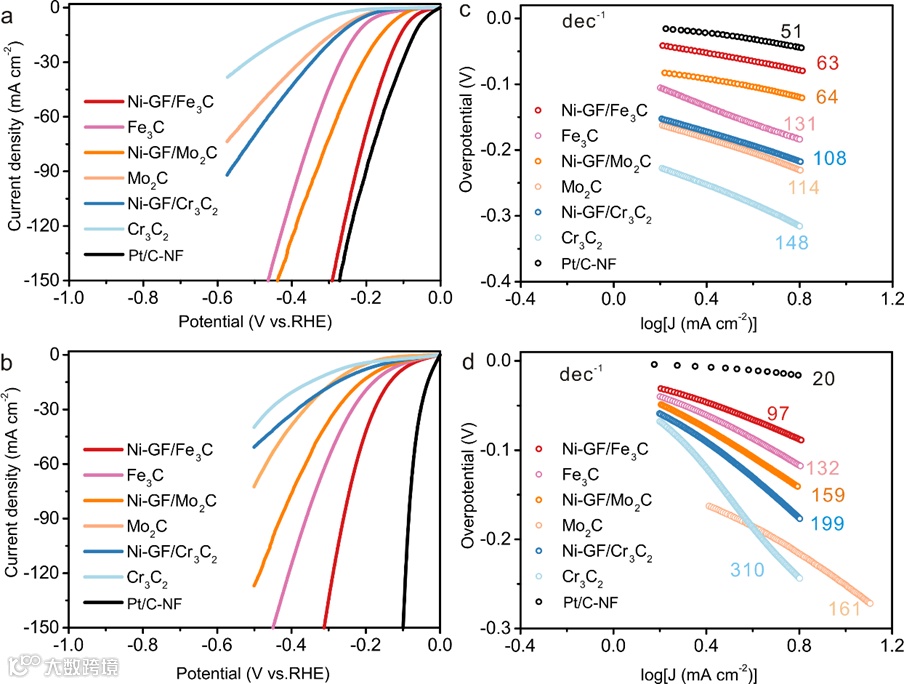
图5. Ni-GF / TMC催化剂的HER性能:
结论
在本工作中,作者提出了一种通用Ni活化TMC(M = V,Co,Fe,Cr)策略来进一步改善TMC的HER性能。在TMC表面引入Niads后,无粘结剂的Ni-GF / TMC催化剂在碱性和酸性介质中均表现出优异的HER性能,其过电势和Tafel斜率有明显地降低。出色的HER性能归因于Ni-GF/TMC的独特结构和电子特性。
通过将Niads引入TMC表面活化的策略可以有效地优化d电子结构,从而显著增加活性位点的数量并增强其本征催化活性。3D结构的石墨烯不仅增加了材料的导电性还加强了TMC与基体之间的相互作用,进而促进了电子的转移。催化剂的高比表面积暴露了更多的HER活性位点,并有利于氢气释放。因此,这种Ni活化TMC的策略能够有效析氢,并在其他催化反应方面具有广阔的前景。
李轩科:博士、教授,博导,楚天学者,湖北省有突出贡献的中青年专家,SCI源期刊《新型碳材料》编委,中国电工学会碳石墨材料专业委员会委员,主要从事新型炭材料的研究。主持完成和承担国家自然科学基金重点项目1项、面上项目4项,湖北省自然科学基金重点项目、教育部重点项目和军工项目等多项。发表论文160余篇,其中SCI收录60余篇,其中工程材料一区杂志论文18篇,授权专利20项。2007年获湖北省自然科学二等奖1项。
http://www.carbon-wust.cn/home/device_detail/14/13
扫码进入CO2RR互助讨论群
投稿请联系contact@scimaterials.cn
点击“在看”分享你的观点![]()

