点击科学材料站,关注我们
钙钛矿基叠层太阳能电池:最大限度利用太阳能
作者:张志皓,李子成,孟令一,连水养,高鹏*
研究背景
使用不同带隙的子电池组成叠层太阳能电池的技术被认为是突破肖克利-奎伊瑟极限的最有效的方法之一。在光伏领域中,有机无机杂化钙钛矿太阳能电池在近年来展现出迅猛的发展态势。由于其拥有极高的光电转化效率,可调控的带隙宽度,优良的光电性质,以及溶液可加工性,被视为叠层器件最合适的子电池候选者。
但就现阶段而言,钙钛矿基的叠层太阳能电池的材料选择与器件设计仍需进一步优化,并且面临着实现长期稳定性,增大器件面积,以及实现器件无毒性等诸多挑战。除此之外,柔性钙钛矿基叠层太阳能电池也在叠层电池领域崭露头角。大数据分析与理论计算可以深入地帮助我们归纳理解与分析已有的钙钛矿基的叠层太阳能电池的工作,并对未来的研究做出建设性的指导。
文章简介
近日,中国科学院福建物质结构研究所高鹏研究员课题组在材料领域顶级期刊Advanced Functional Materials (影响因子:16.836) 上发表题为“Perovskite-Based Tandem Solar Cells : Get the Most Out of the Sun”的综述文章。
近年来,太阳能电池效率突飞猛进,但单结电池始终无法突破其效率极限。该工作首先对肖克利奎伊瑟极限,叠层太阳能电池的机理以及其发展必要性展开了深度的剖析。之后,从材料选择与器件设计两方面细致地归纳总结了近年来钙钛矿基叠层太阳能电池的研究进展,包括钙钛矿/晶硅、钙钛矿/CIGS以及钙钛矿/钙钛矿叠层太阳能电池,并于材料选择的章节重点强调了Pb-Sn钙钛矿的稳定性问题以及全无机钙钛矿CsPbI3应用于叠层器件的潜力及挑战,然后在器件设计篇章对透明电极与复合层展开了重点论述。
之后本文对钙钛矿基叠层电池商业化所面临的长期稳定性、大面积,以及无毒性的问题展开了论述,并提出了指导性的发展方案。
本文区别于其他钙钛矿基叠层太阳能电池综述的一大亮点在于使用较大篇幅对两端叠层器件的带隙/电压/匹配电流等材料性质和器件参数的大数据分析,以及针对柔性叠层器件吸收层厚度与叠层器件短路电流的理论计算,该部分内容对于建立数据驱动的叠层器件设计以促进今后的钙钛矿叠层器件的发展具有指导性的意义。
该文章第一作者为中国科学院福建物质结构研究所与福州大学的联培硕士生张志皓.
高鹏研究员为本文的通讯作者。
要点解析
图1.
作为缓解全球能源危机的清洁和可再生能源之一,太阳能在过去六十年中发展迅速。迄今为止,基于晶体硅(c-Si)太阳能电池在光伏市场上占据了主导地位,其效率高达26.7%。基于薄膜技术的硒化铜铟镓(CIGS)和碲化镉(CdTe)太阳能电池作为另外两种商业化的光伏器件,它们的最高效率分别达到了23.35%和21.1%。
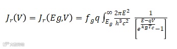
然而,太阳能电池的效率受到热力学第二定律和肖克利-奎伊瑟极限的限制,作为太阳能电池吸收层的半导体材料只能吸收能量高于其带隙的光子,并且由于电荷载流子的热平衡机理,这些吸收的光子能量并不能完全转换为电势差 (图1a);其次,热力学定律决定了太阳能电池会产生自发辐射,造成载流子辐射复合并导致电压损失;第三,最大电源电压 (Vmp) 和最大电流密度 (Jmp) 始终分别低于开路电压 (Voc) 和短路电流密度 (Jsc)。
考虑到这些因素,Shockley和Queisser于1961年首先预测了单结太阳能电池的效率极限(S–Q极限),发现带隙为1.1 eV的半导体的最大效率为30%。 根据最近基于SQ细致平衡模型的计算,可以根据以下公式计算最大光电流密度Jmax:
图2.
钙钛矿太阳能电池的效率从2009年的3.81%显着提高到2019年的25.2%,与商业化的单结晶硅太阳能电池相当。自从2014年首次报道钙钛矿/晶硅叠层电池以来,钙钛矿基太阳能电池的相关研究与日俱增。
由于晶硅太阳能电池与CIGS太阳能电池在实验室与工业中已具备成熟的工艺,因此钙钛矿/晶硅与钙钛矿/CIGS叠层器件的相关报道较多,并且也已经实现了较高的光电转化效率。
目前钙钛矿/晶硅叠层电池的最高效率为27.7% (澳大利亚国立大学Kylie Catchpole课题组,四端叠层),钙钛矿/CIGS叠层电池的最高效率为25.9% (美国国家可再生能源实验室Kai Zhu课题组,四端叠层)。与其他两种钙钛矿基叠层太阳能电池相比,由宽带隙/窄带隙钙钛矿吸收层组成的全钙钛矿叠层太阳能电池起步较晚,在早期发展缓慢,但其效率在2019年开始显著提高,目前其最高效率已达到25.0% (美国国家可再生能源实验室Kai Zhu课题组,四端叠层)。
图3.
将Cs掺入杂化钙钛矿的有机阳离子中可以显着改善钙钛矿器件的光和热稳定性,也就是说,不稳定的有机阳离子的存在阻碍了这些材料保持长期稳定性。 因此,实现更好的材料和器件稳定性的有效方法之一是用无机阳离子(例如Cs +)完全替代这些有机阳离子。
幸运的是,CsPbI3的带隙约为1.73 eV,是成为钙钛矿/晶硅和钙钛矿/CIGS叠层器件的理想选择。尽管CsPbI3的具有光活性的黑色相(α-CsPbI3,β-CsPbI3和γ-CsPbI3)提供了叠层器件所需的高热力学稳定性和理想的带隙,但其在环境条件下的动力学稳定性较差,会缓慢转变为光惰性的δ相(δ-CsPbI3)。这可以用预测钙钛矿材料稳定晶体结构的经验指标Goldschmidt容忍因子来解释:
图5.
图6.
为了掌握两端型钙钛矿基叠层器件的最新发展概况,并找到真实(而非理论)器件参数之间的一般关系,本文对目前为止几乎所有2T钙钛矿基叠层电池的数据进行了数据相关性可视化处理。在假设所有叠层电池的底部吸收层(Si或CIGS)具有相同的带隙(≈1.2eV)的前提下,本文对Jsc,Voc,吸收层厚度(顶部/底部子电池)和带隙值之间的关系进行了可视化作图(图5,图6)。
对于两端钙钛矿/晶硅叠层太阳能电池,通常使用的Si底部吸收层的厚度(Tbottom)在240至550μm之间,而当Tbottom在250至310μm之间时,会出现最高的Jsc(图5a,b)。当Tbottom大于400nm时,Jsc随顶部吸收层厚度(Ttop)的变化不明显,这可以归因于钙钛矿层的高吸收系数。但当Tbottom低于280μm时,Jsc随着底部吸收层带隙(Btop)的减小而合理地增加。当使用宽带隙钙钛矿(1.67 eV <Btop <1.68 eV)时,需要更厚的Si底部电池来保持高Jsc。当钙钛矿的带隙在1.60-1.63和1.67-1.68 eV之间时出现了两个Jsc最大值,分别对应于不同的Tbottom。从图5c中可以得出两个最佳参数组合来实现两端钙钛矿/ 晶硅 叠层电池的高Jsc:1)430–445 nm,260–270μm和1.60–1.61 eV;2)460–550 nm,300–310μm和1.67–1.68 eV(三个参数分别为Ttop,Tbottom和Btop)。
对于Voc与吸收层厚度之间的关系,当Tbottom低于300μm且Ttop高于380 nm时,出现了最高的Voc范围,这与Jsc的趋势相似(图6a)。此外,图6b,c反映了Btop与Voc之间的正相关关系,当Btop在1.64与1.67 eV之间时,正相关性达到最大值。基于图6a-c,可以归纳出实现高Voc的参数:1)350-380 nm,270-280μm和1.66-1.67 eV;2)≈440nm,265–270μm和≈1.60eV;3)450-490 nm,245-255μm和1.64-1.65 eV(三个参数分别为Ttop,Tbottom和Btop)。
值得注意的是,目前报道的两端钙钛矿/晶硅叠层太阳能电池很少使用宽带隙钙钛矿吸收剂(Btop> 1.70 eV),并未达到通过理论计算得到的1.70-1.85 eV的最佳带隙范围。通常,增加带隙需要增加Br含量,而高Br含量则容易引起卤化物偏析(Hoke效应)。而且由于潜在的电压损失,宽带隙钙钛矿(≈1.75eV)并不一定能实现高Voc。因此,需要进一步研究来开发具有高Voc的宽带隙钙钛矿电池,以实现更高效的两端钙钛矿/晶硅叠层太阳能电池。
图6.
柔性电子的概念可以拓宽钙钛矿基叠层电池的市场,而太阳能模块的总厚度对于满足特定情况下的变形要求至关重要。通常,对于顶部子电池,应优化厚度以便可以吸收尽可能多的短波长入射光,并可以使足够的长波长光穿透以到达底部子电池,同时底部子电池应尽可能地捕获穿透过来的光子能量。但是出于柔性的考虑,吸收层厚度应在折叠能力和吸光度之间取得最佳平衡点。为了寻找吸收层厚度的最佳组合,在假设所有吸收的光子都被转换成光电流而没有任何电荷复合的前提下,本文对四种不同的钙钛矿基叠层电池(钙钛矿/ c-Si,钙钛矿/ CdTe,钙钛矿/ CIGS和钙钛矿/ GaAs)的理想Jsc与吸收层厚度的关系进行了初步的理论计算。
如图6所示,对于具有子电池的钙钛矿基叠层电池,存在不同的最佳层厚度。与c-Si,CdTe或GaAs相比,CIGS作为底部电池吸收层时要求的最小层厚才能产生等效的光电流以便与顶部钙钛矿子电池匹配,这可以归因于CIGS材料的直接带隙性质和更显着的长波吸收系数。由于CdTe的带隙更靠近顶部钙钛矿层,因此钙钛矿/ CdTe 叠层电池的Voc可能比其他三种叠层电池的Voc大。但采用理想的细致平衡模型,无法准确地描述这些基于MAPbI3的叠层电池在开路工作状态附近的J–V行为,应通过考虑电荷重组来实现对性能特性(例如Jsc,厚度或Jsc,带隙)关系的更准确的估计。为此,高鹏课题组在另一项研究工作中开发了更微妙的理论模型来实现该模拟,该连续电池器件模型考虑了叠层结构中两个子电池的电荷复合,吸收率和最佳厚度,该成果已发表在Nano Energy (10.1016/j.nanoen.2020.104866)。
投稿请联系contact@scimaterials.cn
点击“在看”分享你的观点![]()

