大数跨境

李振兴副研究员Adv Sci:异质结界面工程助力OER

李振兴副研究员Adv Sci:异质结界面工程助力OER 科学材料站
2020-12-09
0
导读:本文以往的研究已经证实,某些贵金属基氧化物纳米材料对OER具有高电化学活性,例如IrO2和RuO2 。这些材料的稀缺性和高成本严重限制了它们的大规模工业应用。


文章信息

Co-LDH@MOF异质结的界面工程在析氧反应中的高效稳定应用
第一作者:李振兴
通讯作者:李振兴*,宋卫余*,孟东*,杨阳*
单位:中国石油大学,加州大学洛杉矶分校大学

研究背景

化石燃料的消耗和环境问题的增加限制了全球经济的增长。制定一种生产高效,可持续能源的生态友好战略,可以从根本上解决与资源,能源和环境有关的问题。
在探索清洁和可持续能源的驱动下,电化学将水分解为氢和氧的方法被认为是最有前途的方法之一。其中析氧反应(OER)是一个热力学不利的过程,OER的低效率是水分解的瓶颈。为了解决上述问题,开发用于OER的高效和稳定的电催化剂是至关重要的。

文章简介

近日,中国石油大学(北京)李振兴,宋卫余,加州大学洛杉矶分校大学孟东,杨阳教授Advanced Science (影响因子:15.840)上发表题为“Interface Engineering of Co‐LDH@MOF Heterojunction in Highly Stable and Efficient Oxygen Evolution Reaction”的文章。
本文以往的研究已经证实,某些贵金属基氧化物纳米材料对OER具有高电化学活性,例如IrO2和RuO2 。这些材料的稀缺性和高成本严重限制了它们的大规模工业应用。因此,开发高效,低成本,稳定的OER催化剂具有重要的科研价值。在此,ZIF-67和层状双氢氧化物之间的异质结界面工程被设计成增强OER催化活性和稳定性的低成本催化剂。
该界面由ZIF-67中的氮(N)和Co-LDH的氧(O)和构成的,界面调节了催化活性位点的局部电子结构。密度泛函理论(DFT)计算表明,界面相互作用可以增强Co-LDH中Co-Oout键的强度,从而使H-Oout键更容易被破坏,进而导致速率控制步骤的自由能降低。Co-LDH @ ZIF-67在10 mA cm-2的电流密度下的过电势低至187 mV,并且在超过50小时的时间内具有出色的电化学稳定性。该发现为提高OER的催化活性提供了设计方向。

本文要点

要点一:该工作开发了一种新的Co-LDH@ZIF-67核壳异质结结构,采用简单的水溶液法,以2-甲基咪唑为配体,Co(NO3)2为钴前驱体。异质结界面是由ZIF-67中的氮(N)和Co-LDH的氧(O)和构成的。
通过扫描电子显微镜(SEM)检查了Co-LDH @ ZIF-67的形态, Co-LDH @ ZIF-67具有立方形态,具有高度单分散性,粒径为350 nm(图1a)。高倍扫描电镜(图1b)显示Co-LDH @ ZIF-67具有中空结构,并且Co-LDH被封装在该结构中。
Co-LDH @ ZIF-67的示意图如图1c所示。透射电子显微镜(TEM)表明,封装在ZIF-67中的Co-LDH是生长在ZIF-67内表面上的超薄纳米片(图1d和e)。高分辨率TEM(HRTEM)图像清楚地显示了Co-LDH和ZIF-67之间的异质结界面(图1f)。
图1. Co-LDH @ ZIF-67的SEM图像、TEM图像、HRTEM图像和EDX元素映射。


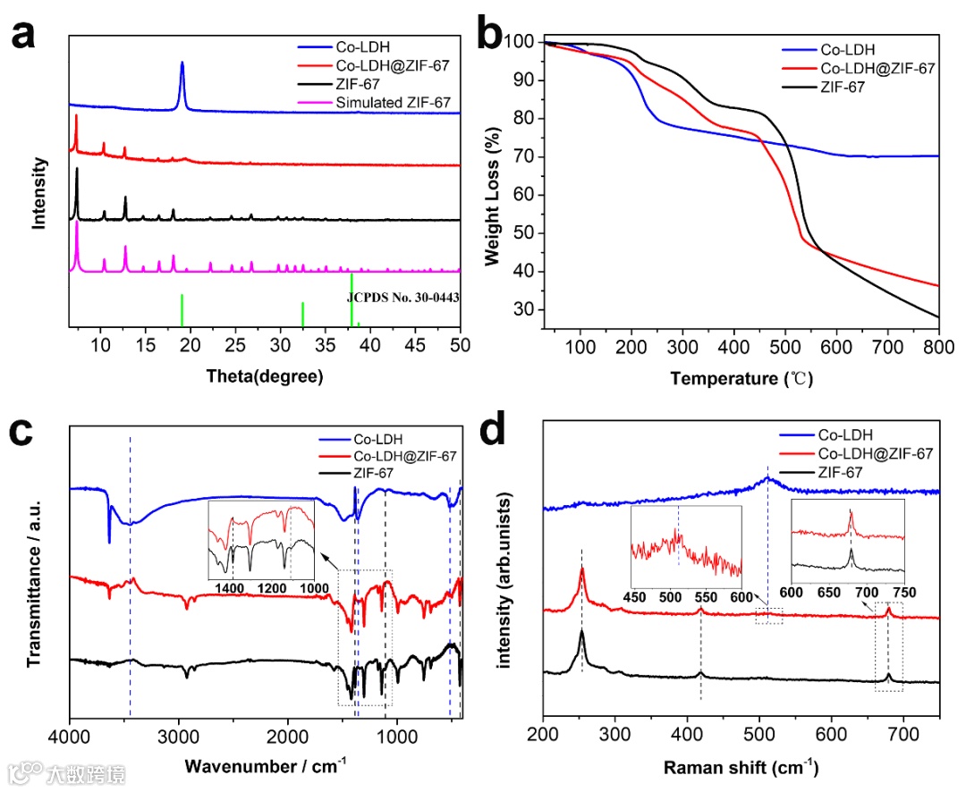
图2. Co-LDH @ ZIF-67,Co-LDH和ZIF-67的XRD、氩气气氛下的TGA曲线、FTIR光谱,和拉曼光谱。

要点二:Co-LDH@ZIF-67核-壳异质结结构在碱性条件下对OER的电催化活性和稳定性高于IrO2、Co-LDH和Co-LDH/ZIF-67,这归因于ZIF-67和Co-LDH之间的界面相互作用以及ZIF-67的大表面积和丰富的多孔结构。
图3. Co-LDH @ ZIF-67,Co-LDH,ZIF-67,Co-LDH / ZIF-67和IrO2对OER的电化学性质。

要点三:密度泛函理论计算表明,界面相互作用可以增强Co-LDH中Co-Oout的强度,从而使H-Oout键更容易被破坏,并导致OER的速率控制步骤的自由能变低。该工作为提高Co-LDH的OER催化活性和稳定性提供了一种新的策略。
在1 M KOH水溶液中评估了Co-LDH @ ZIF-67的电催化OER性能。还与Co-LDH,ZIF-67,Co -LDH / ZIF-67和IrO2的电催化OER活性进行了比较。
可以看出在四种催化剂中,当电流密度为10 mA cm-2时,Co-LDH @ ZIF-67对过电势最低(144 mA)。Co-LDH @ ZIF-67的Tafel斜率最小(59 mV dec-1)。而且,Co-LDH @ ZIF-67可以在30mA cm-2的电流密度下稳定工作50小时。
图4. Co-LDH 和Co-LDH @ ZIF-67的底层的电荷密度差异,以及吉布斯自由能图

为了深入研究Co-LDH @ ZIF-67中的电子转移和Co-O键强度,研究者使用密度泛函数理论(DFT)进行了计算。可以看出,由于配体与Oin的强相互作用,导致钴与活性位点上的氧的键合强度(Co-Oout)增强,进一步导致PDS的自由能(脱氢)降低。

文章链接

Interface Engineering of Co‐LDH@MOF Heterojunction in Highly Stable and Efficient Oxygen Evolution Reaction
https://onlinelibrary.wiley.com/doi/10.1002/advs.202002631

通讯作者介绍

李振兴,副研究员,博士生导师,中国石油大学(北京)青年拔尖人才,十佳研究生集体,多孔材料与能源催化课题组组长。
中国化工学会稀土催化与过程专业委员会委员,《ACS Sustainable Chemistry & Engineering》青年编委,《石油科学》(英文版)青年编委,博士毕业于北京大学无机化学专业,师从严纯华院士。主要研究方向为多孔材料以及过渡金属纳米材料的可控合成及催化性质研究。主持多项国家自然科学基金,北京市自然科学基金,中国石化,中石油,中国航空发动机公司等研究项目。目前已在国际学术期刊上发表多篇论文,包括PNAS, Natl.Sci.Rev., J. Am. Chem. Soc.,Adv. Mater., ACS Nano, ACS Catal., Adv.Sci., Chem. Commun., ACS Appl. Mater. Interfaces, Nano Research等。
https://baike.baidu.com/item/%E6%9D%8E%E6%8C%AF%E5%85%B4/24226060?fr=aladdincom)

宋卫余,副教授,博士生导师,山东日照人。
中国石油大学(北京)理学院应化系,重质油国家重点实验室2015.6 - 副教授,校重点学科青年拔尖人才,中国石油大学(北京)重质油国家重点实验室,理学院。2015.3 - 2015.6,讲师,中国石油大学(北京)重质油国家重点实验室,理学院;2014.9 - 2015.3,博士后研究,埃因霍温理工大学化学工程与化学系Schuit催化研究所多相催化体系的多尺度模拟(导师:Prof. Dr. Emiel Hensen and Prof. Dr. Rutger van Santen);2010.9 - 2014.9,理学博士,埃因霍温理工大学化学工程与化学系Schuit催化研究所,多相催化体系的多尺度模拟(导师:Prof. Dr. Emiel Hensen and Prof. Dr. Rutger van Santen);2007.9 - 2010.7,理学硕士,中国科学院长春应用化学研究所稀土资源利用国家重点实验室,无机化学,固体材料电磁学性质的理论模拟(师从武志坚研究员);2003.9 - 2007.7,理学学士,山东师范大学化学系。
http://www.cup.edu.cn/science/tteam/yhx/124326.htm

Yang Yang,教授。
Yang博士的研究兴趣集中在功能电子设备(太阳能电池,薄膜晶体管,发光设备)上,这些设备有望实现具有成本效益的应用。该研究是一个综合系统,涉及材料(有机半导体,钙钛矿杂化材料,无机纳米材料)的合理设计,薄膜形态的控制,晶体生长,对新材料和结构的电学性质的基本了解,对纳米级结构与性质关系的了解。,控制和了解设备(有机/有机,有机金属等)中的接口,开发新设备架构等。
https://samueli.ucla.edu/people/yang-yang/


添加官方微信15375698751 进群交流

SCI二氧化碳互助群

SCI催化材料交流群

备注【姓名-机构-研究方向】

致谢

感谢本文作者对该报道的大力支持。

碱性水电解槽需求?点击"阅读原文"

【声明】内容源于网络
0
0
科学材料站
内容 0
粉丝 0
科学材料站
总阅读0
粉丝0
内容0